中学教师实用化学辞典
目录
第一部分 化学学科的主要分支………………………………………………………………………………2
第二部分 化学家………………………………………………………………………………………………5
第三部分 基本概念和基础理论………………………………………………………………………………18
一、化学用语、化学量…………………………………………………………………………………………18
二、物质的分类…………………………………………………………………………………………………23
三、物质的变化…………………………………………………………………………………………………28
四、物质结构、元素周期律……………………………………………………………………………………35
五、化学热力学、化学平衡……………………………………………………………………………………47
六、化学动力学…………………………………………………………………………………………………54
七、电解质溶液、电化学………………………………………………………………………………………57
八、溶液、胶体…………………………………………………………………………………………………69
九、络合物………………………………………………………………………………………………………72
第四部分 元素及其化合物……………………………………………………………………………………77
一、氢与水………………………………………………………………………………………………………77
二、碱金属………………………………………………………………………………………………………79
三、碱土金属……………………………………………………………………………………………………88
四、第Ⅲ主族……………………………………………………………………………………………………97
五、第Ⅳ主族……………………………………………………………………………………………………101
六、第Ⅴ主族……………………………………………………………………………………………………107
七、第Ⅵ主族……………………………………………………………………………………………………113
八、第Ⅶ主族……………………………………………………………………………………………………116
九、零族…………………………………………………………………………………………………………119
十、过渡元素……………………………………………………………………………………………………120
第五部分 有机化学……………………………………………………………………………………………..136
一、有机物的结构………………………………………………………………………………………………136
二、有机物的分类………………………………………………………………………………………………140
三、有机化学的反应类型………………………………………………………………………………………145
四、有机化合物…………………………………………………………………………………………………148
第六部分 其他…………………………………………………………………………………………………187
一、分析化学……………………………………………………………………………………………………187
二、化学仪器……………………………………………………………………………………………………191
三、化工常识……………………………………………………………………………………………………199
四、环境…………………………………………………………………………………………………………204
【化学】自然科学的一门基础学科。它是研究物质化学运动的科学。主要包括:物质的组成、结构、性质、变化及其相关的现象、规律和原因;物质在自然界的存在、提取、人工合成和应用。
化学起源于人类的生产实践,从火的利用到烧制陶器、冶炼金属以及酿酒、造纸、染色等工艺的出现,均属于实用化学工艺时期。直到十七世纪英国化学家波义耳提出了科学的化学元素概念,化学的发展极为迅速。主要表现在对物质结构与化学变化的规律有了较深刻的认识,各种不同类型物质大量地被合成出来,形成了庞大的化工体系。
按照研究物质的化学运动的对象和方法不同,化学通常分为无机化学、有机化学、分析化学、物理化学等基础学科。随着化学在各方面的应用,化学与其它学科的结合及新技术、新材料的发展,又陆续形成了许多新的分支和边缘学科,例如:农业化学、生物化学、海洋化学、环境化学等。
【无机化学】化学的基础学科。它是研究碳氢化合物及其衍生物以外的全部元素和它们的化合物的性质、结构、变化规律及应用的化学学科。
在最近几十年中无机化学发展很快,派生出稀有元素化学、络合物化学、同位素化学、金属间化合物化学等新的分支学科。无机化学的发展对解决矿产资源的综合利用,近代技术中所迫切需要的原材料等有重要的作用。
【有机化学】化学的基础学科。它的研究范围是碳氢化合物及其衍生物的来源、制备、结构、性质、用途及其有关理论。有机化合物都含有碳,并以碳氢化合物为母体,所以有机化学又可称为“碳化合物的化学”或“碳氢化合物及其衍生物的化学”。
在人类已发现的化合物中,有四百多万种是有机化合物,比无机化合物多三十多倍。随着有机化学的发展,已派生出天然有机物化学、高分子化学、元素有机化学、药物化学等分支学科。
【分析化学】化学的基础学科。它是研究物质的化学组成及其有关理论的学科,根据分析任务,可以分为定性分析和定量分析两个部门。
定性分析的任务是鉴定物质的成分,即检出化合物或混合物是由何种元素所组成;定量分析是测定各组成部分间的数量关系。根据分析方法,可分为化学分析和仪器分析两大类。就试样用量的不同,分析化学可分为常量、半微量和微量分析。分析化学的发展促进了其它学科和技术科学的发展,并在国民经济各部门有着广泛的应用。
【物理化学】又称理论化学。化学的基础学科。应用物理学原理和方法研究有关化学现象和化学过程的一门学科。内容包括:物质结构、化学热力学、化学动力学、电化学、光化学、胶体化学等部分。主要从理论上探讨物质结构与其性质间的关系;化学反应的方向和限度以及化学反应的热效应;化学反应的速度和机理等。它是整个化学学科和化学工艺学的理论基础。
【理论化学】即“物理化学”。
【化学热力学】物理化学的一个分支,研究热力学原理在化学方面的应用,主要任务是解决化学和物理变化进行的方向和限度,特别是对化学反应的可能性和平衡条件作出预示,化学热力学能独立地解决如何判定化学过程的自发性问题。化学热力学的内容一般包括普通热力学、溶液、相平衡、化学平衡等。
【化学动力学】物理化学的一个分支,主要研究化学反应速度和控制反应速度的因素,并根据反应速度与控制反应速度的因素之间关系推测化学反应的机理。化学动力学也称反应动力学。
【热化学】物理化学的一个分支,研究物理和化学过程中的热效应规律的一门学科,即对于随着化学反应和状态的变化而发生的热的变化的测量、解释和分析,它是以热力学第一定律为基础,在量热计中直接测量变化过程的热效应,是热化学的重要实验方法。热化学的数据(如燃烧热、生成热等)在热力学计算、工程设计和科学研究等方面都有广泛应用。
【电化学】物理化学的一个分支,主要研究化学能与电能间相互转变的规律,如电极电位、电解、电镀、原电池、电化学腐蚀、化学电源等,都属于电化学的范围,是一门密切联系生产的学科。电化学在国民经济中有着极重要的应用。
【胶体化学】物理化学的一个分支,研究胶体溶液的一门学科,胶体溶液分散微粒的直径一般在10-9~10
胶体化学的内容有三部分:
⑴胶体溶液及粗分散系的物理化学;
⑵高分子溶液的物理化学;
⑶表面化学。
它在石油工业、选矿、食品工业、橡胶、纤维、塑料工业以及农业、医学等方面均有广泛的应用。
【化学物理学】化学和物理学间的一门边缘科学。研究对象以宏观为主的属于物理化学,以微观为主的则属于化学物理学。化学物理学包括量子化学、分子光谱、各种衍射方法、结晶化学、物质结构的统计理论等。
【量子化学】应用量子力学的规律和方法来处理和研究化学问题的一门学科。量子化学的主要研究对象是分子和原子。量子化学从分子中电子和原子核的运动角度,研究并揭示原子与分子、分子与分子之间的相互转变。主要内容包括:化学键理论、分子间作用力、分子结构与性能关系的理论问题。
【结晶化学】研究晶体结构与晶体的化学组成及其性质相互关系和规律的学科。测定晶体结构的实验方法为X射线、电子或中子衍射分析。结晶化学帮助弄清单质和化合物的结构问题,而且推动了具有指定性能的晶体物质(如半导体)的制备工艺。
【半导体化学】是正在迅速发展的一门学科。其主要内容包括:半导体材料的合成制备、分析鉴定、缺陷控制和性能与其结构间的关系等。
【原子能化学】是研究原子能科学技术中有关化学问题的一门学科。包括放射化学、辐射化学、核燃料化学、同位素化学等。
【放射化学】是原子能化学的一个分支。放射化学的研究内容包括三个方面:
⑴普遍放射化学,研究在极稀浓度下放射性物质的一般法则及其性质;
⑵放射性元素化学,研究各个放射性元素的分离、制备、纯化、富集、分析和鉴定等方法;
⑶有关放射化学在各学科和技术部门中的应用问题。
【辐射化学】研究物质在高能电离射线作用下形成激发原子、分子、游离基或离子的过程及其化学行为的一门学科。高能电离射线主要指α、β、γ射线以及中子射线等。辐射化学对原子能事业的发展有着极其重要的作用。例如在建造原子反应堆时,必须对各种结构材料在辐射场中的行为进行研究等。
【光化学】研究物质因吸收外来辐射而发生化学反应的一门学科,在光作用下进行的化学反应称为光化反应。其常用的波长范围约在100~1000纳米之间。光化反应的活化来源于辐射能,可使某些自由焓增加的反自发过程得以实现;有些自发反应,在光照下能加速进行。光化反应在植物生长及照相术上,在光聚合、光引发等方面都有重大的作用。光化学属于广义的辐射化学的范围之内。
【激光化学】研究激光和物质相互作用所引起的化学效应的学科。其研究对象包括激光在化学各个领域的应用,如同位素分离、反应机理的研究等。主要是研究激光如何引发和控制化学反应。如特定频率的红外激光,可能引发预期特定的反应,制得用普通方法难以合成的化合物,或使通常需要高温才能发生的反应在常温下进行等。
【同位素化学】以同位素为研究对象的学科。主要内容是同位素的分布、性质、分析、分离和应用,同位素的应用越来越重要。例如,放射性同位素和稳定同位素都可作为标记原子(示踪原子),广泛地用来研究化学、物理学、生物学、地质学、医学和工农业中的各种问题。
【核化学】研究原子核(稳定性的和放射性的)的反应、性质、结构、分离、制备、鉴定等的一门学科。属于物理学和化学的边缘学科,全称为“原子核化学”。放射性原子核方面的研究也包括在“放射化学”的范围之内。
【结构化学】物理化学的一个分支。研究原子、分子和晶体结构及其与性质间的关系的一门学科。内容包括原子结构、化学键、分子间作用力、分子和晶体的立体构型、结构与性质的关系、物质结构的实验方法等。
【立体化学】研究化合物分子中原子或原子团的空间排列,以及空间关系对化合物的物理和化学性质的影响的学科。主要内容有分子的构造、构型和构象、有机化合物的分子结构与取代基的电子效应和立体效应、分子结构对有机化合物酸碱性影响等。
【表面化学】又称“界面化学”,属于胶体化学的一部分,它是研究非均相体系中异相界面的物理、化学现象的一门学科。主要包括表面能、表面张力、吸附、催化和电动现象等方面的研究。如色层分析、萃取、离子立换、接触催化、泡沫浮选等的原理和方法等均属表面化学研究范围。
【络合物化学】又称“配位化合物化学”。研究配位化合物的结构、组成、性质、反应机理及其应用。它对稀有、分散元素的分离、提纯、矿石浮选,对动植物的生理、生化研究,以及工农业生产技术(如电镀工业、工业用水处理、改良土壤等)都有广泛的应用。
【高分子化学】以高分子化合物为研究对象的一门学科。内容包括高分子化合物的结构、性质、合成方法、反应机理和高分子化合物溶液的性质等。当前以高分子化合物为基础的合成材料如橡胶、塑料、合成纤维、涂料、粘合剂等,在国民经济各部门成为不可缺少的材料。
【计算化学】根据大量实验和已有的规律,针对化学问题的特征,抽象出合理的数学模型,以计算机为工具,应用数学的方法,确定经验与理论,定性与定量,宏观与微观,静态与动态,简单体系与复杂体系等彼此间的内在联系,为最终实现分子设计奠定基础和创造前提的一门新兴的学科。主要内容有化学信息的运筹、计算方法的最优化、计算模拟及计算控制等。计算化学在寻找反应条件和反应器的最优化方面将发挥很大的作用。
【分子生物学】是在分子水平上研究生命现象的物质基础的一门学科。它是生物学的一个重要发展,表明生物科学已开始由现象的描述深入到基本作用规律的研究。如蛋白质和核酸的结构与功能的研究等就属于分子生物学的范围。
【生物化学】运用化学理论和方法研究生命现象的本质的一门学科。其主要任务是研究构成生物体的基本物质(如蛋白质、核酸、糖类等)的结构、性质及其在生命活动过程中的变化规律。根据不同的研究对象和目的,生物化学又可分为医用生物化学、微生物生物化学、农业生物化学、工业生物化学等。随着现代化学、物理学和数学最新研究成果和实验技术的渗入,生物化学获得了迅速的发展,在医药卫生、工农业生产和国防等方面,得到日益广泛的应用。
【化学仿生学】是一门在分子生物学的发展推动下产生的,介于化学与生物学之间的边缘学科。它在分子水平上模拟生物的功能,将生物的功能原理应用于化学,借以改善现有的和创造崭新的化学工艺过程。化学仿生学的内容有模拟生物体内的化学过程、物质输送过程、能量转换和信息传递过程等。
【药物化学】又称“医药化学”,研究药物的化学成分、结构、性质、制备、分析鉴定以及对有机体的作用等的一门学科。目的在于不断地提高药物的质量、指导药物的生产与保管,提高药物的疗效,创造高效低毒的新药物。
【食品化学】研究食品的组成及其营养价值,食品中杂质的检验以及供人类消费的食品管理等内容。它属于应用化学的范围。食品化学与生物化学有密切的联系。
【化学工艺学】又称“工业化学”。研究综合利用天然原料和合成半成品,加工成生产资料或生活资料的化学生产过程的一门科学。在化学和物理学原理的基础上,寻找技术上先进、经济上合理的方法、原理、流程和设备。例如硫酸工艺学、石油化工工艺学等。
【工业化学】即“化学工艺学”。
【化学工程学】属于工程学科。以物理学、化学、数学为基础,结合工业经济基本法则,研究化学工业中具有共同特点的物理和化学变化过程及其有关的机理和设备。研究内容包括流体的流动和输送,传热,传质和反应器原理。以指导各种过程及其设备的改进和发展。在石油、轻工、冶金、原子能等工业中也广泛应用。
【石油化学】主要研究石油的组成、分类、性质以及石油的炼制和石油产品的加工、合成的一门学科。
【地球化学】研究地球表面的化学资源,以及大气圈、水圈、岩石圈内所存在的化学变化的一门学科。
【海洋化学】利用化学原理研究海洋中物质(无机物和有机物)的分布、变化规律以及海洋化学资源的开发与利用的一门学科。内容包括海水化学(海水的组成与分析),海洋生物学(海洋生物体的化学组成以及某些微量元素对生物生长的影响),海底化学(海底沉积物的化学组成以及海水中元素与海底沉积物的平衡关系)等三个主要组成部分。
【农业化学】应用化学的原理和方法,研究土壤的肥力、植物营养、肥料施用、农药性能以及农产品加工利用等与农业生产有关问题的一门学科。它对土壤的改良、合理施肥、防治病虫害、提高农作物产量等都有重要作用。
【环境化学】随着环境污染问题的提出而兴起的一门综合性基础学科。它是由从化学中分化出来的大气污染化学、水污染化学和土壤污染化学等分支学科,与气象学、生物学、水文地质学、土壤学等进行综合而逐渐形成的。其任务是从化学的角度来探讨由人类活动而引起的环境质量的变化规律及保护和改善的原理。主要包括:环境污染的化学监测、环境中化学污染的机理、应用化学方法、物理化学方法防治污染及其化学原理的研究等。
【德谟克利特】(Demokritos约前460~前370)古希腊哲学家,唯物论者。他认为宇宙由真空(“虚空”)和原子组成。认为原子有无限的数目,原子是最微小、坚固不可入和不可分的物质粒子;原子不但有不同的大小,并有不同的质量。他认为原子在性质上相同,但外观不同;原子在不停地运动着,是永远不变不灭的。世界万物是由原子不断运动和碰撞所致。这种“原子论”直到19世纪初才被近代的科学的原子论所代替。
【亚里士多德】(Aristotle约前384~前322)古希腊哲学家和思想家。他是柏拉图的学生,是一位知识渊博的学者,留下了很多关于自然科学与哲学,特别是关于逻辑和辩证法的著作。他提出万物由四种元素——土、水、气、火所组成,这四种元素是永恒的,不能从无到有、也不能从有到无。他还认为四元素都具有能被人感觉的两两对立的性质:水包括冷和湿的性质、火包括干和热的性质、气包括热和湿的性质、土包括湿和干的性质。从而推论世界万物的多样性全由这四种性质(冷、热、干、湿)以不同比例结合而产生,元素就是由这些原始性质成对地配合而成的。他的元素—性质学说成了炼金术的指导思想。他在历史上的影响最大。
【波义耳】(Robert Boyle,1627~1691)英国化学家、物理学家。1659年用实验阐明气压升降原理,并发现著名的气体定律,他在化学方面将当时习用的定性试验归纳为一个系统,初次引入化学分析的名称,开始了分析化学的研究。1661年写了《怀疑派化学家》一书,批判了点金术士的唯心主义“元素”观,将元素的定义为未能分解的物质,使化学开始在科学的基础上进行研究,对破除迷信和提倡科学精神起了很大的作用。恩格斯指出“波义耳把化学确立为科学”。
【罗蒙诺索夫】(МихаилВасилъевичЛомоносов,1711~1765)俄国自然科学家和哲学家,唯物主义者。他提出了物质和运动守恒的概念,还做了在化学反应中质量守恒的实验。他反对当时的燃素说。1748年创建了俄国的第一个化学实验室,1755年创办莫斯科大学。他对发展俄国的文化教育事业有很大贡献。在认识论上,他反对把分析和综合、感性认识和理性认识对立起来,并在一定程度上看到了实践在认识中的作用。他成功地制出了具有高度艺术水平的彩色玻璃和用这玻璃做的镶嵌画。著有《论固体和液体》、《论化学的效应》、《真实物理化学概论》、《论地层》、《关于冷和热的原因探讨》等书。
【卡文迪许】(Henry Cavendish,1731~1810)英国化学家和物理学家。1731年生于法国的尼斯,是英国贵族的后裔。1749~1753年在英国剑桥大学学习,他生活朴素,不喜社交,性格孤独,终身未婚。1798年用扭秤验证了万有引力定律,还确定了引力常数和地球的平均密度。他在化学方面的主要成就有:研究氢气的制取和性质;研究空气的组成并发现其中有约1/130的不知名的不活动气体(即以后发现的惰性气体);用氢氧通电化合成水,发现水的组成;水银集气法也是从他开始使用的。
【普利斯特里】(Joseph Priestley,1733~1804)英国化学家、唯物主义的哲学家。他酷爱实验,1766年偶遇美国科学家富兰克林,并受其启发,立志于科学事业。他用水槽、汞槽收集气体,并研究它们的性质,陆续发现氨、氯化氢、一氧化碳、二氧化碳、一氧化二氮、一氧化氮等气体。1774年他还独立地发现了氧气,是化学上的一项重要贡献,但他坚持燃素说,把氧称为“脱燃素的空气”。在哲学上,认为大脑是“思维的部位”,人和自然界都服从于必然的客观规律,但并不因而否认人的主观努力作用。他的唯物主义具有自然神论的色彩。晚年因同情和赞助法国资产阶级革命受到迫害而移居北美。主要著作有《电史学》、《各种气体的实验与观察》、《从水中产生气体的实验》等。
【柏格曼】(Torbern Bergman,1735~1784)瑞典分析化学家和矿物学家。他预言过钨、钼元素的存在,并试图提取锰,还作了有关碲的实验。在他所著的《理化大纲》等书中系统地总结了当时的化学分析知识。他与舍勒是密友。他善于引导学生,如佐罕·甘英发现了锰、埃尔姆发现了钼、得鲁雅尔兄弟发现钨都曾受过他的启示。
【舍勒】(Karl Wilhelm Scheele,1742~1786)瑞典化学家。他具有惊人的记忆力,知识渊博。舍勒独立发现了氯气、氧气、氨、氯化氢等气体,还研究和记述了锰和钡的性质。他也发现了砷酸、氢氟酸、钼酸等,并对普鲁士蓝、硫化氢、砷化氢、氢氰酸、亚砷酸铜等进行过研究。银盐的感光性也是他发现的。他首创的分离甘油和乳酸、草酸等有机酸的方法至今还沿用着。著有《论空气与火》等书。
【拉瓦锡】(Antoine
Laurent Laroisier,1743~1794)法国化学家。1772年开始研究硫、磷及金属的燃烧问题,证明物质燃烧和动物呼吸都属于空气中氧所参与的氧化作用,他证明氧气是一种新元素,提出了燃烧的氧化学说,给错误的燃素说以致命的打击,从而使化学变化的研究工作建立在科学的基础上,极大地推动了化学的发展。1783年他写成《对于燃素之回顾》,确立了质量守恒原理,建立了初步的反应方程式,天平从此在化学研究中广泛应用,他还开始了有机定量分析。1787年,在他领导下同另外三位法国化学家拟订了化合物的第一个合理命名法,1789年写成的《化学基本教程》中提出了第一个元素分类表,但书中仍认为无机元素中包括“热素”和“光素”。法国大革命时期,因他曾任封建王朝的包税官,参与封建王朝的横征暴敛,并为之出谋划策,
【道尔顿】(John Daltion,1766~1844)英国化学家、物理学家。1766年生于昆布兰的织布工人家庭里,他长期任小学教师。他对气象颇感兴趣,自1787年起每天都纪录气象资料,由于对气象的喜好,引导他去研究气体的性质,于1801年发表了“气体分压定律”,又导出混和气体中某气体的溶解度与它的分压成正比的规律。1803年他又发现了“倍比定律”,并引入元素相对原子量的新概念,编制了有十四种元素的原子量表,他选定氢是最轻的元素作为原子质量的标准。他还编了元素符号,并将符号结合起来代表化合物,他是使用元素符号的创始人。1808年发表的《化学哲学的新系统》中,提出了原子的科学假说“原子论”。恩格斯称他为“近代化学之父”,并指出“化学中的新时代是随着原子论开始的”。道尔顿曾任曼彻斯特学院的数学和自然哲学教师,后由牛津大学授予博士学位。
【亨利】(Willian Henry,1755~1836)英国化学家。他著有许多有关化学的书籍。他曾发现了气体被液体(包括溶液)吸收时,其溶解的量与气体的压强成正比,这就是“亨利定律”。
【阿佛加德罗】(Amedeo
Avogadro,1776~1856)意大利物理学家和化学家。
【盖吕萨克】(Joseph Louis Gay-Lussac,1778~1850)法国化学家。
【戴维】(Sir Humphry Davy,1778~1829)英国化学家。他性格活泼、富于感情、喜欢社交活动。他在15岁时脱离学校生活。致力于自学,在当医药学徒时,自学化学,并用酒杯、烟斗等代替化学仪器做化学实验。20岁时任气学研究所监督,不久发现笑气的麻醉性,他测定了N2O、NO、NO2的质量组成。他在1801年受聘为英国皇家化学学院担任化学助教和实验指导等职,开始了电化学的研究,是电化学创始人之一。曾用电解法制取元素钾、钠、钙、锶、钡、镁等,考察了碱金属和碱土金属的性质。还独立地发现元素硼。氯是舍勒发现的,但把他当成化合物,戴维通过实验确定氯为一种元素。按照拉瓦锡的观点,酸中必须含氧元素,他通过大量实验证明酸的主要成分是氢而不是氧。此外,他还发明了矿工所用的安全灯。1829年在日内瓦病故、终年51岁。
【贝采里乌斯】(J
ns Jakob Berzelias,1779~1848)瑞典化学家。
【法拉第】(Michael Faraday,1791~1867)英国物理学家和化学家。生于铁匠之家,少年时期在一家图书装订店当学徒。他通过实验在许多方面都有所贡献。1831年发现“电磁感应”现象,从而确定了电磁感应的基本定律,这是现代电工学的基础。他还发现,当时认为是各种不同形态的电,在本质上都是相同的。1833~1834年发现电解定律(也称法拉第电解定律),这是电荷不连续性最早的有力证据。他曾著文论述能量的转换,指出能的统一性和多样性。他在研究电场和磁场时,发现了磁致旋光效应(称法拉第效应)。在化学方面,他研究了氯,制得了液态氯,发现了四氯乙烷和六氯乙烷,特别在1825年发现了苯,对有机化学的发展起了较大的作用。他用实验方法研究气体的扩散和若干气体的液化,并研究合金钢的性质,创制出多种光学玻璃的新品种。
【维勒】(Friedrich W
hler,1800~1882)德国化学家。
【杜马】(Jean Baptiste Andre Dumas,1800~1884)法国化学家。曾任法国的阿西尼姆和索尔本大学教授。他创造了蒸气密度的测定法、氮的燃烧定量分析法。他的主要贡献是在有机化学的理论发展上,例如1834年他研究石蜡氯化之后提出了“取代”的概念;他从煤焦油中分离出蒽,他还证明乙醇中有乙基,有助于“基团理论”的建立;他又发现乙酸中的氢被氯取代后,基本性质未变,这样就导致了1839年化学类型学说的建立;他在研究脂肪醇后,又发展了同系列的概念。
【巴拉尔德】(Antoine
Jé
me Balard,1802~1876)法国化学家和药学家。
【李比希】(Justus Von Liebig,1803~1873)德国化学家。1826年起先后长期担任吉森和明兴两大学教授,最先建立高等学校化学实验室。他在无机化学、有机化学、生物化学等方面都做出了重大贡献,是当时的有机化学和农业化学权威,享有很高的威望。他发现了氰酸银和雷酸银的异构现象;改进有机物中碳、氢元素的定量分析法;创制三氯乙醛和氯仿;研究了发酵和腐败的化学原理;他把化学应用到农业生产上,提出植物的矿质营养学说,成为农业化学的奠基人之一。他还证实食物在体内氧化产生热和能。他的论文多达318篇,专著有《有机化学对农业及生理学上的应用》、《食物化学》等。他主编的德国《化学学报》是影响最大的刊物之一。
【格雷阿姆】(Thomas Graham,1805~1869)英国化学家。发现了气体扩散定律,即不同气体的扩散速度与气体密度的平方根成反比。他还研究胶体溶液与真溶液的区别,对胶体化学的发展作出了一定的贡献。他在《水是盐的成分》一文中指出,硫酸铜含的五个分子结晶水中,其中有一个分子结晶水不象其余四个水分子那样容易失去。他的著作有《化学大纲》、《关于气体扩散的定律》、《关于气体分子的移动》等。
【本生】(Robert
Wilnelm Bunsen,1811~1899)德国化学家。1811年生于戈丁根。他在19岁时获哲学博士学位。他曾以步行为主,用了三年时间,远游各地进行地质、矿山、工厂、学校的科学考察。他从事化学研究和化学教学达55年之久,直到78岁才从海得尔堡大学退休。他是基团学说的拥护者。研究范围涉及电化学、物理化学、分析化学等方面,在光化学领域内贡献较大。利用他和基尔霍夫所创立的光谱化学分析法,在矿泉中发现铯(1860年)和铷(1861年)两元素。他还是碘定量分析的创始人,并对光化学作用、冰岛的喷泉、二甲胂基等进行研究。他研制和改进的仪器设备有:本生灯(煤气灯)、本生电池、油斑光度计、各种量热器、节温器、定高水浴、过滤泵等。他在实验中,敢于接触极毒和易于爆炸的物质,发现新鲜的氢氧化铁可以解砷毒。本生为人谦逊,性格开朗,他毕生致力于科学事业,以“总是没有功夫”为由终身未娶。
【热拉尔】(Charles
Gerhardt,1816~1856)法国化学家。1843年建议改革原子量系统,并提出把分子量定为该物质在气态时与
【武尔兹】(Charles
Adolphe Wurtz,1817~1884)法国有机化学家。曾任
【霍夫曼】(August
Wilhelm Hofmann,1818~1892)德国有机化学家。他是李比希的学生。1845年起任英国皇家化学学院教授二十年。1864年返回德国,任波恩大学和柏
【基尔霍夫】(Gustav Robert Kirchhoff,1824~1887)德国物理化学家。曾任柏林大学和海得尔贝格大学教授。他在1859年根据热平衡原理导出物体对电磁辐射的发射本领与吸收系数成正比的定律(基尔霍夫定律)。他还解释了太阳光谱里的暗线(夫劳和费线)出现的原因,他与本生共同发明了分光镜,并用它发现了铯和铷,共同创立了光谱分析化学。1858年他提出了计算同一反应在不同温度下的焓变的基尔霍夫定律。
【康尼查罗】(Stanislao Cannizzaro,1826~1910)意大利化学家。他在有机化学和无机化学上都有一定的贡献。在有机化学方面,他发现芳香醛跟碱反应而转变成相应的醇和酸(康尼查罗反应)。在无机化学上,他应用了阿佛加德罗假说和杜隆—珀蒂定律来测定分子量和原子量。1860年他在《化学哲学课程大纲》里,把原子—分子的理论整理成一个协调的系统,并和有关的实验方法相贯通,他提出的有关原子量和分子量的正确概念,深得化学家们的赞许和承认,从而结束了长期存在的原子量、分子量等概念上的混乱局面,为化学的进一步发展扫除了许多障碍。
【布特列洛夫】(Aπekcaндp Mиxaйπoвиц Ъyтлepoв,1828~1886)俄国化学家。1828年生于喀山省的契斯托波尔市。曾在喀山大学学习,并留校任教。1861年他在“德国自然科学家和医生代表大会”上做了《论物质的化学结构》的报告,强调了化学结构的概念,他指出有机化合物的化学性质与它的化学结构之间有一定的依赖关系,因此可以由其结构推测性质;也可依据其性质和反应来推测结构。是他首先提出了有关有机物的结构理论。在此理论基础上他合成了叔丁醇、异丁烯、乌洛托品和某些糖类化合物,并发现了异丁烯的聚合反应。他的理论与实践对有机化学的发展起着很大的推动作用。1864年写了《有机化学通论导言》,书中根据有机物的分子结构对有机物进行了分类。
【凯库勒】(Friedrich August Kekule,1829~1896)德国有机化学家,1857年他提出“原子数”(即原子价)的概念,指出化合物分子是由不同原子结合而成,与某一个原子相化合的其它元素的原子或基的数目,取决于各成分的亲合力值(即原子价)。他还提到了氢、钾、氯、溴是一价的;氧、硫是二价的;氮、磷、砷是三价的;碳是四价的。1865年他提出苯分子为环状结构的论说。这些对有机化学的研究和发展都起了巨大的推动作用。他的著作有《有机化学教程》等。
【迈尔】(Julius
Lothar Meyer,1830~1895)德国化学家。
【诺贝尔】(Alfred
Nobel,1833~1896)瑞典的化学家和发明家。
【门捷列夫】(АлександрМихайовицЬутлеров,1834~1907)俄国化学家。
【纽兰兹】(John Aloxander Beiua Newlands,1837~1898)英国化学家。1837年生于色棱克。19岁在英国皇家化学学院学习,是霍夫曼的学生。曾任女子医学校校长和伦敦学院的化学教授。1864年他发现把元素按原子量递增顺序排列时,每隔八元素就有物理性质和化学性质重复出现的现象,即所称的“八音律”,但当时未被人们承认还受到嘲笑。后来周期律被门捷列夫和迈尔发现了,这时才引起英国对纽兰兹的重视,1887年奖给他戴维奖章以表彰他的功绩。
【马可尼可夫】(ВладимирВасилъевицМарков-ников,1888~1904)俄国有机化学家。1861年毕业于喀山大学。他受布特列洛夫化学结构理论的影响,1869年发表了“分子中原子的相互影响”的论文,1875年他从大量实验事实中总结出有机化学加成反应的定位法则:在烯烃和含氢的化合物发生加成反应时,氢原子总是加到双键两端含氢较多的碳原子上。
【帕金】(William Henry Perkin,1838~1907)英国有机化学家。1853年他在皇家化学学院受业于霍夫曼,并任其实验助手。1856年他发现了苯胺紫染料,并很快投入工业化生产,成为合成染料工业的开端。1868年他由水杨醛合成香豆素,成为人工合成天然香料的开端。1869年他还研究出从蒽制茜素的方法,并从事茜素的工业生产。除在化学工业上的贡献外,他还发现芳香酮和脂肪酸酐在碱性环境下缩合成为α、β不饱和酸的反应(即帕金反应)。
【范特荷夫】(Jacobus Hendricus Van't Hoff,1852~1911)荷兰物理化学家。1874年9月他与法国化学家勒贝尔(Joseph Achille Lebel,1847~1930)各自独立地提出碳原子的正四面体理论,他还描述了马来酸和延胡索酸的几何异构现象,提出这些物质中有不对称的碳原子,为立体化学打下了基础。以后他又发现了溶液中的化学动力学法则和渗透压法则。他还与德国的奥斯特瓦尔德(Ostwald,1853~1932)一起合办《物理化学杂志》并发表过许多文章。“物理化学”一词即由此开始的。他的成就为近代物理化学的发展,做出了重大的贡献。他的著作有《论原子在空间的构造》、《化学的动力学的研究》、《化学平衡的定律》等。
【拉姆塞】(Willian
Ramsay,1852~1916)英国化学家。
【莫瓦桑】(Henri
Moissan,1852~1907)法国化学家。
【贝克勒尔】(Antoine Henri Becquerel,1852~1908)法国物理学家。1895年起一直研究磷光现象,1896年他发现铀酰磷酸钾能使相片底片感光,也能使金箔验电器上的静电放电,从而发现了铀的放射性。他是研究放射性的先驱,他还研究过旋转磁偏极、红外光谱等。
【费歇尔】(Emil Fischer,1852~1919)德国有机化学家。在生物化学及多肽和糖类的有机合成工作上有重要贡献。他确定过葡萄糖的结构式,以及咖啡碱和可可碱的化学结构,从而使人们对嘌呤的衍生物有进一步的认识。早在1899年他就开始蛋白质的化学研究。曾改进和发展了许多分析方法,确定了几种蛋白质的组成。他还用氨基酸合成多肽,使生化合成前进了一大步。此外他还阐明血红素的结构和有关鞣酸的研究。他在1902年获得诺贝尔奖金。
【奥斯特瓦尔德】(Friedrich Wilhelm Ostwald,1853~1932)德国物理化学家。他在电化学、化学平衡、催化作用等方面的研究都做出了重要贡献。1894年他解释了酸碱指示剂变色的机理;1895年他提出对催化剂和催化作用的解释,指出催化剂只能加速平衡的到达,而不能改变平衡常数。他还根据阿累尼乌斯的电离理论对有机酸的电离平衡作了研究,发现了弱电解质的“稀释定律”公式。1907年他对胶体的形成和本质做出解释。他曾与荷兰的范特荷甫合办《物理化学杂志》,是物理化学创始人之一。但他也曾提出过错误的“唯能论”,给当时的科学工作带来一些不利的影响。他的著作有《普通化学教科书》、《普通化学大纲》、《理化测量实用书》、《分析化学的科学上的基础》、《电化学》等。
【阿累尼乌斯】(Svante
August Arrhenius,1859~1927)瑞典物理化学家。
【塔曼】(Gustav Tammann,1861~1938)德国化学家、金属物理学家。在无机化学、物理化学和金属学等方面都有成就。首先他提出玻璃为过冷液体的原理。对晶核生成和晶体的生成方面曾发表过系统的论述,并确定晶核数目和晶核生长速度以及与过冷度之间的关系。此外他对合金的相平衡及溶液的蒸气压等方面也作了深入的研究。
【豪尔】(Charles Martirr Hall,1863~1914)美国化学家、发明家和冶金专家。他在学生时代就曾下决心要制出廉价的铝,当时铝的价格十分昂贵。1886年,年仅23岁的豪尔在设备不全的实验室里,用自制的蓄电池制出了铝,从而发明了铝的商业制法,使铝成为廉价的有实用意义的金属。豪尔在1911年获得帕金奖金。
【埃罗】(Paul Louis Toussaint Héroult,1863~1914)法国冶金学家。1863年生于图利·哈耳科特。1885年他电解了各种铝的化合物,当他发现电解冰晶石时,铁阴极不到铁的熔点时即熔化;电解氯化铝钠时电极也被腐蚀,通过不断的观察和研究发明了电解法制铝。他与美国的豪尔同时独立地发明了廉价的制铝方法。此外,他还发明电炉,这对炼钢有重大贡献。
【能斯特】(Walther Hermann Nernst,1864~1941)德国物理化学家。1889年他提出溶解压理论,从热力学理论导出了电极电位公式,即“能斯特公式”。同年还提出溶度积理论以解释沉淀反应。1906年创立了热力学第三定律,即“能斯特热定理。”他在物理化学上作出了重要的贡献,此外他还曾研究过氮与氧直接化合成氮的氧化物的工业生产问题。1920年获诺贝尔化学奖。
【维尔纳】(Alfred Werner,1866~1919)瑞士化学家。苏黎世大学教授,1890年提出络合物的立体化学理论,并初次提出“配位数”的概念,他研究了非碳的旋光性物质。他的理论成为络合物化学的重要理论,这些理论给无机化学的发展和化合价的电子学说开辟了新的途径。1913年获诺贝尔化学奖。
【
【哈柏】(Fritz Haber,1868~1934)德国化学家。1906~1911年任德国卡尔斯鲁厄工业大学教授,1911年任威廉物理化学及电化学研究所所长兼任柏
【格林尼亚】(Victor Grignard,1871~1935)法国有机化学家。他于1901年发现了“格林尼亚”反应,用卤代烷和金属镁在无水乙醚中反应,生成烷基卤化镁(RMgX)称为格氏试剂,可与含有活泼氢的化合物(如H2O、ROH、RNH2、RCOOH等)及醛、酮等化合物反应,或与金属卤化物、非金属卤化物等分别反应而得到相应的化合物。它是有机化学里的重要反应,因此1912年获诺贝尔化学奖金。此外,他还提出过利用有机镁进行合成等方面的论文。
【卢瑟福】(Ernest
Rutherford,1871~1937)英国物理学家。
【茨维特】(M.C.Цвeт,1872~1919)俄国植物学家。他创立了色层分析法。他对一百多种吸附剂如氧化镁、菊根粉、碳酸钙等吸附植物色素的情况进行研究,并对多种淋洗液的性能进行探讨。他成功地把植物中的不同色素在吸附柱上展开,用不同的溶剂淋洗而提纯了许多色素。他还提纯过卵磷脂。但当时色层吸附法没有被化学家重视,直到1931年德国化学家库恩(Richard Knhn,1900~1967)等人用这种方法将当时人们误认为是单一晶体的胡萝卜素分为α与β两种同分异构体,色层吸附法才很快被人们所重视,并很快地发展起来。
【维尔斯太特】(Richard Willstātter,1872~1942)德国化学家。他主要研究生物碱和酶化学。在1894年他阐明了莨菪碱(阿托品)的化学结构,发现了阿托品和古柯碱等成分里的主要部分。他还深入和系统地研究酶化学,并得到许多较纯的酶。他经过长期的研究,阐明绿叶细胞中以3∶1的量存在的叶绿素a和叶绿素b都是镁的络合物,并阐明了它们的结构。此外,在研究纤维素和淀粉的结构组成与水解产物方面他也有所贡献。
【路易斯】(Gilbert Newton Lewis,1875~1946)美国物理化学家。美国加利福尼亚大学和马萨诸塞理工学院教授。1901年和1907年他在《美国科学技术学会会志》上发表了有关“逸度”和“活度”的文章,他首先提出了“逸度”的概念。在1916年提出了共价键的电子理论,解释了共价键的饱和性。1932年他与兰得尔(Merle Randall)合著的《热力学及化学物质的自由能》里讨论了有关化学平衡问题,给予自由能、活度等概念以新的意义。1937年以后他集中研究酸碱理论,提出了“路易斯酸碱理论”。他的主要著作有《原子价与原子分子结构》等书。
【兰茂尔】(Irving Laugmuir,1881~1957)美国物理化学家。首先发现氢气吸收大量热而离解为原子的现象,其结果被应用于氢原子焰焊接法。在表面吸附方面,提出了单分子吸附层的理论和著名的“兰茂尔吸附公式”。1917年设计了“表面天平”,用它可以测出液面上的不溶物表层的表面积,并由此计算出这些物质的截面积,建立了表面分子定向说,并论述了单分子表面膜和有关固体表面吸附性质和行为的理论。在原子结构问题上,他发展了电子价键的近代理论。他还首次实现了人工降雨。
【施陶丁格】(Hermann Standinger,1881~1965)德国化学家。他主要研究高分子化合物。1920年提出乙烯的聚合可能是链式反应。他还提出由小分子聚集而成的亲液胶体物质是数以万计的原子通过一般化学键所组成的高聚物,由于大小悬殊故有不同于低分子量化合物的性质。还确立了高聚物溶液的粘度与分子量之间的关系。这些理论对塑料等高分子工业的发展有很大的促进作用。
【玻尔】(Niels Henrik David Bohr,1885~1962)丹麦物理学家。他在1913年综合了普朗克(Max Plank,1858~1947)的量子理论、爱因斯坦的光子理论、卢瑟福的行星型原子结构模型的有关论点,提出了氢原子光谱和氢原子结构的初步理论。他还提出量子论的对应原理。玻尔的原子结构理论是原子结构学说上的一个重大发展,用它能解释和计算出符合实验的正确结论。此外,他在原子核反应理论和解释重核裂变现象等方面也有重要贡献。但以他为首的哥本哈根学派,对量子力学作出的基本解释,却反映了唯心主义的哲学观点。
【阿斯顿】(F.W.Aston,1877~1945)英国物理学家。对同位素和质谱仪进行了深入研究。1919年他首次制成聚焦性能较高的质谱仪,准确度是千分之一;以后又加以改进,1925年制成第二型质谱仪,准确度达到万分之一;1937年制成第三型质谱仪,准确度为十万分之一。利用质谱仪可以直接测定:一种元素所含核素的种数;每种核素的质量及核素的丰度。根据测定核素的质量与丰度,便可计算出平均原子量。由于这一贡献,他在1922年获诺贝尔化学奖。
【哈沃思】(W.N.Haworth,1883~1950)英国有机化学家。他主要从事糖类研究。他与希尔斯特(Hirst)共同研究了糖类的分子结构,特别是单糖的环状结构。他所设计的“端基”法是测定多糖重复单位特性的方法。他还对维生素进行研究,阐明了维生素的结构,并于1937年合成了维生素C。由于他在糖类和维生素研究上的重大贡献,1937年获诺贝尔化学奖。他的主要著作有《糖的构成》等。
【德拜】(P.J.W.Debye,1884~1966)美籍荷兰物理学和物理化学家。主要研究固体量子理论,1912年发现了“德拜”定律,奠定了电解质偶极理论。1910年制定了观察X射线干涉的理论和方法,研究过溶液中分子的偶极矩,偶极矩单位“德拜”即是以他的名字命名的。1923年和休格尔(Hückel)一起制定了强电解质理论,对强电解质稀溶液依数性偏差提出了理论的解释。他还研究过聚合物的结构。由于他对偶极矩的研究和用X射线衍射法测定分子结构上的贡献,于1936年获诺贝尔化学奖。
【赫维西】(George de Hevesy,1885~1966)匈牙利化学家。他于1913年证明RaD是铅的同位素,这一发现为后来的大量放射分析法奠定了基础。他与荷兰物理学家科斯特(Coster)合作,发现了第72号元素铪。1934年他利用人工放射同位素作示踪原子研究动物的生理机能,并获得重大的成就。他于1943年获得诺贝尔化学奖。
【莫斯莱】(Henry Gwyn Jefferys Moseley,1887~1915)英国物理学家,毕业于牛津大学,随卢瑟福研究放射现象。1913年他用不同材料制成X射线管的对阴极(即阳极靶),测得五十多个元素的X射线光谱,发现光谱特征线的频率和元素原子序数成比例。原子序数就是原子核的正电荷数,是决定元素性质的主要因素。按这个序数排列的元素周期表就要比按原子量排列的更正确,几个元素的位置与原子量大小不一致的地方都获得了解释。他的这一项贡献对周期律、光谱分析法以及原子结构理论的发展都起了重大作用。他有惊人的实验技巧和渊博的知识,不幸在第一次世界大战中阵亡。
【海洛夫斯基】(Haroslav Heyrovsk,1890~1967)捷克斯洛伐克化学家。早年留学英国,后回国任布拉格大学教授。他主要研究电化学,他用水银小滴电极测量电压增加时通过溶液的电流情况,绘制出曲线,建立了极谱分析法。使用这种方法可以测出溶液的微量物质。1925年他与日本的志方益三共同创造出世界第一台自动照像记录极谱仪,用它记录了铅、锌、镉、汞、硝基苯的极谱图。他的主要著作有《分析化学物理方法》等。1959年获诺贝尔化学奖。
【尤里】(H.C.Urey,1893~1981)美国化学家,1931年他用光谱法发现重氢(氘),这是本世纪三十年代初世界科学界的一件大事,因此他荣获1934年诺贝尔化学奖。他在同位素化学方面有重大贡献,经过他的研究,使同位素的分离开始有了化学方法。在第二次世界大战期间,他领导了使重水和铀同位素的大规模分离工作,使第一批原子弹生产成为可能。他对同位素的热力学性质以及用化学过程来探讨太阳系的演化等方面的研究都作出了卓越的贡献。
【库恩】(Richard Kuhn,1900~1967)德国有机化学家及生物化学家。1933年先后发表了许多有关胡萝卜素结构方面的研究成果,1936年他合成核黄素(维生素B2);确定了抗皮炎素(维生素B6)的结构,还合成了约300种植物性颜料。他发表的论文有700篇左右,内容涉及维生素、生物化学、辅酶等方面的研究。1938年被授予诺贝尔化学奖。
【泡利】(Wolfgang Pauli,1900~1958)物理学家,生于奥地利。他主要成就是在量子力学、量子场论和基本粒子理论方面。他创立的“泡利不相容原理”对原子结构的研究有重大贡献。另外,他提出β衰变中的中微子学说,对理论物理学的发展有一定贡献。
【鲍林】(Linus
Pauling,1901~)美国化学家和物理学家。
【伍德瓦德】(Rober Burns Woodward,1917~1979)美国有机化学家。1937年获麻省理工学院博士。1938年起到哈佛大学执教。1952年他首先提出二茂铁的夹心式结构,这在当时是很难想象的。他参加测定过青霉素、马钱子碱、土霉素和金霉素等有机化合物的结构,并合成了奎宁、胆甾醇、皮质酮、马钱子碱、利血平、叶绿素、四环素、维生素B12等,这些合成工作代表了当今有机合成的最高水平,特别是维生素B12的合成是有划时代意义的。在有机化学理论方面,1965年他和量子化学家霍夫曼合作发表分子轨道对称守恒原理。这是近年来化学理论方面的最大成就,对有机合成有重要的指导作用。1965年因在有机合成上的重大贡献,荣获诺贝尔化学奖。他毕生致力于有机化学的教学与研究,他工作作风严谨,是个不知疲倦的科学探索者。他在哈佛大学执教四十余年,共培养研究生和进修生500多人,其中许多已成为世界闻名的化学家。
【西博格】(Glenn T.Seaborg,1912~)美国化学家。1934年获加利福尼亚大学化学学士学位。1937年在核子化学研究中获博士学位。第二次世界大战期间,他在芝加哥大学的金属研究所主持用化学萃取法制取钚的工作。1946年后任辐射研究所主管,同时兼任加利福尼亚大学名誉教授。1961年任美国原子能委员会主任委员。1951年获诺贝尔化学奖。他和同事一起发现放射性钚-239和铀-233,还发现了放射性的铁-59与碘-131。他提出锕系元素的概念与它们的电子排布,他还发现了超铀元素镅和锔。他对中学教育也很热心,担任过美国的国家科学基金会的化学教材研究会和高中教材改进研究会主任委员。
【魏伯阳】(约100~170年)中国东汉时期的炼丹家。名翱,号伯阳,后人称他“云牙子”。会稽上虞(今属浙江)人。著有《周易参同契》,是世界上现存的最早一部炼丹著作,记录了我国古代炼丹的理论与实践。他认为“易经”理论、道家哲学和炼丹术三者是统一的。该书记录的有关化学知识和观察到的化学事实主要有:
⑴水银容易挥发,也容易跟硫黄相化合;
⑵氧化铅能被炭还原成铅;
⑶几种不同金属可以组成合金;
⑷从汞矿石可以制得红色硫化汞;
⑸黄金不容易氧化;
⑹物质起化学反应时的比例很重要等等。
鉴于炼丹术和道教相结合,披上一层神秘的宗教外衣,所以在《周易参同契》中有很多神秘荒诞和隐奥莫测的内容。
【葛洪】(约281~340年)中国东晋的炼丹家。字稚川,自号抱朴子,人称葛仙公。丹阳句容(今江苏句容县)人。他曾受封为关内侯,后隐居罗浮山炼丹。著有《抱朴子》、《肘后备急方》、《西京杂记》等,其中丹书《抱朴子·内篇》具体地描写了炼制金银丹药等多方面有关化学知识,也介绍了许多物质的性质和变化。内容比魏伯阳的《周易参同契》丰富而具体,而且隐讳的内容较少。它涉及的知识有:
⑴最早详细地记录反应的可逆性和物质相互转化的实验现象;
⑵叙述了金属置换作用的实验事实;
⑶制得外表如黄金、白银的几种合金;
⑷列举某些化合物的性质及升华提纯的操作要点;
⑸汇集了多种炼丹的矿物原料,说明人们认识和应用天然矿物质的范围扩大了。
由于历史条件,在《抱朴子·内篇》中仍充满了迷信色彩,宣扬了服丹长生不老之说,但该书集中地反映了当时我国在化学上的成就。葛洪是我国炼丹术发展过程中的一位重要人物,颇受国内外化学史界的重视。
【沈括】(1031~1095年)中国北宋的科学家和政治家。字存中。杭州钱塘(浙江杭州)人。宋仁宗嘉祐年进士。神宗时参加王安石变法。他担任过司天鉴、翰林学士、权三司使、知延州等职务,晚年居润州(今江苏镇江东郊)。他的《梦溪笔谈》是一部百科全书式的著作,讨论的问题十分广泛,其中有许多有关化学的知识,如灌钢技术、由胆矾水炼铜等。他还根据陨石的比重和外观断定陨石的主要成分是铁;用比较严格而正确的方法鉴别硫酸盐。他到过许多地方,接触了很多工匠和劳动人民,记载了他们的发明创造,如1080年他在陕北看到老百姓收集石油来点灯,用石油燃烧的烟炱制成墨。“石油”这个名词就是沈括最早使用和写入书籍中的,他曾预言“此物后必大行于世”。《梦溪笔谈》这部书在积累、总结和传播古代化学知识方面起了重要的作用。
【李时珍】(约1518~1592)中国明代的医药家。字东壁,蕲州(今湖北蕲春)人。他著有《本草纲目》,其中记有1892种药物,药物中的无机物就有266种,而且在有关化学知识上较前人有较大的提高,他把前人和自己实验的知识系统化。《本草纲目》里把无机药物分为水、土、金、玉、石、卤六类,水部包括许多水溶液,土部包括各种土壤和烧过的泥土,金类包括金属、某些合金以及一些金属化合物的制成品,玉类主要是较纯的硅的化合物,卤类大部分是能溶解于水的盐类。《本草纲目》在17、18世纪传到日本、朝鲜和欧洲,被译成英、德、法、拉丁、俄、日等多种文字,在世界上广泛流传,并得到很高评价。
【宋应星】(1587~1655)中国明代科学家。字长庚。江西奉新县人。他在科举失败后专心治学。他到农村田间和手工业作坊中做过长期调查,写成了巨著《天工开物》。该书图文并茂,出版于明末崇祯十年(1637年),书中用很大的篇幅分门别类,有系统、有重点地介绍了冶铁、炼锌、金属加工、染色、陶瓷、制盐、造纸、制糖等工艺技术,如在《冶铸》篇,记载了明代三种典型的铸造工艺,即失蜡铸造、实体模型和无模铸造;在《五金》篇里,记述了由铁矿炼成生铁,生铁炼成熟铁,再由生铁和熟铁合炼成钢的全部生产过程和操作方法。该书17世纪传入日本,18世纪传到欧洲,成为世界科学技术史上的名著之一,被誉为“工艺百科全书”。
【徐寿】(1818~1884)中国化学家。号雪邨,江苏无锡人。1862年清朝政府兴办洋务,他曾任安庆军械所的工程技术人员,从事制造我国第一艘“黄鹄号”木质轮船。1867年到江南制造总局(江南造船厂前身)工作,他参与制造我国第一批兵船及各式火炮。与此同时,他用了大量时间从事近代科学书籍的翻译工作,将西方近代化学知识系统地介绍到我国来,为我国化学教育做了先驱性的工作。他共翻译了13部科技书籍,其中化学方面的书籍有:《化学鉴原》(6卷,普通化学)、《化学鉴原续编》(24卷,有机化学)、《化学鉴原补编》(7卷,无机化学)、《化学考质》(8卷,定性分析)、《化学求数》(8卷,定量分析)、《物体遇热改易记》(四卷,物理化学初步知识)、《宝藏兴焉》(16卷,冶金)等。徐寿在元素和化合物的汉语命名等方面用音译方法,巧妙地制造了新字,其中许多化学元素名称,如钠、钾、锰、钴等至今还在沿用。1875年他发起成立格致书院(相当于学会性质的机构),他在讲演化学问题时,配合演示实验,收效甚好。他致力于化学事业,大量引进西方先进的化学知识,不愧是我国近代化学的先驱者。
【丁绪贤】(1885~1978)化学史家。安徽阜阳人。清末秀才,1904年入江南高等学校,1908年留学英国,1909年入伦敦大学化学系,是英国著名化学家拉姆赛的学生,1916年冬回国。1917年发起成立“理化学会”,创办的《理化杂志》为我国早期的自然科学期刊之一。曾任北京大学化学系教授、系主任。他主张把科学史列为高校教学内容,他写的《化学史通考》是我国出版的世界化学史名著。
他认为学习化学史有以下几点好处:
⑴打破狭窄的专业局限、统观化学全局、扩充眼界;
⑵养成看问题的发展观点和正确的历史观;
⑶从根本上给人们一种训练,提供化学知识的稳固基础;
⑷从前人的成败中得到借鉴,观往知来、继承优秀遗产。
【赵承嘏】(1885~1966)有机化学及药物化学家。江苏江阴人,清末秀才。1910年去英国曼彻斯特大学学习,是英国有机化学家帕金的学生。他是应用科学方法进行中草药研究的创始人之一。他对植物化学特别对生物碱的分离结晶有独到的专长。曾系统地研究了麻黄、雷公藤、细辛、三七、贝母、常山、防己、钩吻、延胡索等三十种中草药的化学成分,发现许多新的生物碱,例如,从延胡索植物中分离出13种生物碱的结晶、从钩吻植物中分离出7种生物碱的结晶等。他一生勤恳好学,80高龄仍每天坚持工作五、六小时,坚持亲自做实验不肯假手他人,临终当天早晨仍去实验室工作,因实在坚持不住了,才回家休息,于当天下午逝世。
【张子高】(1886~1978)化学家和教育家。湖北枝江县人。曾考中秀才,清末第一届官费留美学生。1909年入美国麻省理工学院学习化学,是著名化学家诺伊斯(A.A.Noyes)的学生,他为建立硫化氢定性分析系统做出贡献。张子高和王琎等共同发起组织《中国科学社》,对传播世界先进科学成果做出了贡献。他自1929年起任清华大学化学系教授、系主任、副校长。著有《中国化学史稿》(古代部分)一书,总结了中国古代化学的发展。他一生俭朴,把全副精力贡献给祖国的教育事业。
【王琎】(1888~1966)分析化学家。他是我国分析化学和中国化学史研究的先驱者之一,他以分析实验为依据,并与历史考证相结合,开创我国应用新法研究化学史的新河。他曾对五铢钱的化学成分作过专题研究,正确区别了汉、魏、晋(南北朝)和隋的五铢钱。他还用分析结果,澄清了各种我国开始用锌年代的传说,得出我国自明朝嘉靖年间开始用锌的正确结论。
【侯德榜】(1890~1974)工业化学家。福建闽侯(今福州市)人。1911年考入清华学堂,1913年赴美留学,入麻省理工学院学习化工,其后在哥伦比亚大学研究院学习、并获得博士学位。1921年应我国知名实业家范旭东的邀请,离美回国,负责塘沽永利碱厂的设计与投产,1932年又负责筹建永利宁厂(即南京硫酸铔厂),这两大化工企业的投产,为我国化学工业的发展奠定了基础。1937年抗日战争爆发,范旭东、侯德榜坚贞爱国,拒绝与日本侵略者合作,毅然放弃沽、宁两厂,率众西撤入川,筹建永利川厂。由于井盐成本昂贵、苏尔维法食盐转化率仅为70%,他全力探索制碱的新法,1940~1943年间,在他的统一指挥下,一批有志之士奋发努力,制碱新法终于取得成功,把制碱与合成氨工业联合起来,使食盐的利用率提高到98%以上,此即“联合制碱法”,后被命名为“侯氏制碱法”。1943年12月在中国化学会十一届年会上公布侯氏制碱法后,很快得到世界各国的公认。侯德榜作为世界制碱的权威,先后获得英国化学工业学会荣誉奖章、美国哥伦比亚大学奖章,荣任英国皇家学会会员、美国化学工程学会会员、美国机械学会会员和美国机械工程学会的终身荣誉会员等,为中华民族争得了荣誉。解放后他任化学工业部副部长、中国科学院学部委员、中国化学会、化工学会理事长等职,为我国化学与化工事业的发展作出重大贡献。1958~1965年他主持设计碳化法合成氨流程制碳酸氢铵工艺,并大力推广小合成氨的生产,建立了我国大、中、小相结合的化肥工业体系。他一生著作甚多,主要有两部:一是《纯碱制造》,该书第一次将氨碱法的全部理论与技术秘密公诸于世,轰动整个化学界,风行世界各国,是公认的制碱权威著作。二是《制碱工学》,全书共80余万字,这部专著内容丰富,全面总结了作者从事制碱工业数十年的研究成果和实践经验。
【庄长恭】(1894~1962)有机化学家。福建泉州人。1921年毕业于美国芝加哥大学,1924年获博士学位。1931年赴德国戈丁根大学及慕尼黑大学研究有机化学。1948年任台湾大学校长,解放前夕离台返回大陆。任中国科学院有机化学研究所所长、中国科学院学部委员,中国科学院数理化部学部副主任。他毕生从事科学研究和高等教育事业。1933年他研究麦角甾醇的结构,1934~1938年他从事跟甾体有关的化合物的合成工作,对多环化合物化学的发展起了有力的推动作用。他在有机合成,特别是在甾体化合物的合成,以及天然产物结构的研究方面做出重大贡献,因此在国际有机化学界享有盛名。他治学态度严谨,十分热心高等化学的教育工作,对我国有机微量分析的建立,起了重要作用。
【杨石先】(1896~1985)化学家与教育家。浙江杭州人。1918年毕业于清华学校(清华大学前身)高等科,1931年获美国耶
【黄鸣龙】(1898~1979)有机化学家。江苏扬州市人。早年赴瑞士和德国留学,1924年获德国柏
【曾昭伦】(1899~1967)化学家。湖南湘乡人。1915年考入清华留美预备学校,因学习成绩优良提前毕业,1920年赴美公费留学,在麻省理工学院攻读化工,后又转攻化学,1926年获科学博士学位,同年回国任南京中央大学化学系教授、系主任。1931~1936年在北京大学化学系任教,兼系主任,在这期间,他积极推行教育改革,大力提倡化学科学研究——他是我国化学界最早提倡要搞科学研究的人,他亲自带领学生在很多领域做了大量的研究工作,成绩卓著,代表了30年代我国化学研究的部分水平,有的还受到国际化学界的重视。他还在有机理论、分子结构及炸药化学、近代化学史等方面作了不少有价值的研究工作。1937年抗日战争爆发,北京大学等校迁到昆明,在西南联大化学系任教。解放后曾任高教部副部长、中国科学院化学研究所所长、全国高分子委员会主任。1955年当选为中国科学院学部委员。他关心我国化学名词的统一和命名工作,倡导在我国开展元素有机化学的科学研究,并组织撰写了《元素有机化学》丛书,该书是我国第一本元素有机化学方面的专著。
【黄子卿】(1900~1982)物理化学家。广东梅县人。青年时期他抱着“中国不能没有科学”的心愿,三次赴美国攻读化学和从事科学研究。1934~1935年他在美国麻省理工学院精确测定了水的三相点(
【傅鹰】(1902~1979)胶体化学和表面化学家。福建福州人。1919年进燕京大学学习,1922年赴美国密执安大学留学,1928年获科学博士学位。1945年再度赴美,继续在密执安大学研究院工作。他虽身在异国,但向往真理,热爱祖国。1950年10月回到祖国。1954年他任北京大学化学系胶体化学教研室主任。1962年任北京大学副校长,并当选为中国科学院学部委员、《中国科学》编委。早在40年代,他就以热力学为工具,研究溶液的吸附,对固—液界面和气—液界面的吸附层性质作了多方面的考察,设计了一种计算表面活度系数的方法。50年代以来,他继续指导学生研究吸附问题;开展了硅胶的制备、吸附和热稳定性、白土的吸附、润湿性、吸附色谱、金属膜上化学吸附和红外光谱等研究,他在表面化学领域中的贡献是多方面的,他指导研究生研究表面活性剂、气溶胶、铝皂及泥浆的流变等,取得了很多有意义的成果。他的一生坚持实事求是的精神和一丝不苟的治学态度,他特别强调学生要独立思考和动手实验,他提出“化学是实验的科学,只有实验才是最高法庭。”他在教学中很重视讲授中外科学史,他说“一门科学的历史是那门科学中最宝贵的一部分,因为科学只给我们知识,而历史却能给我们智慧”。他的著作很多,50年代编写的具有我国特色的《大学无机化学》教材,较70年代从西方引进的无机化学教材毫不逊色。
【吴学周】(1902~1983)物理化学家。江西萍乡人。1925年毕业于国立东南大学,1931年获美国加州理工学院博士学位。曾从事分子光谱、均相反应动力学以及电化学等方面的基础研究多年。是中国科学院化学学部委员。任中国科学院长春应用化学研究所研究员、所长,兼任中国科学院环境化学研究所所长,中国化学会常务理事。长期担任科学研究的组织领导工作。
【陈光旭】(1905~1987)有机化学家、教育家。河南浙川人。1932年毕业于清华大学。在美
【王序】(1912~1984)有机化学和药物化学家。江苏无锡人。1935年毕业于上海沪江大学化学系,1939年获奥地利维也纳大学博士学位。自1940年回国以来,一直从事天然有机产物研究工作,从1960年开始,又进行生物有机化学的研究。为了寻找新的更有效的抗癌药物,致力于研究核苷酸化合物的合成及生理活性。曾任北京医学院教授、药学系主任,中国化学会副理事长、中国药学会副理事长。1983年任中国科学院化学部学部委员。
【朱子清】(1900~)有机化学家。安徽桐城人。1926年毕业于东南大学,1929年赴美国伊利诺大学研究院学习,1933年获得化学博士学位。1937年赴德国慕尼黑大学继续研究有机化学。回国
【戴安邦】(1901~)无机化学家。江苏丹徒人。1924年毕业南京金陵大学,1931年获美国纽约哥伦比亚大学博士学位,专长无机化学、配位化学、胶体化学以及合成氨的铁催化剂研究。现任南京大学教授、化学系主任、配位化学研究所所长。中国化学会的常务理事。他热心教育事业,是中国化学会发起人之一,也是《化学》杂志的创办人。著有《无机化学》一书在我国颇有影响。现为中国科学院化学部学部委员。
【袁翰青】(1905~)有机化学和化学史家。江苏南通人。1929年毕业于清华大学化学系,1931年获美国伊利诺大学化学博士学位。曾任中央大学和北京大学教授。解放前从事有机化学立体异构方面研究,关于变旋作用的发现,受到化学界的重视。解放后从事化学史的研究和科学情报的研究工作,关心科学普及和化学学科的发展。任中国科学技术情报研究所研究员兼顾问。中国化学会常务理事。是中国科学院化学部学部委员。
【张青莲】(1908~)无机化学家。江苏常熟人。1931~1934年在清华大学研究院攻读。1936年获德国柏
【汪猷】(1910~)有机化学和生物化学家。浙江杭州人。1931年毕业于南京金陵大学工业化学系,1937年获德国明兴大学博士学位。任中国科学院上海分院副院长,上海有机化学研究所研究员、所长。中国化学会副理事长。中国科学院化学部学部委员。50年代初,从事桔霉素、链霉素、碳水化合物化学的研究,以后主要从事人工合成胰岛素的工作,还研究活性染料结构剖析和淀粉的化学利用。现从事核酸、蛋白质、肽、石油醇母等化学研究。
【邢其毅】(1911~)有机化学家。贵州贵阳人。1933年毕业于北京辅仁大学化学系。1936年获美国伊利诺大学博士学位。曾在德国慕尼黑大学做博士后研究。曾从事人工合成胰岛素以及多肽和氯霉素等工作。现任北京大学化学系教授、有机化学教研室主任。中国化学会理事。中国科学院化学部学部委员。继续从事多肽、花果香气及立体化学的研究与教学工作。
【卢嘉锡】(1915~)物理化学家。原籍台湾省台南市,1915年生于福建厦门。1934年毕业于厦门大学化学系。1939年获英国伦敦大学博士学位。任中国科学院福建物质结构研究所研究员、所长。中国化学会副理事长。中国科学院化学部学部委员。曾任中国科学院院长。他专长结构化学,近年来从事化学模拟生物固氮和过渡金属原子簇化合物方面的研究,提出了网兜状原子簇结构的固氮酶活性中心模型。
【唐敖庆】(1915~)物理化学家。江苏省宜兴人。1940年毕业于西南联合大学(北京大学)化学系,1949年获美国纽约哥伦比亚大学博士学位。任
【严东生】(1918~)应用化学家。浙江杭州市人。1939年毕业于燕京大学化学系,1941年获该校理科硕士学位。1949年获美国伊利诺大学博士学位。长期从事无机高温材料与复合材料的研究。任中国科学院副院长,中国科学院上海硅酸盐研究所研究员、所长。中国硅酸盐学会副理事长,中国化学会理事。是中国科学院化学部学部委员。
一、化学用语、化学量
【元素符号】国际上统一采用的表示元素的化学符号,一般用元素拉丁文名称的第一个字母(大写)来表示,如:氢H、氧O。有些元素的拉丁文名称第一个字母相同,则在第一个字母后加上另一个字母(小写字)以示区别,例如:钙Ca、铜Cu、氯Cl。自人工合成104、105号元素后,由于元素的命名未取得国际上的公认,为统一起见,有关国际会议建议104号以后的新元素按原子序数的拉丁文数字命名,104、105、106、107号元素分别以Unq、Unp、Unh、Uns表示。元素符号除表示元素外,还有量的含义,即表示该元素的一个原子、表示该元素的原子量,例如O,表示氧元素,也表示氧元素的一个原子,又表示它的原子量为15.9994。
【化学式】用元素符号表示纯净物质组成的式子。化学式不仅表示该物质由哪些元素组成,还表示其中各元素原子数目的相对比数,利用化学式还可以计算出式量。化学式有实验式(最简式)、分子式、结构式、示性式、电子式等。
【实验式】又称最简式,是化学式的一种。用元素符号表示化合物分子中元素的种类和各元素原子个数的最简整数比的式子。在有机化合物中经常会出现不同的化合物具有相同的实验式,例如乙炔(C2H2)和苯(C6H6)的实验式都是CH,甲醛(CH2O)和乙酸(C2H4O2)的实验式都是CH2O等。已知化合物的最简式和分子量,就可以求出它的分子式。有些物质的实验式就是它的分子式,如甲醛CH2O和水H2O等。离子化合物晶体通常不是以分子状态存在,在实际应用上就用实验式来表示这类物质中各元素原子数目的比例关系,如NaCl表示氯化钠晶体中钠离子与氧离子数之比是1∶1。
【最简式】见实验式条。
【分子式】化学式的一种,用元素符号表示单质或化合物分子组成的式子。例如分子式H2O表示水是由氢元素和氧元素组成,表示水的一个分子,表示水分子中含有二个氢原子和一个氧原子,也表示水的分子量为18.015。分子式是通过实验测定物质的组成和分子量后求得的,一种物质只有一个分子式。不以分子形式存在的离子化合物,只表示该化合物的组成,而不是分子式。例如氯化钠晶体中只有钠离子和氯离子,不存在氯化钠分子,所以NaCl只表示氯化钠的组成,是氯化钠的化学式,而不是分子式。分子式可以和实验式相同,也可以是实验式的整数倍,例如过氧化氢的分子式是H2O2,而实验式是HO。
【结构式】化学式的一种。用元素符号通过价键相互连接表示物质分子中原子的排列顺序和结合方式的式子。例如甲烷(CH4)和乙酸(C2H4O2)的结构式分别是:

其中一条短线表示一个共价键,结构式是表示物质分子的化学结构的式子,并不表示分子的空间结构,例如甲烷分子的空间结构是正四面体。有机化合物中,同分异构现象比较普遍,例如分子式同为C2H4O2的乙酸和甲酸甲酯,它们的性质迥然不同,这是由于它们结构不同的缘故,用分子式不能区别分子组成相同,而结构相异的物质,因此,在这种情况下,使用结构式更显得重要。

![]()
【示性式】化学式的一种,表示含有官能团的化合物分子的一种简化结构式。例如乙醇的结构式如图所示,但它的示性式是CH3CH2OH,表示乙醇分子中含有一个乙基CH3CH2—和一个羟基—OH。示性式能够明确而简便地表述同分异构体。例如乙醇和二甲醚的分子式都是C2H6O,它们的示性式分别为CH3CH2OH和CH3OCH3。
有些书籍中把CH3CH2OH叫乙醇的结构简式,而把除官能团外的其它各原子都分别合在一起写的式子叫示性式,如C2H5OH叫乙醇的示性式。结构简式和示性式都是简化的结构式,简化之后仍保持结构的特点,因此,一般书籍中把结构简式和示性式统称为示性式,不提结构简式。
【电子式】用元素符号表示原子核和内层电子,并在元素符号的周围用小黑点“·”或“×”表示原子或离子最外层电子数的图式叫电子式。例如,钠原子、氯原子、氯化钠、氯化氢的电子式分别如下:
![]()
在离子化合物的电子式中,离子的电荷用“+”或“-”表示,阴离子需加上方括号,阳离子失去外层电子后只标明电荷数即可。
用电子式可以比较简便和形象地表示离子化合物和共价化合物的形成过程。例如,MgCl2的形成过程是:
![]()
HBr的形成过程是:
![]()
电子式只适用于某些在形成共价分子或离子化合物时,其最外电子层能达到惰性元素原子的电子层结构的原子。

【原子结构示意图】又叫原子结构简图。用以表示原子的核电荷数和核外电子在各电子层上的排布的图式。例如,硫的原子结构示意图如右图,其中,圆圈及其中数字表示钠原子核及核内有16个质子,弧线表示电子层(硫有3个电子层),弧线上的数字表示该电子层的电子数(硫原子K层有2个电子,L层有8个电子,M层有6个电子)。原子结构示意图比较直观,易为初学者接受。但不能把弧线看作原子核外电子运行的固定轨道。
【原子结构简图】见原子结构示意图条。
【组成】化合物或混和物中各个组分的相对含量称为组成。常用质量比或质量百分数(百分组成)表示。例如水中氢和氧的质量比是1∶8,百分组成是含氢11%,含氧89%。
【定组成定律】又称定比定律。任何纯净的化合物中各元素的质量比是固定的,或者说,它们具有固定的组成。例如水,不管它是从什么地方取得的,或是用什么方法制取的,只要是纯水,水中氢元素和氧元素的质量比一定是1∶8。定组成定律是由法国化学家普鲁斯特在18世纪末根据对多种化合物的定量测定而确立的,是近代化学发展的基础。这个定律对绝大多数化合物是适用的,也有一些例外情况,如金属互化物的组成在某一定范围以内是可以改变的。
【定比定律】见定组成定律条。
【倍比定律】当甲乙两种元素互相化合形成两种或两种以上的化合物时,则在这些化合物中,与一定质量的甲元素相化合的乙元素的质量,必互成简单的整数比。例如H2O和H2O2这两种化合物都是由氢元素和氧元素组成的,H2O中氢和氧的质量比是1∶8,H2O2中氢和氧的质量比是1∶16。在这两种化合物中跟等质量的氢化合的氧的质量比为1∶2,是一个简单的整数比。这个定律是英国化学家道尔顿于1803年提出的。
【质量守恒定律】又叫物质不灭定律。参加化学反应的各物质质量总和,等于反应后生成的各物质质量总和。也就是在化学反应中,反应物的总质量等于生成物的总质量。由于化学反应是化学键的破裂与重建的过程,反应前后的原子的种类与数量都没有改变,所以化学反应前后各物质的质量总和应是相等的。这个定律是俄国科学家罗蒙诺索夫于1765年首先提出的,但是这一发现在当时并没有引起科学家的注意,直到1777年法国化学家拉瓦锡用多次实验进一步加以证实后,这一定律才获得公认。物质在发生化学反应的同时,必定伴随着能量的吸收或释放,1905年美国物理学家爱因斯坦提出质量和能量的联系公式:E=mc2,式中E为能量,m为质量,c为真空中的光速。根据这一公式可知,当一种物质的能量发生变化时,它的质量也相应地发生变化,因而质量守恒定律得到了新的发展。由于c2是一个很大的数值,只要损耗很小的质量就能释放极大的能量,在化学反应中所释放的能量不太大,很难觉察到质量的亏损,所以在化学反应中可以不加考虑。而对释放能量特别大的核反应中,就会感到质量的亏损。
【物质不灭定律】见质量守恒定律条。
【化学方程式】又称化学反应式。用化学式表示化学反应的式子。反应物写在式子的左边,生成物写在式子的右边,中间用等号连接,在特定的条件下进行的反应,可把条件写在等号处,生成物是气体或沉淀的可用“↑”或“↓”表示,例如碳酸氢钠加热时分解生成碳酸钠、水和二氧化碳,可写作
![]()
书写化学方程式必须遵循质量守恒定律,因此要在化学式前面配上适当的系数,使等号左右各种原子的总数都相等,也就是书写化学方程式时必须配平。化学方程式不仅表示参加反应的反应物和生成物的种类,而且表示反应物和生成物之间质量、物质的量的关系,对于气体物质,还能表示它们在同温同压下的体积关系,例如
N2+ 3H2=====2NH3
物质的量之比 1 ∶ 3 ∶ 2
质量比 28 ∶ 6 ∶ 34
体积比 1 ∶ 3 ∶ 2
在工农业生产和科学实验上,根据化学方程式可以进行各种计算。
【化学反应式】见化学方程式条。
【热化学方程式】标出热效应的化学方程式。把反应热写在生成物的右边,放出的热量用正值,吸收的热量用负值表示。
在写热化学方程式时:
⑴要注明反应时的温度和压力,如不注明,即表示通常状况;
⑵必须在化学式的右下侧注明物质的聚集状态,可分别用小写的s、l、g三个英文字母表示固、液、气态;
⑶化学式前的系数只表示物质的量(摩尔),不表示分子数,因此必要时可以用分数。
例如,在
![]()
![]()
因物质的聚集态不同,因此反应热也不同。
【离子方程式】用实际参加反应的离子符号来表示离子反应的式子。例如硝酸银溶液和氯化钠溶液之间反应的离子方程式是:
![]()
它可表示所有的可溶性银盐和盐酸或可溶性氯化物之间的反应。离子方程式可表示同一类型的离子反应,揭示了反应的实质。在离子方程式中,反应物和生成物中若为可溶性强电解质溶液,均写成离子符号;若为弱电解质(包括水)、难溶物质或气态物质时,一律写成分子式(化学式)。非溶液中的离子反应一般不用离子方程式表示。
【电离方程式】表示电解质在溶液中或受热熔化时电离成自由移动离子的式子。强电解质在溶液中完全电离,用“=”表示,弱电解质在溶液中只是部分电离,并在一定条件下达到电离平衡,所以用可逆符号表示。例如氢氧化钠和醋酸在溶液中电离方程式分别是:
NaOH=Na++OH-
![]()
硫酸是强电解质,一级电离比较完全,二级电离就不完全(K2=1.2×10-2),所以硫酸的电离方程式一般表示为:
H2SO4=H++HSO4-
![]()
【电极反应式】表示原电池或电解池中电极上发生的氧化或还原反应的式子。
例如,铜锌原电池中的电极反应式是:
负极 Zn—2e=Zn2+
正极 Cu2++2e=Cu
氯化铜溶液在电解池中的电极反应式是:
阳极 2Cl――2e=Cl2↑
阴极 Cu2++2e=Cu
由于氧化-还原反应是同时进行的,所以电极上进行的反应又称为半反应。
【原子量】元素的原子量是一种相对质量。一种元素的原子量是该元素1摩尔质量同核素
由于标准不同,容易引起混乱。1961年8月国际上正式决定采用的质量的1/12作为原子量的标准,新的原子量跟原化学原子量相差很小,例如氧的原子量从16.0000改为15.9994,相差不到十万分之四。
【同位素量】各种元素的同位素以碳元素的同位素
【丰度】元素在地壳中含量的百分数,称为元素丰度,常简称丰度或克拉克值。丰度有两种表示方法,分别是质量百分数(Cw)和原子百分数(CA)。例如丰度最大的氧元素Cw为49.13%,CA为53.59%。丰度的概念有时也用来表示某元素的各种同位素的相对百分数,例如氖的三种同位素20Ne、21Ne、22Ne的丰度分别为90.92%、0.25%、8.83%,表示元素的同位素相对丰度时指的是原子百分数(CA)。
【质量数】原子核内质子数和中子数的总和。质量数是接近同位素量的整数。例如氯的两种同位素质量分别是34.969μ和36.966μ,35和37分别是这两种同位素的质量数。
【分子量】单质或化合物分子的相对质量,等于分子中各原子的原子量的总和。例如氧气(O2)的分子量为15.9994×2=31.9988,水(H2O)的分子量为1.0079×2+15.9994=18.0152。离子晶体、原子晶体和金属晶体所构成的物质,它们一般不存在单个的分子,所以也无所谓分子量。但可以用它们的化学式来计算它们的式量,例如二氧化硅(SiO2)的式量是28.0855+15.9994×2=60.0843。
【式量】物质的实验式中各原子的原子量总和。若实验式等于分子式,则式量等于分子量,例如硫酸的实验式与分子式相同,都是H2SO4,它的式量(98)就等于其分子量;若实验式与分子式不一致,则式量不等于分子量,例如葡萄糖的实验式是CH2O,分子式是C6H12O6,则式量为30,而分子量是180。
【国际单位制】简称SI制,是1960年第十一届国际计量大会建议采用的一种单位制。从1969~1975年国际标准化组织和国际计量大会经过修订、补充,正式推荐使用。国际单位制是以米、公斤、秒、安培、开尔文、摩尔、坎德拉为基本单位,其它单位均由这七个单位导出,各基本单位规定如下:
⑴米等于氪—86原子的2p6和5d5能级之间跃迁所对应的辐射在真空中的1650763.73个波长的长度;
⑵千克(公斤)是质量单位,等于国际千克原器的质量;
⑶秒是铯—133原子基态的两个超精细能级之间跃迁所对应的辐射的9192631770个周期的持续时间;
⑷安培是一恒定电流,若保持在处于真空中相距
⑸开尔文是热力学温度单位,是水的三相点热力学温度的1/273.16;
⑹摩尔是一种系统的物质的量,该系统中所含的基本单元数与
⑺坎德拉是在101325牛顿每平方米的压强下,处于铂凝固温度的黑体的1/600000平方米表面垂直方向上的光强度。
【物质的量】是国际单位制规定的七个物理量之一,物质的量是指一定量的物质中所含微粒的多少,它的单位是摩尔。使用时要注意物质的量与摩尔数的区别,摩尔数只有数的意义,没有单位;物质的量既有数的意义又有单位。例如5摩尔水,其中5摩尔是物质的量,5是摩尔数。
【摩尔】1971年在第十四届国际计量大会上通过,把它作为国际单位制(SI)七个基本单位之一。是表示物质的量的单位。它是一种系统的物质的量,该系统中所含的基本单元数与
【摩尔质量】1摩尔任何物质的质量。它的单位是克/摩尔。原子的摩尔质量等于用克/摩尔表示的在数值上和该元素的原子量相等的质量;某种分子的摩尔质量等于用克/摩尔表示的在数值上和该物质的分子量相等的质量。因此摩尔质量表示1摩尔的任何物质(原子、分子、离子、电子以及其它粒子或是这些粒子的特定组合)以克/摩尔为单位的质量。
【摩尔分数】混和物或溶液中的一种物质的摩尔数与各组分的总摩尔数之比,即为该组分的摩尔分数。可以指混和物中某一组分的摩尔数与混和物总摩尔数之比;也可以指溶液中溶质的摩尔数与溶质溶剂总摩尔数之比;经常用于气体混和物中某气体的摩尔数与混和气体中各组分的总摩尔数之比。
【摩尔百分数】用百分数表示的摩尔分数。例如,混和气中某气体的摩尔数占混和气体总摩尔数的1/5,摩尔分数为1/5,摩尔百分数为20%。
【气体摩尔体积】1摩尔的任何气体在标准状况下所占的体积大约都是
【平均分子量】
【阿佛加德罗定律】在同一温度和同一压强条件下,相同体积的任何气体中都含有相同数目的分子。这个结论是意大利化学家阿佛加德罗于1811年首先提出,后来为许多实验所证实的。它用于某些计算,例如气态物质的分子量计算等。根据阿佛加德罗定律,从某些气态物质在反应中体积的变化,可以推算出气态单质分子中的原子数。
【阿佛加德罗常数】1摩尔微粒(可以是分子、原子、离子、电子及其它微粒等)数经实验测得比较精确的数值是6.022045×1023个/摩尔。测定阿佛加德罗常数的方法很多,例如:由含Ag+的溶液中析出1摩尔银,需通过96484.56库仑的电量,已知每个电子的电量是1.602189×10-19库仑,因此可以得出阿佛加德罗数是
![]()
【当量】物质相互反应时,彼此所需相当的量。元素的当量是元素在化学反应中跟1.008份质量的氢或8.000份质量的氧相当的量。酸、碱、盐、氧化剂和还原剂的当量分别为:

一种物质在不同的反应中,往往有不同的当量。例如,H2SO4跟NaOH反应,生成Na2SO4时,H2SO4的当量为49,如果生成NaHSO4时,H2SO4的当量为98。
【克当量】是衡量物质质量的一种化学单位,一定量元素或化合物,用克做单位,在数值上等于当量时,这一定量物质称为一克当量。例如,氢的克当量是
【克当量数】表示物质克当量的数量。例如,
【当量定律】在任何化学反应中,反应物之间完全反应时,它们的克当量数一定相等。例如,在H2和O2化合成H2O的反应中,氢的当量为1.008,氧的当量为8.000,因此,H2与O2化合时的质量比为1.008∶8。根据当量定律,可以计算物质在化学反应中的质量关系。当量定律是德国科学家里希特尔于1791年提出的。
【氧化数】又称氧化值或氧化态。某元素一个原子的荷电数,这种荷电数由假设把每个键中的电子指定给电负性较大的原子而求得。在离子化合物中,元素原子的氧化数就等于该原子的离子电荷数,如氯化钙,钙原子的氧化数为+2,氯原子为-1。在共价化合物中,把属于两原子的共用电子对指定给两原子中电负性较大的一个以后,在两原子留下的电荷数就是它们的氧化数。如五氧化二磷,磷原子氧化数为+5,氧原子为-2。在单质中,元素的氧化数为零。元素的氧化数的变化是区别氧化-还原反应和非氧化-还原反应的主要标志。
【化合价】又称原子价。一定数目的一种元素的原子跟一定数目的其它元素原子化合的性质。它表示各种元素的原子相互化合的数目。通常以氢的化合价等于1为标准。其它元素的化合价就是与该元素的1个原子相化合的或被该元素1个原子所置换的氢原子数。化合价有电价与共价之分。
【电价】元素在离子化合物里的化合价。电价数就是这种元素的一个原子得失电子的数目,失去电子的为正价,得到电子的为负价。例如在硫化钠中,钠为+1,硫为-2。
【共价】元素在共价化合物里的化合价。共价数就是这种元素的一个原子跟其它元素的原子形成的共用电子对的数目,所以共价没有正负之分。共价不容易从分子式推断,而要从结构分析。但是不少物质的结构尚不清楚,这就难以确定共价数。现行中学化学教材里用氧化数的概念,引用到共价化合物中元素的化合价上去。根据成键原子吸引电子对能力的差别,把共价也分成正负价,实质上是元素的氧化数。
二、物质的分类
【元素】又称化学元素。具有相同核电荷数(即相同质子数)的同一类原子的总称。现在已经发现108种元素,其中包括22种非金属元素和86种金属元素,金属元素与非金属元素的区分是相对的,一些非金属元素也具有类金属(半金属)的性质。元素的最小单位是原子。大多数元素都有同位素,这是由于原子核内的中子数不同引起的,如氢由质量数为1、2和3的三种同位素组成。在1940年以前,元素周期表中铀以后的元素(超铀元素)是不存在的,都是以后由人工合成的放射性元素。在自然界里元素以游离态和化合态两种形式存在,但大部分是以化合态存在的。
【化合态】元素以化合物存在的形态。如水中氢元素和氧元素都是化合态的。
【游离态】元素以单质存在的形态。如氧气中的氧元素是游离态存在的。
【纯净物】由一种单质或一种化合物组成的物质。纯净物具有固定的组成、结构和性质,例如纯净的水无色透明、无味。密度是
【混合物】由几种不同的单质或化合物通过机械混和而成的物质。混和物没有固定的组成,混和物中各成分仍保持各自原有的性质,可以利用混和物中所含各成分的不同物理性质进行分离,例如空气中所含的氮气、氧气、惰性气体等可利用它们的沸点不同而分离开来。
【单质】由同种元素组成的纯净物。单质不可能再分解成两种或两种以上的不同物质。例如氧气(O2)、磷(P4)、铁(Fe)、银(Ag)等。单质和元素是两个不同的概念,元素是具有相同核电荷数的同一类原子的总称,元素以游离态存在时为单质,有些元素可以形成多种单质,例如碳元素可以形成金刚石、石墨和无定形碳等多种单质。根据单质的不同性质,一般单质可分为金属和非金属两大类。
【同素异形体】见同素异性体条。
【同素异性体】同一种元素组成的不同性质的单质互称同素异性体。形成同素异性体原因有三类:组成分子的原子数目不同形成的同素异性体,如O2和O3;晶体中原子的排列方式不同形成的同素异性体,如金刚石和石墨;晶体中分子的排列方式不同形成的同素异性体,如斜方硫和单斜硫。其中晶体的同素异性体也称同素异形体。
【化合物】由不同种元素组成的纯净物。化合物具有固定的组成并具有一定的性质。化合物从成分上可分为有机物和无机物两大类,从构成化合物的化学键又可分为离子化合物和共价化合物两大类。
【无机物】是无机化合物的简称,通常指不含碳元素的化合物。但少数含碳的化合物,如一氧化碳、二氧化碳、碳酸盐、氰化物等也属无机物。无机物大致可以分为氧化物、碱、酸和盐四大类。
【有机物】是有机化合物的简称。指含碳元素的化合物。组成有机物的元素除碳以外,通常还含有氢、氧、氮、硫、磷、卤素等。以前,把动植物等有机体中取得的糖类、蛋白质、油脂等物质叫有机物,到19世纪20年代,科学家先后从非生物体内取得的物质合成了许多有机物,如尿素、醋酸等,从而打破了有机物只能从有机体中取得的概念,但习惯上一直沿用有机物这个名称。有机物一般难溶于水而易溶于有机溶剂;熔点低;绝大多数有机物受热容易分解,而且容易燃烧;有机物的化学反应比较慢,并常伴有副反应发生。有机物一般可以分为烃和烃的衍生物两大类,因此有机物也就是烃和烃的衍生物的总称。
【金属】由金属元素组成的单质。具有金属光泽、不透明、有延性和展性、有良好的传热性和导电性的一类物质。在金属晶体中有中性原子、阳离子和自由电子,金属具有上述性质,都与晶体中存在自由电子有关。常温下除汞外,都以固态形式存在。化学性质一般表现较强的还原性,由于金属元素原子的价电子较少,原子半径较大,在反应中容易失去价电子成为阳离子的缘故。工业上通常把金属分为黑色金属和有色金属两大类。有色金属又可分成轻金属、重金属、贵金属和稀有金属等。
【非金属】由非金属元素组成的单质。非金属一般没有金属光泽,不是电和热的良导体,没有延性和展性。在通常情况下,非金属有的是固体,有的是气体,只有溴是液体。非金属固体大多数是分子晶体,硬变小,熔点、沸点较低,但有的非金属固体属原子晶体,如金刚石、晶体硅等,它们的硬度大,熔点、沸点较高。非金属元素的原子价电子较多,原子半径较小,在化学反应中倾向于得到电子。大多数非金属既具有氧化性,又具有还原性。金属与非金属没有严格界限,位于周期表P区左上到右下对角线附近的元素,如硼、硅、锗、砷、锑、碲等既具有非金属的性质,又具有金属的性质,可把这些元素的单质称为准金属或半金属。
【惰性气体】又称稀有气体,系周期系中零族元素,包括氦(He)、氖(Ne)、氩(Ar)、氪(Kr)、氙(Xe)和放射性元素氡(Rn)等六种元素。无色、无臭、无味,微溶于水,溶解度随分子量增大而增加。均为单原子分子。通常在化学性质上表现出惰性,至今已制出氙的稳定化合物,如XeF2、XeF4等,氪也可能形成类似氙的化合物,如KrF2,但不很稳定,它仅能在-
【黑色金属】通常是指铁、铬、锰和铁的合金(主要指钢铁)。在各种金属中,铁在地壳中分布较集中,储量较丰富,开采和冶炼较多,价格也较廉。铸铁和钢的品种和规格很多,它们是工业上最广泛应用的金属材料,在国民经济中占有极重要的地位。铬与锰主要应用于制合金钢。铁、铬、锰及其合金都不是黑色的,而钢铁表面经常覆盖着一层黑色的四氧化三铁。这样分类,主要是从钢铁在国民经济中的重要地位出发的。
【有色金属】通常是指除铁、铬、锰和铁的合金以外的其它金属。可分为四类:⑴重金属,如铜、锌、铅、镍等;⑵轻金属,如钠、钙、镁、铝等;⑶贵金属,如金、银、铂、铱等;⑷稀有金属,如锗、铍、镧、铀等。
【重金属】一般是指密度在
【轻金属】一般是指密度在
【贵金属】通常是指金、银和铂族金属(包括钌、铑、钯、锇、铱、铂)。这些金属在地壳中含量较少,不易开采,价格较贵,所以叫贵金属。这些金属对氧和其它试剂较稳定,金和银常用来制造装饰品和硬币。
【稀有金属】通常是指自然界中含量较少,比较分散的金属。它们难于从原料中提取,在工业上制备及应用较晚。稀有金属和普通金属没有严格界限,某些稀有金属比铜、汞、镉等金属还多。稀有金属在现代工业中具有重要的意义,往往把黑色金属、有色金属和稀有金属并列为三大类。稀有金属根据其在地壳中的分布状况及冶炼方法,可分为六类:⑴稀有轻金属,如锂、铷、铯、铍、钛等;⑵稀有难熔金属,如钨、钼、铌、钽、铪、钒等;⑶稀有分散金属(或称稀散金属),如镓、铟、铊、锗等;⑷稀土金属,包括钪、钇和镧系元素;⑸稀有贵金属,指铂族元素;⑹稀有放射性金属:包括钋、钫、镭、锕、钍、镤、铀以及从1940年以来陆续发现的十多种人造放射性元素。
【合金】由一种金属跟另一种或几种金属或非金属所组成的具有金属特性的物质叫合金。一般由各组分熔合成均匀的液体,再经冷凝而制得。按组成合金的元素数目的多少,有二元合金,三元合金和多元合金之分;按其结构的差异,又可分为共熔混和物、固溶体和金属互化物三类。一般说来,合金的熔点都低于组成它任何一种成分金属的熔点,例如用作电源保险丝的武德合金(由锡、铋、镉、铅四种金属按1∶4∶1∶2的质量比组成),熔点只有
【共熔混合物】合金的一种,当由金属组成的共熔的混和物凝固时,各组分分别结晶而形成的合金,例如铋镉合金与焊锡等。
【固溶体】由几种不同的化学组分所组成的均匀晶体。通常以一种物质为溶剂,在固态下溶有其它物质(溶质)的原子或分子而形成的晶体。在合金和硅酸盐系统中较多见。主要有两种类型,一是间隙固溶体,即由溶质原子溶于溶剂晶格中原子之间的间隙中而形成的,如碳溶于铁水形成的固溶体;另一是置换固溶体,即由溶质原子代替溶剂晶体中的原子而形成的,如铜溶于镍中形成的固溶体。以金属为主体形成的固溶体是合金的一种。
【金属互化物】是金属间化合物的简称。在一定条件下,金属之间相互化合而成的化合物。例如Cu3Al、CuZn3、Cu3Sn、Ag3Al、FeZn7等,金属互化物的组成并不固定,可以在一定范围内变动。例如Cu5Zn8中的锌的含量可在59~67%之间变动。大多数金属互化物是以金属键相结合,故组成元素的化合价无法确定。它是合金的一种,这类合金的传热和导电性能比组分金属低,有的具有很高电阻,通常硬而脆。
【半金属】又称准金属。介于金属与非金属之间的单质。如硼、硅、锗、砷、锑、硒、碲等。组成这些单质的元素在元素周期表中P区左上到右下的对角线附近。半金属一般为半导体。它们的导电性与金属不同,一般随温度的升高而增强。半金属在电气、冶金等方面有广泛的应用。
【准金属】见半金属条。
【氢化物】氢跟其它元素组成的二元化合物。例如氢化钠、硫化氢、硼烷等。
按其结构大致可分成三种类型:
⑴离子型氢化物(又称盐型氢化物),碱金属及碱土金属钙、锶、钡能跟氢气在高温下直接反应生成如NaH、CaH2等。在反应过程中氢夺取金属原子的价电子形成带1个单位负电荷的离子H-。这类氢化物都是离子晶体,具有较高的熔点,在熔融状态下能够导电,跟氯化钠相似。
⑵共价型氢化物(又称分子型氢化物),如HCl、H2S、NH3、CH4等都属于分子晶体,熔点、沸点较低。这类氢化物中有些具有酸性,如HCl、H2S,少数具有碱性,如NH3,另一些为中性,如CH4。
⑶金属型氢化物(又称间充氢化物),如氢化钯是金属钯晶格中间充入体积很小的氢原子而成的,无固定组成,金属吸氢后仍保持金属的特性,具有类似合金的结构,所以也称合金型氢化物。
【氧化物】氧元素跟其它元素形成的二元化合物。如氧化钙、二氧化硫、一氧化氮等。氧化物可分为不成盐氧化物(如一氧化碳、一氧化氮等)和成盐氧化物两类,后者又分为碱性氧化物(如氧化钙)、两性氧化物(如氧化铝)和酸性氧化物(如二氧化碳)。此外还有过氧化物、超氧化物、臭氧化物等。同一种元素往往有几种不同价态的氧化物,如SO2和SO3;FeO、Fe2O3和Fe3O4等。有时氧化物的含义更广泛,不限于含氧元素的二元化合物,如多元氧化物(如NiFe2O4)和有机氧化物(如氧化乙烯C2H4O2,即环氧乙烷)等。
【不成盐氧化物】又称惰性氧化物或中性氧化物。是既不能跟酸起反应,又不能跟碱起反应的氧化物,如CO和NO等。
【惰性氧化物】见不成盐氧化物条。
【中性氧化物】见不成盐氧化物条。
【碱性氧化物】能跟酸起反应,生成盐和水的氧化物。金属氧化物大多数是碱性氧化物,如氧化钙、氧化铜等。碱性氧化物对应水化物是碱,例如CaO对应的水化物是Ca(OH)2,CuO对应水化物是Cu(OH)2等,多数碱性氧化物不能直接跟水化合,有些碱性氧化物如CaO能跟水化合生成碱。
CaO+H2O=Ca(OH)2
碱性氧化物一般由金属直接氧化或难溶性碱、含氧酸盐受热分解制得。
【两性氧化物】既能跟酸起反应生成盐和水,又能跟碱起反应生成盐和水的氧化物。例如氧化铝、氧化锌等,某些过渡元素的中间价态的氧化物,如Cr2O3和Mn2O3等也是两性氧化物。两性氧化物对应的水化物是两性氢氧化物。
【酸性氧化物】能跟碱起反应,生成盐和水的氧化物。非金属氧化物多数是酸性氧化物,某些过渡元素的高价氧化物(如CrO3、Mn2O7等)也是酸性氧化物。酸性氧化物也叫酸酐,例如SO3叫硫酐,CO2叫碳酐。酸性氧化物对应的水化物是含氧酸,如SO3对应的水化物是H2SO4,CO2对应的水化物是H2CO3,SiO2对应的水化物是H2SiO3等。酸性氧化物多数能跟水直接化合生成含氧酸,少数酸性氧化物(如SiO2)不能直接跟水反应。酸性氧化物一般由非金属直接氧化或含氧酸、含氧酸盐受热分解制得。
【酸酐】简称酐。通常把由酸缩水而成的化合物称作酸酐。例如三氧化硫SO3为硫酐,可看作H2SO4分子缩去一个分子水而成;五氧化二磷(P2O5)为磷酐,可看作两个H3PO4分子缩去三个水分子而成;醋(酸)酐(CH3CO)2O,可以看作由两个醋酸CH3COOH分子缩去一个分子水而成。酸性氧化物也叫酸酐,但酸酐不一定是氧化物,例如醋酐。
【过氧化物】含有O22-基的氧化物。如Na2O2、BaO2、H2O2等均属于过氧化物。在O22-基中,氧原子跟氧原子以共价单键相结合,所以O22-也可以表示为[—O—O—]2-,O22-基中氧原子的氧化数为-1。过氧化物不稳定,有强氧化性。过氧化物能跟酸反应制取过氧化氢。
【超氧化物】含有O2-基的氧化物。如超氧化钾和超氧化铷(RbO2)等。O2-的结构如右图,含有一个未成对电子,具有顺磁性。中氧的氧化数是-1/2。超氧化物具有强氧化性,易分解放出氧气,超氧化物适用于高空飞行或其它需要携带氧气的地方。
【臭氧化物】含有的氧化物。如臭氧化钠(NaO3)和臭氧化钾(KO3)等,只有碱金属元素能形成臭氧化物。性质极不稳定,在常温下能自动分解,是一种极强的氧化剂。
【酸】电解质电离时所生成的阳离子全部是氢离子(H+)的化合物。它能和碱或碱性氧化物反应生成盐和水,能与某些金属反应生成盐和氢气,水溶液有酸味并能使指示剂变色,如紫色石蕊变红。根据酸分子中可被金属原子置换的氢原子数目,可分为一元酸(如HCl)、二元酸(如H2SO4)、多元酸(如H3PO4)等。根据酸在水溶液中产生氢离子程度的大小(即电离度的大小),可分为强酸(如HCl、H2SO4、HNO3、HClO4等)和弱酸(如H2CO3、H2S等)。根据酸根的组成成分又可分为含氧酸(如H2SO4)和无氧酸(如HCl)。此外,根据酸碱的质子理论和电子理论,还有质子酸和路易斯酸等,因而使得“酸”这个概念包括的范围极为广泛,而且又赋予它新的含义。
【酸根】酸分子里,除去在水溶液中能够电离生成的氢离子,余下的部分称为酸根。例如盐酸根(Cl-)、硫酸根(SO42-)、磷酸根(PO43-)、碳酸根(CO32-)和碳酸氢根(HCO3-)等。酸根离子所带的负电荷数等于电离时产生氢离子的数目。
【一元酸】见酸条。
【二元酸】见酸条。
【多元酸】见酸条。
【含氧酸】见酸条。
【无氧酸】见酸条。
【多酸】亦称聚多酸或缩多酸。两个以上的酸分子缩去水分子而成的酸,也可以看作是含有两个或多个酸酐的酸。含有相同的酸酐时称为同多酸(如焦硫酸H2S2O7),对应的盐称为同多酸盐(如焦硫酸钠Na2S2O7)。元素周期表中的ⅤB和ⅥB族元素是以最容易形成多酸为其特征的。含有不同的酸酐时称为杂多酸,如12-钨磷酸H3[P(W12O40)]·xH2O,对应的盐称为杂多酸盐,如12-钨磷酸钠Na3[P(W12O40)]。
【过氧酸】简称过酸。分子中含有过氧基(—O—O—)的酸。例如过硫酸H2SO5和过二硫酸H2S2O8等。过氧酸可以看成是H2O2中的氢原子被酸根取代的产物,有如下的衍生关系。

【碱】电解质电离时所生成的阴离子全部是氢氧根离子(OH-)的化合物。例如NaOH、Ca(OH)2、NH3·H2O等。能跟酸性氧化物或酸反应生成盐和水,碱的水溶液有涩味,可使紫色石蕊试液变蓝。根据碱的电离程度,可以分为强碱[如NaOH、Ca(OH)2]和弱碱(如NH3·H2O)。根据碱电离时产生的氢氧根离子的数目可分为一元碱)如NaOH)、二元碱[如Ca(OH)2]、多元碱[如Fe(OH)3]等。此外,根据酸碱的质子理论和电子理论,还有质子碱和路易斯碱,因而使得“碱”这个概念包括的范围极为广泛,而且又赋予它新的含义。
【一元碱】见碱条。
【二元碱】见碱条。
【多元碱】见碱条。
【苛性碱】碱金属氢氧化物的总称。一般指的是苛性钠(NaOH)和苛性钾(KOH)。由于它们对皮肤、羊毛、纸张、木材等具有强烈的腐蚀性而得名。
【盐】由金属离子(包括NH4+)和酸根阴离子组成的化合物。例如NaCl、(NH4)2SO4、Cu2(OH)2CO3、KHCO3等。在常温时,盐一般为晶体。它们在水中的溶解性各不相同,钾盐、钠盐、硝酸盐和铵盐很容易溶解;有些盐很难溶解,如AgCl和BaSO4等。铵盐和碳酸盐、硝酸盐、亚硝酸盐、重铬酸盐、高锰酸盐等含氧酸的盐稳定性较差,受热时可以分解。大多数盐是强电解质,其水溶液或熔液能够导电。但有些盐(如HgCl2)的水溶液几乎不导电,它在水溶液中主要以分子状态存在。根据组成的不同,盐可以分为无氧酸盐、含氧酸盐、正盐、酸式盐、碱式盐、复盐、络盐等。
【正盐】仅由金属离子(包括NH4+)和酸根阴离子组成的盐。组成中既不含可以电离的氢原子,又不含氢氧根离子。正盐可以看作酸与碱完全中和的产物。但正盐的水溶液不一定都是中性的,如果该盐可以水解,溶液一般不显中性,例如Na2CO3溶液呈碱性,(NH4)2SO4溶液呈酸性。
【酸式盐】由金属阳离子和含有可以电离的氢原子的酸根阴离子所组成的盐。例如NaHCO3、NaH2PO4等。酸式盐可以看作是多元酸中能电离的氢原子部分被中和的产物。酸式盐一般可由多元酸跟适量的碱或盐反应而得到,例如:
NaOH+H2S=NaHS+H2O
NaCl+H2SO4(浓)=NaHSO4+HCl↑
某些盐水解也可以生成酸式盐,例如:
![]()
酸式盐的水溶液不一定显酸性,如NaHCO3、Na2HPO4的水溶液呈碱性。
【碱式盐】除金属阳离子和酸根阴离子外,还含有一个或几个氢氧根的盐。例如Cu2(OH)2CO3、Mg(OH)Cl等。碱式盐可看作是多元碱中的氢氧根部分被中和的产物。有些碱式盐脱水后的产物也可称为碱式盐,如碱式氯化铋(BiO)Cl、碱式碳酸铋(BiO)2CO3等。碱式盐可以由多元碱跟适量酸反应来制取,例如,
Ba(OH)2+HCl=Ba(OH)Cl+H2O
某些盐水解也可以产生碱式盐,例如,
SnCl2+H2O=Sn(OH)Cl↓+HCl
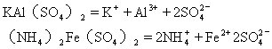
【复盐】又称重盐。两种或两种以上的不同的盐类所组成的晶形化合物。例如,明矾[KAl(SO4)2·12H2O]、硫酸亚铁铵[(NH4)2Fe(SO4)2·6H2O]等。复盐溶于水电离出的离子跟组成它简单盐所电离出的离子相同。例如:

【重盐】见复盐条。
【氢氧化物】元素跟氢氧根形成的无机物叫氢氧化物。也可以看作是碱性氧化物、两性氧化物和酸性氧化物所对应的水化物。化学通式是M(OH)n。通常系指金属氢氧化物。碱性氧化物对应的氢氧化物是碱,如NaOH、Cu(OH)2等,酸性氧化物对应的氢氧化物是酸,如H2SO4、H2CO3等,两性氧化物对应的氢氧化物是两性氢氧化物,如Al(OH)3、Zn(OH)2等。当元素M的化合价(+n)较高时,氧化物的水化物易脱去一部分水而变成含水较少的化合物,例如硫酸不是H6SO6而是脱去两个水分子后的H2SO4。M(OH)n型化合物在水溶液中有酸式电离和碱式电离两种电离形式,一般金属元素的氢氧化物进行碱式电离呈碱性;非金属元素的氢氧化物进行酸式电离呈酸性。还有一些元素的氢氧化物既可以进行酸式电离,又可以进行碱式电离,这类氢氧化物称为两性氢氧化物,例如Al(OH)3、Zn(OH)2等。它们遇强酸时发生碱式电离呈碱性,遇强碱时进行酸式电离呈酸性,Al(OH)3的两种电离形式如下:

【两性氢氧化物】见氢氧化物条。
三、物质的变化
【物理变化】物质的外形或状态发生改变而没有新物质生成的变化。物质发生物理变化时,仅改变了其物理性质(如聚集状态、密度、溶解度、电导率等),而不改变其化学组成和化学性质。例如水的蒸发和凝固、蔗糖溶解等。物质发生物理变化后,可以通过物理方法使它恢复到原来状态,例如液态水降低到
【化学变化】又称化学反应。是指在原子核组成不变的情况下生成新物质的变化。这是由于核外电子运动状态的改变而引起的物质组成的质变。例如碳的燃烧、铁生锈、石灰石受热分解等。化学变化以质变为其特征,同时还伴随有能量的变化,表现为反应过程常有放热、吸热等现象。有时反应结果出现变色、放出气体、生成沉淀等,这些现象有助于人们判断化学变化的发生。化学变化一般分为化合反应、分解反应、置换反应和复分解反应等。
【化学反应】见化学变化条。
【物理性质】物质本身的一种属性,不需要发生化学变化就表现出来的性质。例如状态、颜色、气味、密度、硬度、熔点、沸点、蒸气压、导热性、导电率、延性、展性等。这些性质都没改变物质的化学组成。
【化学性质】物质本身所具有的、只有在化学变化中才能表现出来的性质。例如酸性、碱性、氧化性、还原性、化学稳定性等。物质的化学性质主要决定于物质的组成和结构。例如,Na、Mg、Al的还原性依次减弱,是由于它们的最外层电子数目依次增多,原子半径依次减小,核电荷数依次增多,造成了它们在化学反应中失电子能力依次减弱。Na、Mg、Al的还原性只有在化学反应中才能表现出来。
【分解反应】化学反应的基本类型之一。是一种物质生成两种或两种以上物质的反应。例如:

在分解反应中,如果反应前后各元素的化合价保持不变,就属于非氧化-还原反应,如NaHCO3受热分解;如果有些元素的化合价发生改变,就属于氧化-还原反应,如电解水的反应。
【化合反应】化学反应的基本类型之一,是两种或两种以上的物质生成另一种物质的反应。例如:
![]()
在化合反应中,如果反应前后各元素的化合价保持不变,就属于非氧化-还原反应,如氧化钙与水化合;如果元素的化合价发生改变,就属于氧化-还原反应,如镁条在空气中燃烧。在化合反应中,反应物越活泼,生成物就越稳定,反应就越容易进行。
【置换反应】化学反应的基本类型之一,是一种单质跟一种化合物反应生成另一种单质和另一种化合物的反应。例如:
2Na+2H2O=2NaOH+H2↑
Fe+CuSO4=FeSO4+Cu
Cl2+2KI=2KCl+I2
在置换反应中,反应前后某些元素的化合价必定改变,因此置换反应都属于氧化-还原反应。置换反应中,按化学活动性顺序,较活动的金属能跟酸或盐反应,置换出较不活动的金属和氢气;较活动的非金属能与盐反应,置换出较不活动的非金属。
【复分解反应】化学反应的基本类型之一。是两种化合物互相交换成分生成另外两种化合物的反应。例如:
HCl+NaOH=NaCl+H2O
FeS+2HCl=FeCl2+H2S↑
AgNO3+NaCl=AgCl↓+NaNO3
在复分解反应中,反应前后元素化合价必定不变,因此复分解反应都属于非氧化-还原反应。从复分解反应的产物中有无气体、沉淀、弱电解质(如水)的生成,来判断反应是否能发生,只要生成物有气体、沉淀、弱电解质三者之一的,复分解反应就可以趋于完成。
【中和反应】酸和碱相互作用生成盐和水的反应。例如盐酸和氢氧化钠反应。
HCl+NaOH=NaCl+H2O
强酸和强碱的反应,实质上是酸中的氢离子与碱中氢氧根离子相互结合生成难电离的水分子的反应。
H++OH-=H2O
【水合反应】又称水化反应。物质跟水发生的化合反应。一般指分子或离子与水结合成水合物或水合离子的过程。例如,
CuSO4+5H2O=CuSO4·5H2O
H++H2O=H3O+
在有机化学中也指有机物分子中不饱和键(双键或三键)在催化剂作用下和水分子化合的反应。
【水化反应】见水合反应条。
【离子反应】电解质在溶液里所发生的离子间的反应。有两类情况:
⑴电解质在溶液里发生的离子互换反应,属于非氧化-还原反应,反应发生的条件是生成物之一是难溶物质,易挥发性物质或极难电离的物质,这类离子反应的特征一般是朝着减小离子浓度的方向进行。例如:
Ag++Cl-=AgCl↓
![]()
⑵属于氧化-还原反应的离子反应,例如:
Zn+2H+=Zn2++H2↑
Cl2+2I-=2Cl-+I2
![]()
这类离子反应的发生条件遵循氧化-还原反应规律。
【氧化反应】简称氧化。物质(分子、原子或离子)失去电子或电子偏离的反应。在氧化反应中物质所含的元素化合价(或氧化数)升高,这是判断氧化反应的依据。氧化反应和还原反应相伴而生。例如:

【还原反应】简称还原。物质(分子、原子或离子)得到电子或电子对偏近的反应。在还原反应中物质所含的元素化合价(或氧化数)降低,这是判断还原反应的依据。还原反应和氧化反应相伴而生。参见氧化反应。
【氧化-还原反应】物质发生电子转移(或电子对偏移)的反应。在氧化-还原反应里,一种物质失去电子(或电子对偏离),必然同时有另外的物质得到电子(或电子对偏近),而且得失电子的总数相等。在氧化-还原反应里氧化和还原总是同时发生的。反应前后元素的化合价(或氧化数)发生变化是氧化-还原反应的特征。例如:

【氧化剂】在氧化-还原反应中得到电子(或电子对偏近)的反应物。在反应中氧化剂中元素的化合价(或氧化数)降低。氧化剂能氧化其它物质而自身被还原,例如:
![]()
Cl2是氧化剂,在反应中获得电子,化合价(或氧化数)降低,将FeCl2氧化成FeCl3而Cl2自身被还原成Cl-。氧化剂通常是指容易获得电子的物质,常见的有:
⑴活泼的非金属单质、如氧、氯、溴等。
⑵具有高化合价(氧化数)的金属离子,如Fe3+、Sn4+等。
⑶含有高化合价(氧化数)元素的含氧化合物,如KMnO4、K2Cr2O7、MnO2、KClO3、HNO3、H2SO4(浓)、PbO2等。
⑷过氧化物,如H2O2、Na2O2、BaO2等。
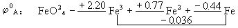
根据氧化剂获得电子的难易程度,可分为弱氧化剂和强氧化剂,定量地判断氧化剂氧化能力的大小,应依据氧化剂及其还原产物所构成的氧化还原电对的标准电极电位E0值来确定,E0值越正,表明氧化剂的氧化能力就越强。
【还原剂】在氧化-还原反应中失去电子(或电子对偏离)的反应物。在反应中还原剂中元素的化合价(或氧化数)升高。还原剂能还原其它物质而自身在反应中被氧化。还原剂通常是指容易失去电子的物质,常见的有:
⑴活泼金属,如钠、钾、镁、铝、铁等。
⑵具有低化合价(氧化数)的金属离子,如Fe2+、Sn2+等。
⑶非金属离子,如I-、S2-等。
⑷含有低化合价(氧化数)元素的含氧化合物,如CO、SO2、Na2SO3、Na2S2O3、NaNO2等。
根据还原剂失去电子的难易程度,可分为弱还原剂和强还原剂,定量地判断还原剂还原能力的大小,应根据该还原剂及其氧化产物所组成的氧化还原电对的标准电极电位E0值来确定,E0值越负,表明该还原剂的还原能力越强。
【氧化性酸】一般指中心原子获得电子显示氧化性的酸。如浓硫酸、硝酸、氯酸、高氯酸、高锰酸、重铬酸等,其中心原子在氧化-还原反应中容易获得电子而显示氧化性,可用作氧化剂。任何酸的水溶液中都不同程度地电离出H+,H+在一定条件下可获得电子而形成H2,这也是酸的氧化性的表现,实质上是H+的一种性质。应该与酸的中心原子获得电子所呈现的氧化性区别开来。通常把盐酸、稀硫酸等称作为非氧化性酸。
【歧化反应】也称自身氧化-还原反应。是氧化-还原反应的一种类型。在歧化反应中,同一种元素的一部分原子(或离子)被氧化,另一部分原子(或离子)被还原。这是由于该元素具有高低不同的氧化态,在适宜的条件下向较高和较低的氧化态转化的缘故。例如:

【自身氧化-还原反应】见歧化反应条。
【非氧化-还原反应】反应过程中,反应物的原子或离子不发生氧化数变化的反应,例如复分解反应和络合反应等(参见氧化-还原反应条)。
【燃烧】伴有发光放热现象的剧烈氧化反应。燃烧可分为完全燃烧和不完全燃烧两种,燃料不完全燃烧的产物往往会造成对大气的污染,还会降低热能的利用率,因此要设法使燃料燃烧完全。一般将固体燃料粉碎,液体燃料喷成雾状来增加和空气的接触机会,同时采取通风等措施,以提高燃料的利用率。
【着火点】又称燃点。物质开始着火时的温度。物质燃烧前,必须加热到着火点,物质开始燃烧后,释放出热量,就不需要再从外界获得热量。固体燃料的着火点不是固定不变的,一般颗粒越细,表面积越大,着火点就会降低,如炭粉与炭块的着火点是不同的;液体燃料的着火点与燃料雾化程度有关。纯气体燃料在常压下的着火点是一定的,如一氧化碳的着火点为
【燃点】见着火点条。
【闪点】又称内燃点。表示可燃性液体性质的指标之一。是液体表面的蒸气和空气的混和物与火接触初次发生蓝色火焰闪光时的温度。用标准仪器测定闪点,仪器有开杯式和闭杯式两种,一般前者用于测定高闪点液体的闪点,后者用于测定低闪点液体的闪点。闪点比着火点的温度低些。可燃性液体的闪点和着火点表示其发生爆炸或火灾的可能性大小,这对可燃性液体的运输、储存和使用的安全等有极大的关系。
【闪燃点】见闪点条。
【缓慢氧化】是氧化反应的一种形式。反应过程比较缓慢,不象燃烧那样剧烈地放热发光。例如铁生锈、呼吸作用、食物的腐败等,都是缓慢氧化的实例。
【自燃】由缓慢氧化而引起的自发燃烧。可燃物在缓慢氧化过程里也产生热量,在某种情况下热量不易散失,以致越积越多,温度逐渐升高,达到那种可燃物的着火点时不经点火就会自发地燃烧起来。例如稻草、麦杆、煤屑、沾有油的布等大量堆积在不通风的地方都有可能自燃。
【爆炸】物质发生的变化不断急剧增速并在极短时间内放出大量能量的现象。爆炸主要由化学反应或核反应所引起。爆炸发生时,温度和压力突然升高,产生爆破作用或推动作用。爆炸广泛应用于开矿、筑路、推动发动机等。某些可燃物在有限空间里发生急速燃烧的时候,常会发生爆炸。所以油库附近和面粉工厂都严禁烟火。
【爆炸极限】指一种可燃气体、蒸气或粉末和空气的混和物能发生爆炸的浓度范围。例如空气中混有氢气、汽油蒸气、面粉等时,在一定浓度范围内,遇到火花就会使火焰蔓延而发生爆炸。其最低浓度称为下限(或低限),最高浓度称为上限(或高限),浓度低于或高于这一范围,都不会发生爆炸。爆炸极限通常用可燃性物质在爆炸混和物中体积百分比表示,例如氢气的爆炸极限为4.1~74.2%,4.1%为下限,74.2%为上限。有时也用每立方米混和物中所含可燃性物质的质量(克)来表示,这种表示方法,大多用于可燃性粉尘的爆炸极限,例如铝粉的爆炸极限为
【火焰】可燃性气体燃烧时所发生的现象。是燃烧的一种特殊情况,火焰是指气态可燃物在燃烧时形成的一个发光、放热的区域。液态或固态可燃物在燃烧时,如能先变成气体,燃烧时也会有火焰生成。
火焰可分为三个部分:
⑴内层,带蓝色,因供氧不足,燃烧不完全,温度低,有还原作用,称为内焰或还原焰;
⑵中层,明亮,温度较内层高;
⑶外层,无色,因供氧充足,燃烧完全,温度最高,有氧化作用,称为外焰或氧化焰。
对有灯芯的火焰,如蜡烛和酒精灯火焰则可分为:
⑴焰心,中心黑暗部分,由能燃烧但还未燃烧的气体(蒸气)所组成;
⑵内焰,包围焰心的最明亮部分,是气体未完全燃烧的部分,含有碳粒子(或其它固体粒子),被灼热发出强光,并有还原作用,也称还原焰;
⑶外焰,最外面几乎无光的部分,是气体完全燃烧的部分,含有过量而强热的空气,有氧化作用,也称氧化焰。
【氧化焰】见火焰条。
【还原焰】见火焰条。
【吸附】固体或液体表面对气体或溶质的吸着现象。由于分子间作用力相互作用而产生的吸附为物理吸附,如活性炭对气体的吸附。物理吸附一般在常温下发生,吸附速度快,吸附热小,吸附无选择性。由于化学键的作用而产生的吸附为化学吸附,如镍催化剂吸附氢气,化学吸附有化学键的破坏与生成,放出的吸附热较大,所需的活化能也较大,化学吸附需在高温下进行,并有选择性。
【物理吸附】见吸附条。
【化学吸附】见吸附条。
【吸附质】被吸附剂所吸附的物质。例如,在制糖工业中,常利用活性炭的吸附作用来脱色,被吸附的有色物质即为吸附质。
【吸附剂】通常指对气体或溶液中的微粒具有吸附作用的固体物质。一般要求具有较大的吸附表面和选择性吸附的能力。如活性炭、硅胶、活性氧化铝、硅藻土等都是常用的吸附剂。明矾水解生成的氢氧化铝胶体,也可看作是吸附剂。
【解吸】是与气体的吸附或吸收相反的过程。如用活性炭吸附二氧化氮后,当加热或降低压力时可使二氧化氮逸出。
【风化】在室温和比较干燥的空气里,结晶水合物失去一部分或全部结晶水,使原有结晶形状转变或破坏的一种现象。例如,在室温时,碳酸钠晶体(Na2CO3·10H2O)放在干燥空气里,会逐渐失去结晶水变成粉末。
【潮解】某些晶体自发地吸收空气里的水蒸气,在其表而逐渐形成饱和溶液的现象。例如无水氯化钙、氯化镁和固体氢氧化钠在空气中潮解。潮解是由于该化合物饱和溶液的蒸气压低于同温下空气中的水蒸气的分压。因而不断吸收水分而潮解。
【结晶水】许多物质从水溶液中形成晶体析出时,晶体里常结合一定数目的水分子。这样的水分子叫做结晶水。如胆矾(CuSO4·5H2O)中就含有结晶水。
【结晶水合物】含有结晶水的物质叫做结晶水合物。又称水合物、水化物。如绿矾(FeSO4·7H2O)、二水合硫酸(H2SO4·2H2O)、六水合氯化铁(FeCl3·6H2O)等。除水合离子外,结晶水合物大多是晶态物质。结晶水合物在受热时会失去结晶水,并有显著的吸热效应。
【重结晶】又称再结晶。将晶体溶解或熔化,然后又重新从溶液或熔体中结晶出来的过程。重结晶可减少或除去晶体中的可溶性杂质,是提纯物质的一种重要方法。重结晶还可以细化晶粒,是改变某些金属和合金的晶体结构以改善其性能的一种方法。
【再结晶】见重结晶条。
【沉淀】由于化学反应而生成溶解度较小的物质从溶液中析出的过程。也指沉淀过程中析出的固体物质。在化学实验和生产实践中广泛地应用沉淀方法进行物质的分离。例如沉淀法是定量分析中的一种重要的分离方法。
【陈化】沉淀析出以后,让初生的沉淀与原溶液在一起继续放置一段时间的过程。经过陈化作用,可以使微小的晶体溶解,而较大的晶体长得更大,使沉淀颗粒变大,易于过滤,而且变得较为纯净,但是,当溶液中有混晶共沉或伴随有后沉淀时,则不一定能提高沉淀的纯度。
【过滤】一种分离含有不溶性固体的液体或气体混和物的操作。一般用普通玻璃漏斗、布氏漏斗、热过滤漏斗做为过滤器,用滤纸、滤布、砂层做为过滤介质,将混和物进行过滤,得到的澄清液体称滤液,留在过滤介质上面的固体颗粒叫滤渣。有常压过滤、减压过滤和热过滤等方法。过滤在科研与生产中有广泛的应用。
【蒸馏】利用液体混和物中各组分的沸点不同,以分离各个组分、纯化物质的一种操作。将混和物加热至沸腾,使其中某种组分气化,然后将其蒸气冷凝为液体。蒸馏可使原混和物中各组分得到部分或完全分离。蒸馏的方法很多,有简单蒸馏、真空蒸馏、精馏、恒沸蒸馏等。主要用于物质的精制和混和物的分离。例如清除天然水中的杂质制取蒸馏水等。
【蒸发】在液体表面发生的气化现象。在任何温度下都能进行蒸发。蒸发时,液体必须从其周围吸收热量,所以温度愈高,蒸发愈快。各种液体的挥发度不同,因而在相同条件下,各种液体的蒸发速度不同,例如乙醇的蒸发速度比水快,海水中水的蒸发速度比淡水慢。在生产中,蒸发是指在对溶液加热过程中,一部分溶剂气化,使溶液浓缩或使溶质析出晶体的过程。蒸发的必需条件是不断地供给热能和不断地排除气化了的蒸气。为了加快蒸发的速度,可采用沸腾蒸发、减压蒸发等。
【分馏】又称精馏,是蒸馏方法的一种。在一个设备内同时进行多次部分气化和部分冷凝,以分离液体混和物的组分。适合于沸点相差很小的互溶的两种或两种以上的液体组分所组成的混和物的分离,例如石油的分馏。操作时,使液体混和物在蒸馏釜中加热蒸发,蒸气进入分馏塔,部分冷凝回流,使与从蒸馏釜连续上升的蒸气密切接触,可得到与重复简单蒸馏若干次相当的效果,从而提高了各组分的分离程度。分馏可同时得到几种馏出液。
【干馏】固体燃料的热化学加工方法之一。如煤、木材、油页岩等在隔绝空气下加热,使之分解生成固态的焦炭、液态的焦油和气态的煤气等产物。根据加热的最终温度,一般可分为高温干馏(约900~1100℃)、中温干馏(约660~750℃)和低温干馏(约500~580℃)。
【稀释】加溶剂于溶液中以降低溶液浓度的过程。稀释时常有放热或吸热现象发生,称为稀释热。
【浓缩】减少溶液中溶剂的量以提高溶液浓度的过程。浓缩是常用的脱水作业之一。有时,在浓缩过程中,液体中的溶质析出发生沉淀,以利于进一步的脱水(过滤或干燥)。
【脱水】从物质中除去水分的过程。一般有三种不同的方式:
⑴除去或降低物料中的不定量的水分,例如食物的脱水。
⑵除去结晶水合物中的结晶水,例如胆矾加热得到无水硫酸铜和水。
⑶在脱水剂或催化剂存在下,使化合物分子中(或分子间)的羟基和氢原子以水的形式脱去,例如乙醇在浓硫酸作用下,加热到

![]()
【脱水性】能使有机化合物分子中的羟基与氢原子以水分子形式脱去的性质。例如浓硫酸与甲酸混和加热时,甲酸脱水生成一氧化碳和水,因此浓硫酸有脱水性。
![]()
【吸水性】能除去或减少物质中所含不定量的湿存水的性能。例如浓硫酸、碱石灰能吸收空气中的水分,因此浓硫酸具有吸水性。
【干燥】指除去附在固体、气体或混在液体内的游离水(或溶剂)的过程。可采用干燥剂、加热、减压等方式来干燥。
【干燥剂】能吸收潮湿物质中不定量的湿存水的物质。通常有两类:
⑴化学干燥剂,吸收水分时伴随有化学反应发生,如无水氯化钙、浓硫酸、碱石灰等。
⑵物理干燥剂,吸收水分而无化学反应发生,如硅胶吸收空气中的水分。
不同干燥剂的干燥能力不同,测定办法是:先把被水蒸气饱和的空气在
【萃取】利用不同的物质在选定的溶剂中溶解度的不同,分离混和物中的组分的方法。习惯上指用溶剂分离液体混和物中的组分,即液-液萃取(又叫溶剂萃取);也可用溶剂分离固体混和物中的组分,即固-液萃取(又叫浸取)。液-液萃取是定量分析中分离方法的一种,主要用于元素的分离和富集。
【萃取剂】萃取所用的溶剂。必须具备对液体或固体混和物中的组分具有选择性溶解的能力。同时应具有较好的热稳定性和化学稳定性,以及较小的腐蚀性和毒性。例如,碘的水溶液用四氯化碳萃取,极大部分的碘进入四氯化碳层而与其它物质分离。四氯化碳为萃取剂。
【分配定律】溶质同时分别溶解在两种互不相溶或几乎互不相溶的混和液体中,它在两种液体中的浓度比等于它在两种液体中的溶解度之比。利用这个规律可以用一种溶剂把另一种溶液中的溶质萃取出来。如用跟水不相溶的四氯化碳作溶剂,可以从碘水中把碘萃取出来。
【凝华】气态物质不经过液态而直接凝结为固态的过程。如水蒸气能直接凝结于物体表面成为霜,硫蒸气遇冷直接生成硫华。凝华时有热量放出。
【升华】固体不经过液态直接转变成为气态的过程。在三相点以下的任何温度,当外界压力低于该物质平衡蒸气压时,固体就会升华。例如,在气温低于
【钝化】某些金属经化学方法(如跟强氧化剂反应)或电化学方法(如阳极氧化)处理,由活泼态变为不活泼态(即钝态)的过程。由于钝化后,金属表面形成致密的氧化物保护薄膜,因而不易腐蚀。例如,铁能溶于稀硝酸,但铁在浓硝酸中浸过后,因铁钝化不再溶于稀硝酸。
【化学腐蚀】由于金属跟它周围的物质直接起化学反应,从而造成金属被腐蚀的过程。在化学腐蚀中,跟金属起化学反应的多是氧气、硫化氢、二氧化硫等气体,生成相应的氧化物和硫化物等。有些金属,由于化学腐蚀的结果常在表面上形成一层致密的薄膜,从而保护了金属不再继续被腐蚀。如铝在空气中很快被氧化,表面形成一层致密Al2O3薄膜,起到了保护金属的作用。
【气焊】使乙炔(或其它可燃气体)在氧气不足的情况下燃烧:
![]()
产生具有还原性的一氧化碳和氢气,它们继续与氧化合产生二氧化碳与水,伴随着产生高温,使金属焊条熔化填满缝隙而使金属焊接起来。火焰的还原性对焊接金属极为有利,防止在焊接时金属被氧化,使焊缝被氧化物沾污而造成焊接不牢的现象发生。
【气割】利用氧炔焰加热时使用过量的氧气,让熔化的金属进而被氧化,在工作物上形成一条割缝,从而将金属割断。过量的氧气是从附加的另外一个氧气吹管里吹出的。
【固氮】使空气中游离的氮气转变为含氮化合物的过程。如工业上在高温、高压和催化剂作用下,将氮气和氢气合成氨;土壤中的固氮菌在常况下,靠固氮酶的作用,将空气中的氮还原为氨;自然界的雷电作用使氮气转化为一氧化氮,并进一步氧化为二氧化氮等。科学上关于模拟生物固氮的研究,将为人工固氮开辟新途径。
【漂白】除去纤维纺织材料和纸浆等中所含有色物质的过程。通常是氧化作用,有时是还原等其它作用。漂白棉、麻、人造纤维和纸浆时,一般用漂白粉、漂白精、次氯酸钠、亚氯酸钠和过氧化氢等。漂白蚕丝和羊毛,可用过氧化氢,有时也用二氧化硫,但漂得的白色物质不够稳定,容易发黄。对油脂的漂白通常采用漂白土,其实质是吸附脱色作用,也称为漂白。
【光化反应】见光化作用条。
【光化作用】又称光化反应。物质由于光(一般为可见光或紫外线)的作用而引起的化学反应。例如,碳水化合物的合成,染料在空气中褪色,胶体的感光作用等,范围很广泛,可能是化合、分解、氧化-还原等化学反应,主要分光合作用和光解作用两类。
【光合作用】光化作用的一种。一般指二氧化碳和水,在日光照射下,借植物叶绿素的帮助,吸收光能合成碳水化合物的过程。可以表示如下:
![]()
有时也包括在光的作用下,合成蛋白质、脂肪等有机物的过程。
【光解作用】光化作用的一种。物质由于光的作用而分解的过程。例如碘化氢在紫外线的照射下,吸收光能分解成碘和氢气,卤化银、浓硝酸见光分解等。
【蜕变】原子核自发地放射出一个α或β粒子、同时自身转变为另一种原子核的过程。常称为α衰变或β衰变。
【核反应】某种微观粒子与原子核相互作用时,使核的结构发生变化形成新原子核,并放出一个或几个粒子的过程。重核可以发生裂变。历史上第一个人工核反应是由卢瑟福在1919年实现的,他用α粒子(42He)轰击氮,产生了以下反应:
![]()
现在利用各种加速器和原子反应堆,已经实现了上万种核反应,由此获得千余种放射性同位素和各种分子、超子、反质子、反中子等基本粒子。任何核反应都遵从能量、动量、质量和电荷等守恒定律。这方面的研究对于了解原子核的结构,基本粒子间的相互作用,以及探索新的能源等方面都有重大意义。
【裂变】质量较大的重核分裂为两个质量相近的中等质量核的同时,还可能放出中子的过程。因重核的核子平均结合能比中等核的核子结合能小,所以上述过程将释放出一部分结合能。裂变有自发和人工两种。前者是重核不稳定的表现,但由于半衰期长,释放功率小。例如铀238的半衰期为1016年,故其释放的能尚无实用价值。人工裂变的反应速度可以控制,所释放的原子能可以利用。原子反应堆即为一种能源设施。
【聚变】质量较小的核聚合成质量较大的核,同时放出光子的过程。因为轻核的核子平均结合能比质量较重核的核子平均结合能大,所以上述过程将释放出一部分结合能。聚变有自发和人工两种。由于参与发生聚变反应的轻核必须相互接近到核力作用范围以内,在自然条件下,如太阳等恒星内部的温度极高,轻核具有足够大的动能以克服库仑斥力使聚变得以持续进行。在人工条件下,聚变可在爆炸或高能粒子碰撞中实现。人工控制的核聚变过程尚处在研究阶段。
【热核反应】在极高温度下进行的核聚变反应。当聚变材料达到极高温度时,聚变反应可自动进行,从而得到可以利用的能量,太阳和其它恒星中进行着热核反应。氢弹爆炸是人工热核反应。受控热核反应正在研究阶段。
四、物质结构、元素周期律
【原子】由希腊词义“不可分”衍化来的。原子是元素能够存在的最小单位,是化学变化中的最小微粒。原子是由原子核和核外电子组成的。原子核由质子和中子组成。在化学反应中,只是核外电子发生了变化,原子核的组成并没有改变。在核反应中,原子核发生了变化,原子变成了其它元素的原子。
【原子核】由质子和中子组成的带正电荷的微粒。原子核所带的正电荷数(核电荷数)等于核内质子数。原子的质量主要集中在原子核上,原子核的体积只占原子体积的几千亿分之一。原子核内的质子和中子由结合能结合在一起。
【质子】原子核的组成部分,是原子核中带正电荷的基本粒子。元素的原子序数就是核内的质子数。质子的质量是1.67265×10
【中子】原子核中不带电的基本粒子。质量是1.67495×10-
【电子】原子中带负电的微粒。质量是9.11×10
【基本粒子】泛指比原子核还小的物质单元。包括光子、电子、质子、中子以及在宇宙射线和高能物理实验中发现的一系列粒子。现已发现的基本粒子有几百种,并分为轻子(如电子、正电子、中微子等)和强子(如质子、中子、介子等)两大类。许多基本粒子都有对应的反粒子。
【反粒子】许多基本粒子如电子、质子、中子、中微子、介子、超子等,都有对应的正电子、反质子、反中子、反中微子、反介子、反超子等,这些对应的粒子总称为反粒子。
【亚原子粒子】指小于原子的粒子,即基本粒子或原子核。
【原子实】原子中,原子核及除价电子以外的内层电子组成原子实。例如,钠Na的核外电子排布为:1s22s22p63s1,其中第1、2电子层与原子核组成原子实,此原子实与氖Ne(1s22s22p6)的结构相同,钠的核外电子排布也可写作[Ne]3s1。钾K的电子排布为:1s22s22p63s23p64s1,也可写作[Ar]4s1。铜Cu为:1s22s22p63s23p63d104s1,也可写作[Ar]3d104s1。
【原子半径】通常指以实验方法测定的相邻两同种原子的核间距离的一半。原子的大小无严格边界,无法精确测定一个单独原子的半径。目前所使用的原子半径数据只有相对的、近似的意义。根据测定的方法不同,有三种原子半径数据:
⑴共价半径:同种元素的两原子以共价键结合时,两核间距离的一半,称该元素原子的共价半径。
⑵金属半径:金属晶体中,相邻两原子核间距离的一半,称该元素原子的金属半径。
⑶范德华半径(简称范氏半径):在分子型晶体中,不属于同一分子的两个最接近的相同原子核间距离的一半,称该元素原子的范氏半径。
一般说来,各元素的金属半径比共价半径略大,而范德华半径则比共价半径大得多。
【氢光谱】指氢原子的线状光谱。装有氢气的放电管,通过高压电流,氢分子分解为原子并受到激发,激发态氢原子中的电子,由高能级跃迁回低能级时,以发光形式释放能量。这种光通过棱镜时,可以看到几条分立的波长不同的谱线,即氢光谱。1913年丹麦物理学家玻尔(Bohr)首先用量子概念解释了这一现象。
【玻尔理论】由丹麦物理学家玻尔在1913年提出的阐明原子结构的初步理论。它的基础是两个基本假设:
⑴核外电子沿一定轨道绕核运转,在稳定轨道上运动的电子不放出能量,也不吸收能量;
⑵在一定轨道上运动的电子都具有一定的能量,这些能量具有量子化的特征,只能取某些由量子化条件决定的分立数值。这些不连续的能量状态称为电子的能级。
玻尔理论冲破了经典物理学中能量连续变化的束缚,大胆地把量子概念引进原子结构理论,解释了用经典物理学无法解释的氢原子结构与氢光谱的关系。但玻尔理论未能认识电子运动的另一重要特征——玻粒二象性,未能完全摆脱经典物理学的束缚,以致认为核外电子运动也象宏观物体那样具有固定的轨道,在解释多电子原子的光谱时,遇到了难以解决的困难。这些问题直到量子力学建立后,才得到解决。
【玻尔轨道】玻尔理论中电子绕核运行的许多分立的轨道。在一定轨道上运动的电子都具有一定的能量,也称作能级。电子从外层轨道向内层轨道跃迁时,以发光形式释放能量,其能量变化具有量子化的特征。
【玻尔半径】在玻尔理论中,它是氢原子处于基态时,电子沿圆形轨道绕核运行的半径,其值为5.29177×10
【基态】微观粒子系统(如原子、原子核、或其它多粒子体系等)所具有的各种状态中能量最低的状态。此种状态为最稳定的状态。
【激发态】微观粒子系统当其内部能量高于基态能量时所处的运动状态。原子获得能量(如吸收光子)可处于激发态。激发态原子是不稳定的,一般将通过发射光子或与其它粒子发生作用而回复到基态。
【测不准原理】由德国物理学家海森堡(Heisenberg)提出。他认为微观粒子的某些成对的物理量不可能同时具有确定的数值,如位置和动量之间有以下测不准关系:
![]()
式中△x是确定位置的测不准量,△px是确定动量的测不准量,h是普朗克常数。上式表明,微观粒子位置测定得愈准确(△x愈小),则动量测定的准确程度就愈差(△px愈大),两者乘积大于或等于h/4π,反之亦然。时间和能量也服从测不准关系,它的意义是微观粒子存在于某一能量状态的时间愈短,则这一能量的确定程度愈差。
【测不准关系】见测不准原理条。
【波粒二象性】微观粒子的基本属性之一。它们有时显示出波动性(这时微粒性不显著),有时又显示出微粒性(这时波动性不显著),这种在不同条件下分别表现为波动性和微粒性的特征称为波粒二象性。1905年爱因斯坦(Einstein)提出的光子学说阐明了光的这一特征。1924年德布罗意(deBroglie)提出电子和其它实物粒子也具有波粒二象性的假说,这在1927年被实验证实。从此,在科学上就认为一切微观粒子都具有波粒二象性。粒子的质量或能量愈大,波动性愈不显著。所以,可认为宏观物体不具有波动性。
【德布罗意波】由法国物理学家德布罗意(Louis Vi-ctor de Broglie)在1924年首先提出。他把当时已发现的光具有波粒二象性这一事实加以推广,预言一切微观粒子都具有波粒二象性,并提出著名的德布罗意公式:
λ=h/mv
式中λ为与质量为m,运动速度为v的实物微粒相应的波长。德布罗意波又称物质波。
【德布罗意公式】见德布罗意波条。
【量子】微观世界的某些物理量不能连续变化,只能以某一最小单位的整数倍发生变化,这个最小单位就称为该物理量的量子。例如,物质吸收或发射的能量只能是某一最小能量单位的整数倍,其能量量子的大小为hv(v为幅射频率,h为普朗克常数)。光的能量变化也具有量子化的特征,光的能量量子(光子或光量子)的大小也是hv。
【量子化】见量子条。
【量子论】量子力学的先驱,又称旧量子论。从普朗克在物理学中提出量子概念(1900年)开始,特别是在玻尔提出氢原子结构理论(1913年)后发展起来的。它在解释微观粒子运动中,引进了运动具有量子特征的条件,但未能完全摆脱经典物理学的束缚。它是探索微观粒子运动的初步理论,它的进一步发展导致量子力学的建立。
【量子力学】研究微观粒子(电子、质子、中子、原子、分子等)运动规律的理论,是现代物理学的基础理论之一。它是法国物理学家德布罗意、奥地利物理学家薛定谔(Erwin Schr
dinger)、德国物理学家海森堡等人逐步建立和发展起来的。薛定谔方程是量子力学中描述微观粒子运动规律的基本方程,量子力学的建立对科学的发展有重要意义,它标志着人类对物质的认识从宏观世界进入到微观世界。
【薛定谔方程】量子力学中研究微观粒子的基本方程,由奥地利物理学家薛定谔(Erwin Schr
dinger)提出:
![]()
式中x、y、z为微观粒子(如电子等)的空间坐标,E是总能量,即电子的动能和势能之和,V为总势能,m是微观粒子的质量,h是普朗克常数,ψ是波函数。这一方程在量子力学中的地位就好象牛顿定律在经典力学中的地位同样重要。
【波函数】量子力学中表征微观粒子或其体系运动状态的函数。在原子中核外电子的运动状态就是用波函数ψ来描述的。ψ是薛定谔方程的解,是一个函数式。微观粒子(如电子)在空间某点出现的几率密度,跟波函数绝对值的平方│ψ│2成正比。
【原子轨道】在量子力学中是波函数的同义词。是指n、l、m(见主量子数、角量子数、磁量子数)具有一定值的波函数。每一个原子轨道都有一个相应的波函数。原子轨道又称原子轨道函数或原子轨函。
【原子轨函】见原子轨道条。
【几率】在数学上也称为“概率”、“或然率”。用来表示随机事件发生的可能性大小的一个量。必然发生的事件的几率为1,不可能发生的事件的几率为0,而一般随机事件发生的几率是在0与1之间(或0与100%之间)的一个数。因此,几率也可理解为“机会”的百分数。在现代原子结构理论中,常用来说明原子中核外电子在空间某处出现机会的多少。
【几率密度】指空间某处单位体积中出现的几率。在空间某一点,微观粒子(如电子等)出现的几率密度正比于波函数的绝对值的平方。在原子结构理论中,常用来说明原子中的电子在核外空间某处单位体积里出现机会的多少。
【电子云】是电子在核外空间出现几率密度分布的形象化描述法。也就是波函数的绝对值的平方│ψ│2在空间的分布的描述。电子云用小黑点表示,小黑点稠密的地方表示几率密度大,小黑点稀疏的地方表示几率密度小。电子云有时也用界面图表示,电子云的界面是一个等密度面,电子在界面以内的几率很大,而在界面以外的几率可以忽略不计。
【主量子数】表示电子在原子中运动状态的四个量子数之一,符号是n,是确定电子能量的主要量子数。它的取值是1、2、3、……等正整数,一般随着n值的增大,电子的能量随着增加,离核的平均距离也相应增大。在一个原子内,具有相同主量子数的电子,差不多在同样的空间范围内运动,所以,习惯上称主量子数相同的电子为一个电子层(或处于同一电子层)。常用K、L、M、N、O、P等符号分别表示n=1,2,3,4,5,6等电子层。
【电子层】见主量子数条。
【角量子数】表示电子在原子中运动状态的四个量子数之一,符号是l,是代表角动量的量子数,确定电子云的形状。当n值一定时,l只能取0,1,2,3……(n—1)等值。当l=0时,电子云的形状是球形对称的,用符号s表示,也称s亚层;当l=1时,电子云呈哑铃形,用符号p表示,也称p亚层;当l=2时,电子云常呈四瓣形,用符号d表示,也称d亚层;当l=3时,用符号f表示,也称f亚层,电子云形状更为复杂。在n=1的电子层中,l=0,只有一个亚层即1s亚层; n=2时, l=0,1,这时有两个亚层,即2s, 2p亚层;n=3时,l=0,1,2,这时有三个亚层,即3s,3p,3d。依此类推可知各电子层具有的亚层数目和种类。
【电子亚层】见角量子数条。
【磁量子数】表示电子在原子中运动状态的四个量子数之一,符号为m,确定电子云在空间的取向,是代表角动量在磁场方向的分量的量子数。当角量子数l值一定时,磁量子数m的取值为0,±1,±2,±3……±l,即有(
【等价轨道】又称简并轨道,指能量相等的原子轨道。例如n=2时的三个p轨道,2px,2py,2pz;其它如在主量子数相同时的五个d轨道,七个f轨道等,都是等价轨道。
【简并轨道】见等价轨道条。
【自旋量子数】表示电子在原子中运动状态的四个量子数之一,符号为ms,确定电子的自旋方向,是代表电子自身相反的两种运动的量子数。它仅有+1/2和-1/2两个取值。电子的两种相反自旋状态用箭头“↑”和“↓”表示。
【能级】微观粒子系统在定态中只能处于一系列不连续的、分立的能量状态。按这些状态的能量由低到高加以排列即组成能级。在原子体系中,能级的高低主要由主量子数决定,但在多电子原子中又会出现能级交错现象(见能级交错)。在分子轨道理论中,认为原子轨道组成分子轨道,分子轨道也按能量分为若干能级。
【屏蔽效应】在多电子原子中,将其它电子对某个指定电子的排斥作用归结为,核电荷吸引电子的作用受到抵消,这种效应叫屏蔽效应。这样,对指定电子来说,它所受到核的作用,可以看成是具有核电荷(Z—σ)的核的作用。Z是核电荷,σ是屏蔽常数,(Z—σ)是有效核电荷。一般说来,内层电子对外层电子的屏蔽效应较大,同一层电子之间屏蔽效应较小;外层电子对内层电子的屏蔽效应很小,可忽略不计。
【有效核电荷】见屏蔽效应条。
【钻穿效应】在多电子原子中,在核附近出现几率较大的电子,可以较好地避免其他电子的屏蔽作用,受到较大的有效核电荷的吸引,因而能量较低。这种现象称为钻穿效应。钻穿效应主要是由于电子出现的几率径向分布不同形成的。钻穿效应不仅能解释n相同,l不同时轨道能量的高低;而且可以解释当n和l都不同时,有的轨道发生的能级顺序交错的现象。
【能级交错】在多电子原子中,当原子处于基态时,主量子数较大的某些轨道的能量反而低于主量子数较小的某些轨道的能量的现象。例如,从第4周期开始,4s轨道能量反比3d轨道能量低,按能量最低原理,电子应先填充4s轨道,然后再填充3d轨道。产生能级交错的原因比较复杂,可能跟屏蔽效应、钻穿效应及其它影响轨道能量的因素有关。
【泡利不相容原理】1925年由奥地利物理学家泡利(Pauli)提出。原理指出,在同一原子中不可能有四个量子数完全相同的电子,即每个原子轨道最多只能容纳两个电子,并且这两个电子的自旋必须相反。从而可得出,第n层电子最多能容纳的电子数是2n2个。
【能量最低原理】在不违背泡利原理的情况下,核外电子总是尽先排布在能量最低的轨道上,只有当这些轨道占满后,电子才依次进入能量较高的轨道。在多电子原子中,电子能量的高低与主量子数n和角量子数l有关。当n≥3时,出现能级交错现象(见能级交错)。
【洪特规则】也称等价轨道原则。由德国物理学家洪特(Hund)提出。在同一亚层的各个轨道上排布的电子,总是尽先分占不同的轨道,并且自旋方向相同。这样,整个原子的能量最低。洪特规则也有特例,等价轨道在全充满(P6、d10、f14)、半充满(p3、d5、f7)、全空(p0、d0、f0)时,原子结构比较稳定。例如,24Cr的电子排布式是1s22s22p63s23p63d54s1;29Cu的电子排布式是1s22s22p63s23p63d104s1。
【电子排布式】表示原子核外电子排布的式子。可清楚地表明各亚层中的电子数目。例如17Cl的电子排布式是1s22s22p63s23p5。
【轨道表示式】表示原子核外电子在各亚层、各轨道中排布的式子。能清楚地反映核外电子排布的规律。例如,7N的轨道表示式是:
![]()
【电离能】指从基态的气态原子、离子或分子,失去一个电子所需要的能量叫电离能,以千焦·摩尔-1为度量单位。元素的第一电离能指元素的基态的气态原子失去一个电子变为气态+1价阳离子所需要的能量。元素第一电离能的数值随原子序数的递增呈现周期性的变化。
【电子亲合能】指基态的气态原子、离子或分子得到一个电子所释放的能量。元素的电子亲合能指元素的气态原子得到一个电子变为气态-1价阴离子所释放的能量。从电子亲合能数据可以判断元素的原子得电子的难易。非金属元素一般具有比较大的电子亲合能。因此,非金属元素的原子比金属元素的原子容易得电子。
【电负性】分子中原子对成键电子吸引能力的相对大小的量度。目前有三套电负性数据:鲍林(Linus Pauling)电负性,用xp表示;密立根(Mulliken)电负性,用xM表示;阿莱-罗周(Allred-Rochow)电负性,用xA表示。三套电负性数据,是在不同的基础上计算出来的,因此它们的数值不完全相同,但都能反映元素的原子在化合物中吸引电子的能力。
【质能关系式】物质的质量m,与其能量E之间的关系式:E=mc2,式中c为真空中的光速。这是20世纪初爱因斯坦(Einstein)提出的狭义相对论的一个重要结论。由质能关系式可以看出,当物体的能量发生改变时,其质量也有相应的变化。运用这一关系可以解释原子核的质量亏损现象,认识到在原子核内蕴藏着巨大的能量,可以通过核反应加以利用。
【质量亏损】原子核的质量小于它所含各核子独自存在时的总质量,这两种质量的差额称为质量亏损。质量亏损说明,当核子集合组成原子核时要释放出结合能(即使核分解为质子和中子时所需要的能量)。它的数值越大,原子核就越稳定。
【离子】带电荷的原子或原子团。由原子、原子团或分子失去或得到电子时形成的。失去电子时形成带正电荷的阳离子(正离子),如H+、Na+、NH4+等;得到电子时形成带负电荷的阴离子(负离子),如Cl-、OH-、SO42-等。离子存在于离子化合物中,也存在于溶液中(和溶剂分子相结合),还存在于气体中。离子的性质与电中性的原子、原子团、分子的性质完全不同。
【阳离子】见离子条。
【正离子】见离子条。
【阴离子】见离子条。
【负离子】见离子条。
【离子半径】又称离子有效半径,是通过实验测定的。一般认为的离子半径是:离子晶体中相邻的两个正负离子的核间距是正负离子的半径之和。若核间距为d,则d=r++r-(r+,r-分别代表正负离子的半径)。已知一个离子的半径和核间距,就可以求出另一离子的半径。原子失去电子形成的阳离子的半径比其原子半径小,如Na原子半径为 1.537×10-
【离子构型】指离子的外围电子构型。是离子的重要特征。离子构型主要可分为以下几种类型:
⑴惰气型,即与惰性元素原子的核外电子排布相同。其中有He型,如Li+(ls2)、Be2+(is2)等;Ne型,如F-(2s22p6)、Na+(2s22p6)、Mg2+(2s22p6)等;Ar型,如Cl-(3s23p6)、K+(3s23p6)等。
⑵18电子型,最外层为18个电子的离子,如Zn2+(3s23p63d10)、Ag+(4s24p64d10)等。
⑶18+2电子型,次外层为18个电子,最外层为2个电子的离子,如Sn2+(4s24p64d105s2)、Pb2+(5s25p65d106s2)等。
⑷不规则型,最外层有9~17个电子的离子,如Fe3+(3s23p63d5)、Cu2+(3s23p63d9)等。
【离子的极化作用】电荷相反的离子相互接近时就有可能发生极化,即它们在相反电荷的电场的影响下电子云发生变形。离子使异号离子极化而变形的作用称为该离子的极化作用。离子极化作用的大小跟离子所带电荷的多少、离子半径大小及离子构型有关。一般离子所带电荷数越大,半径越小,外层电子的屏蔽作用越小,离子的极化作用就越大。通常阳离子的极化作用较强,因此在多数情况下应考虑阳离子对阴离子的极化作用。有的阴离子对阳离子也有显著的极化作用,而阳离子被极化后又对阴离子产生更强的极化作用。这样反复作用叫做离子的相互极化作用或附加极化作用。离子的极化对化合物的键型、溶解度、熔点、颜色及化学稳定性都有一定的影响。
【离子的变形性】离子被异号离子极化而发生电子云变形的性能称为该离子的变形性或可极化性。离子变形性的大小主要和离子半径、离子的电子构型有关。最容易变形的是半径较大的阴离子和18电子外壳或不规则电子外壳的带电荷少的阳离子,如Ag+、Hg2+等。最不容易变形的是离子半径小,带电荷多的惰气型阳离子,如Be2+、Al3+等。
【相互极化作用】见离子的极化作用条。
【化学键】在分子、原子团或晶体中,相邻的两个或多个原子之间的强烈的相互作用叫做化学键。化学键有三种基本类型:离子键、共价键(包含配位键)、金属键。化学键的强度可用键能表示,一般约在125~840千焦·摩尔-1之间。
【离子键】又称电价键,系由原子得失电子后生成的阴阳离子之间通过静电作用所形成的化学键。例如氯化钠晶体中Na+和Cl-之间就是靠离子键结合在一起的。由于离子的电荷分布是球形对称的,只要空间条件许可,就可以从不同方向同时吸引几个带相反电荷的离子。离子键的特征是既没有方向性又没有饱和性。
【电价键】见离子键条。
【离子化合物】以离子键相结合而形成的化合物。如氯化钾KCl、氧化钙CaO等。离子化合物一般以离子晶体的形式存在。
【离子型分子】当离子键存在于气态分子中,这种独立的分子称做离子型分子。例如在氯化钠蒸气中,就存在着由一个Na+和一个Cl-组成的氯化钠分子NaCl。这种情况较为少见。
【共价键】原子间通过共用电子对(电子云重叠)所形成的化学键。例如,两个氢原子共用一对电子形成氢分子H2:H:H;两个氮原子共用三对电子形成氮分子(如右图)。
共价键具有饱和性和方向性。
【共价单键】原子间共用一对电子形成共价单键。例如H2分子中的共价键。
【共价双键】原子间共用两对电子形成共价双键。例如CO2分子中,碳原子和氧原子之间以共价双键结合:
![]()
【共价叁键】原子间共用三对电子形成共价叁键。例如N2分子中的共价键。
【共价化合物】元素的原子以共价键相结合而形成的化合物。例如:水、氯化氢等。
![]()
【配位键】两原子间的共用电子对是由一个原子单独提供而形成的共价键。它和一般的共价键的区别仅在于提供电子对的方式不同。在形成配位键时电子给予体具有孤对电子,而电子接受体具有空轨道。例如氨分子NH3中N原子有一对孤对电子,而氢离子H+有空轨道,它们可以通过配位键结合形成铵离子NH4+。
【键长】表征价键性质的参数之一,是分子中两个成键原子的核间矩。一般键长越短,键就越强。
【键角】表征价键性质的参数之一,系分子中键和键之间的夹角。键角是决定分子几何构型的重要因素。例如在水分子H2O中,两个O—H键的键角是104°45′,这就决定了水分子的折线形结构。
【键能】表征价键性质的参数之一,在给定条件下,对气态物质断开1摩尔键,使成键原子变为气态原子时所需的能量。键能表示化学键的强度,键能越大,键越牢固,含有该键的分子越稳定。
【键矩】将极性键(见极性共价键)的正电荷重心作为正电中心,负电荷重心作为负电中心,所带电荷分别为+q和—q,两中心间的距离为d,则q和d的乘积就是键矩μ,用下式表示:
μ=qd
键矩是矢量,其方向定为从正电中心到负电中心,单位为德拜(Debye),用D表示。键的极性可用键矩来量度,μ愈大键的极性愈强。
【键级】分子轨道法中表示相邻的两个原子成键强度的一种数值。对双原子分子来说,把成键电子数与反键电子数的差值的一半,称为键级。在形成共价键时,成键轨道上的电子称为成键电子,它使体系的能量降低,有利于形成稳定的键;反键轨道上的电子称作反键电子,它使体系的能量升高,不利于形成稳定的键。可见,键级是衡量化学键相对强强的参数,键级愈大,键愈稳定,若键级为零,则不能成键。
【极性共价键】简称极性键。由于成键的两个原子的电负性不同,共用电子对必然偏向电负性较大的一方,使键具有极性,因此,这种键叫极性键。例如,在氯化氢HCl分子中,H—Cl键是极性键,共用电子对偏向氯原子。极性键极性的大小可用键矩来量度(见键矩条)。
【非极性共价键】简称非极性键。存在于单质分子中。由于成键的两个原子的电负性相同,共用电子对处于两核之间,没有偏移,电子云均匀分布。这种两个原子间共用电子对无偏向的共价键叫非极性共价键。例如,在H2分子、Cl2分子中的H—H键、Cl—Cl键都是非极性键。
【金属键】在金属晶体中,金属原子容易丢失电子,形成正离子,因此金属晶体中,晶格结点上存在着大量金属正离子,而在晶格中还存在着大量的“自由电子”,金属离子和自由电子之间存在的较强作用,叫金属键。金属键又称改性共价键,因为它可以看成许多原子共用许多电子的一种特殊形式的共价键,但又和共价键不同,金属键不具有饱和性和方向性。
【分子间作用力】又称范德华(Van
der Waals)力。是物质分子间存在着的作用力,无方向性,无饱和性。是短程作用力,其范围约3~5×10
【色散力】分子间作用力的主要成分。色散力普遍存在于各种分子之间。由于分子中电子不断运动和原子核的不断振动,经常发生电子云和原子核之间的瞬时相对位移,因而产生了瞬时偶极。瞬时偶极虽然存在的时间极短,但总是不断地出现。这种由瞬时偶极产生的分子间作用力叫色散力。色散力的大小和分子的变形性、电离势以及分子间的距离有关。
【取向力】分子间作用力的一种。存在于极性分子和极性分子之间。当两个极性分子相互接近时,一个分子带负电的一端要和另一个分子带正电的一端接近,使极性分子有按一定方向排列的趋势。这种由极性分子的取向而产生的分子间作用力叫取向力。取向力的本质是静电引力,取向力的大小和分子的偶极矩(见偶极矩)的大小、温度及分子间的距离有关。
【诱导力】分子间作用力的一种。存在于极性分子与非极性分子之间以及极性分子和极性分子之间;离子和分子以及离子和离子之间。当极性分子和非极性分子接近时,极性分子的偶极使非极性分子极化而产生诱导偶极,这种由于诱导偶极而产生的作用力叫诱导力。极性分子之间,离子和分子以及离子和离子之间也会产生诱导力。诱导力的大小和分子的偶极矩、变形性及分子间距离有关。
【氢键】在含氢化合物中,由一个与电负性极强的元素(如F、O、N)相结合的氢原子和另一个电负性极强带孤电子对且原子半径小的原子(F、O、N等)间产生的引力形成的。氢键的键能比化学键的键能小得多,但和范德华力相近,也可以说氢键是另一种分子间作用力,它具有饱和性和方向性。氢键可分为分子间氢键,如水中的氢键以及分子内氢键,如硝酸分子内的氢键:

【分子的极化】在外电场作用下,分子中正、负电荷中心发生分化的过程。由于外电场影响了分子中电荷的分布,使电子云与核发生了相对位移,分子发生变形,从而造成分子中正、负电荷中心的分化。非极性分子由于极化可产生极性,极性分子由于极化可使极性增强。
【偶极矩】是衡量分子极性大小的物理量。物理学中,把大小相等、符号相反、彼此相距为d的两个电荷(+q和—q)组成的体系称为偶极子,其电量与距离之积就是偶极矩(μ)。
μ=qd
偶极矩是矢量,其方向系沿两电荷连线由正到负。极性分子就是偶极子,对分子中正负电荷,可以设想它们分别集中于一点,叫正电荷中心和负电荷中心。极性分子的偶极矩等于正负电荷中心的距离乘以正电中心(或负电中心)的电量,其方向由正到负。
【永久偶极】又称固有偶极。指极性分子本身具有的偶极。这是由于极性分子中电荷分布不均匀,正电荷重心与负电荷重心不重合造成的。每个极性分子就是一个偶极子。
【固有偶极】见永久偶极条。
【诱导偶极】分子在外电场的作用下,正、负电荷重心分化而产生的偶极叫做诱导偶极。
【瞬时偶极】由于分子中电子和原子核的不断运动,经常发生电子云与核之间的瞬时位移而产生的偶极,称作瞬时偶极。这种现象是不断消失又不断发生的,时间虽短暂,但经常存在。
【八隅规则】1916年由美国物理化学家G.N.路易斯(G.N.Lewis)提出。原子相互作用形成离子或分子时,趋于形成外层为8个电子的惰性元素的构型,这通常称作八隅规则。例如,氯和钠通过得失电子形成离子化合物氯化钠,其中Na+离子和Cl-的电子排布都是惰性元素的构型。此外,在两个氯原子形成的氯气分子或一个氢原子和一个氯原子形成的氯化氢分子中原子之间通过共用电子对而形成惰性元素的电子构型。
【现代价键理论】又称电子配对理论或电子配对法,简称VB法(Valence Bond Theory)。基本要点如下:
⑴原子带有未成对且自旋相反的电子相互接近时,核间电子云密度较大,可形成稳定的化学键。
⑵共价键有饱和性,一个原子有几个未成对电子,就能和几个自旋相反的电子配对成键,未成对电子都配对成键就达到饱和。
⑶共价键有方向性,即共价键尽可能沿着原子轨道最大重叠的方向形成,这也叫做“最大重叠”原理。轨道重叠越多,电子在两核间出现的几率就越大,形成的共价键就越稳定。
现代价键理论模型只管,易于被人们接受,但在解释有些分子的形成时(如H2+、O2等)遇到了困难。这些问题由于分子轨道理论的建立才得以解决。
【电子配对法】见现代价键理论条。
【杂化轨道理论】由美国化学家鲍林(L.Pauling)及斯莱脱(J.C.Slater)在电子配对法的基础上提出。它的要点是:同一原子中能量相近的原子轨道,在成键时重新组合成一系列能量相等,成键能力更强的新轨道。这就叫原子轨道的杂化,形成的新轨道称做杂化轨道。杂化轨道理论解释了许多用电子配对法不能解释的分子的几何构型和稳定性的事实(详见有机部分)。
【分子轨道理论】又称分子轨道法(Molecular OrbitalTheory)或MO法,1932年由美国化学家密立根(R.S.Mul-liken)及德国物理学家洪特(F.Hund)提出。是现代共价键理论之一。它的要点是:从分子的整体性来讨论分子的结构,认为原子形成分子后,电子不再属于个别的原子轨道,而是属于整个分子的分子轨道,分子轨道是多中心的;分子轨道由原子轨道组合而成,形成分子轨道时遵从能量近似原则、对称性一致(匹配)原则、最大重叠原则,即通常说的“成键三原则”;在分子中电子填充分子轨道的原则也服从能量最低原理、泡利不相容原理和洪特规则。
【分子轨道】分子中描述单电子运动状态的波函数即为分子轨道,分子轨道由原子轨道线性组合而成,原子轨道形成分子轨道时遵从“成键三原则”。
【成键分子轨道】能量相近的原子轨道组合形成的分子轨道中,比原子轨道的能量有所降低的叫做成键分子轨道。在成键分子轨道中,两核间电子出现的几率增大,其能量比原子轨道中能量较低的还低,因此有利于化学键的形成。
【反键分子轨道】能量相近的原子轨道组合形成的分子轨道中,比原子轨道的能量有所升高的称反键分子轨道。在反键分子轨道中,两核间电子出现的几率减小,甚至为零,其能量比原子轨道中能量较高的还高,因此不利于化学键的形成。反键轨道通常以“*”号标记。
【成键三原则】指原子轨道组合形成分子轨道时所遵从的能量近似原则、对称性匹配原则和轨道最大重叠原则。
【单电子键】只有一个电子的共价键。如氢分子离子H+2中,两个氢原子间共用一个电子而形成的共价键。H+2中虽然没有电子配对,但却有明显的键能DH+2=269kJ·mol-1。
【三电子π键】O2分子中电子在分子轨道中的排布如下,O2[KK(σ2s)2(σ2s*)2(σ2p)2(π2p)4(π2p*)2]。除已充满的低能级的成键轨道和反键轨道基本抵消外,成键的(σ2p)2构成一个σ键;因成键的π轨道和反键的π轨道在空间方位一致,因此成键的(π2pv)2和反键的(π2p*)1构成一个“三电子π键”,成键的(π2p)2和反键的(π2p*z)1构成另一个“三电子π键”。O2的结构又可表示为:

O2分子中每个三电子π键中仍各有一个未成对电子,所以O2是顺磁性的。分子的键级:1/2(8-4)=2。
【缺电子原子】具有共价性的原子,若其价电子(见价电子条)数少于价电子层的轨道数时,称这种原子为缺电子原子。例如,硼B原子,因半径较小,电负性较大,而表现出共价性;其价电子为2s22p1,共3个,但第二电子层有4个原子轨道2s、2px、2py、2pz,硼原子就是缺电子原子。
【缺电子化合物】缺电子原子以共价键形成的不具有八隅体结构的化合物,称作缺电子化合物。例如,硼的一些化合物就是缺电子化合物,卤化硼BX3、硼烷B2H6、硼酸H3BO3等就是缺电子化合物,缺电子化合物一般可做电子接受体。
【价电子】指原子在参加化学反应时能够用于成键的电子。主族元素的价电子就是最外层电子,对过渡元素来说,价电子指最外层的s电子和次外层的d电子,甚至还有倒数第三层的f电子。
【等电子原子】在价电子层中,价轨道数等于价电子数的原子。例如,H、C、Si等原子。
【多电子原子】在价电子层中,价电子数多于价轨道数的原子。例如,N、O、S、Cl等原子。
【孤电子对】也称孤对电子。指分子或离子中某原子的最外层未共用的电子对。例如,NH3分子中,N原子有一个孤电子对;H2O分子中,O原子上有两个孤电子对:
![]()
N、O原子都是多电子原子,H原子是等电子原子,因此在NH3分子和H2 O分子中都有孤电子对。
【孤对电子】见孤电子对条。
【价电子对互斥(VSEPR)理论】该理论最初由西奇威克(Sidgwiek)和鲍威尔(Powell)提出,以后吉林斯比(Gil-lespie)和宁荷姆(Nyholm)发展了这一理论。它的概念非常简单,不需要用原子轨道的概念,就能较好地判断许多共价分子的几何构型。价电子对互斥理论认为在一个共价分子中,中心原子周围电子对排布的几何构型主要决定于中心原子的价电子层中的电子对数,价电子对包括成键的σ电子对和孤电子对。分子的几何构型总是采取彼此间排斥力最小的结构,因为这样能量最低。根据价电子对互斥理论,得出理想的几何构型如下:
电子对数 几何构型
2 直线型
3 平面三角形
4 四面体
5 三角双锥
6 八面体
在分子中,孤对电子和成键电子之间静电排斥作用大小的顺序如下:
孤对-孤对>孤对-成键对>成键对-成键对
例如,在CH4 、NH3 、H2 O分子中:CH4 无孤对电子,而C-H键是相同的,所以CH4 分子是正四面体形;NH3 分子中N有一对孤对电子,它对N-H键有较大的排斥作用,所以NH3分子中N-H键之间的夹角为107°18′;H2O分子中O有两对孤对电子,它们对O-H键的排斥力更大,所以H2O分子中O-H键间的夹角是104°45′。由此可见,对简单分子AXn Er(A代表中心原子,X代表以共价键和A结合的配位体、n代表配位体的数目,E代表孤对电子,r代表孤对电子数)的几何构型就能简便地作出判断:AX4 一定是正四面体形,AX3 E一定是三角锥形,AX2 E2 一定是折线型。此外,根据具有最少数目的、角度最小的孤电子对-孤电子对排斥作用的构型最稳定的原则,还可判断其它分子的几何构型,例如,在XeF4 分子中,有六对价电子,所有价电子呈八面体形,而中心原子Xe与四个氟原子处于同一平面形成平面正方形的构型是最稳定的。
【特征电子构型】表示原子的电子层结构特性的式子,也称外围电子。根据元素原子的特征电子构型,元素周期表可划分为四个区:s区、p区、d区、f区(见周期表的分区条)。
【晶体】具有一定几何多面体形状的固体。以分子、离子或原子为质点在三维空间有规则地排列而成。晶体具有固定的熔点和各向异性。根据构成晶格质点的不同,晶体分为离子晶体、原子晶体、分子晶体和金属晶体四种类型。根据晶粒的取向不同,晶体又分为单晶体和多晶体。
【晶格】构成晶体的质点(分子、原子、离子)在空间的确定点上有规律地重复排列所构成的点阵结构。
【晶胞】晶格中含有晶体结构中具有代表性的最小部分。晶胞在空间无限地周期性的重复就成为晶格。
【晶系】根据晶胞的几何构型对晶体进行分类,晶体划分为七大晶系,一种晶系的性质用晶胞的边长(a、b、c)及夹角(α、β、γ)描述。七大晶系是:立方晶系、四方晶系、正交晶系、单斜晶系、三斜晶系、菱形晶系和六方晶系。在同一晶系中又有不同的晶格类型,共十四种晶格类型:简单立方、体心立方、面心立方、简单四方、体心四方、简单斜方、底心斜方、体心斜方、面心斜方、简单单斜、底心单斜、三斜、菱形、六方。
【无定形体】无晶体结构,内部质点在三维空间不规则排列,不具有一定几何多面体形状的固体。它和晶体不同,没有固定的熔点和各向异性。如石蜡、玻璃等。有的固体,因其结晶的取向是无序的,也称无定形态,如无定形碳,若用X-射线研究其结构可以发现它是由许多微小的石墨晶体构成的。
【离子型晶体】晶体的一种,组成晶格的质点是正、负离子。正、负离子间以离子键结合,每个离子周围被异号离子包围,它们有一定的比例关系和一定的排列顺序。例如,在氯化钠晶体中,每个钠离子被六个氯离子包围,每个氯离子被六个钠离子包围,交替延伸为整个晶体,在氯化钠晶体中不存在单个分子。离子型晶体有较高的熔点、沸点;有一定的硬度但较脆;易溶于极性溶剂,特别是水中;在熔化状态或极性溶剂中发生电离,因而具有导电性,晶体不导电。
【原子型晶体】也称共价型晶体,晶体的一种。组成晶格的质点是原子。原子间以共价键结合,结合力很强且形成空间网状结构。例如,金刚石中,碳原子形成sp3 杂化轨道,以共价键彼此相连,每个碳原子都处于正四面体的中心,组成整块晶体。在原子晶体中不存在单个小分子。原子晶体的熔点、沸点、硬度都比离子晶体高,不导电,在大多数常见的溶剂中不溶解,无延展性。常见的原子型晶体有金刚石、晶体硅、灰锡、锗、硼等单质。有一些化合物,如碳化硅SiC、氮化铝AlN、二氧化硅SiO2 等也是原子型晶体。
【金属型晶体】晶体的一种。组成晶格的质点是金属原子、金属离子和自由电子。质点间的作用力是金属键。金属晶体有三种特有的坚实结构:面心立方紧密堆积晶格、配位数是12;体心立方紧密堆积晶格,配位数是8;六方紧密堆积晶格,配位数是12。金属型晶体一般熔点、沸点高(部分低熔点金属除外,如汞Hg、镉Cd等),硬度较大,有金属光泽、良好的导热性、导电性和机械加工性能。
【分子型晶体】晶体的一种。组成晶格的质点是分子。例如,固态氧O2 、干冰CO2 ,固态氩Ar、冰H2 O等。在分子晶体内,分子间以范德华力相结合,由于结合力弱,分子晶体一般熔点、沸点低、硬度小、易挥发,通常状况下是电的不良导体。
【过渡型晶体】指介于原子晶体、金属晶体、分子晶体之间的一种过渡型。例如,石墨晶体,在晶体内碳原子以sp2 杂化形成共价键,每个碳原子与另外三个碳原子以共价键相连,六个碳原子在同一平面上形成正六边形的环,伸展形成层状结构,在同一平面的碳原子各剩一个p轨道,上有一个电子,这个电子比较自由,相当于金属中的自由电子。石墨晶体中层与层之间以范德华力结合。属于过渡型晶体的还有黑磷、云母(一种天然硅酸盐)等。
【同质多晶】同一种物质在不同条件下形成不同的结晶,称同质多晶现象。例如,单质硫在不同条件下可以形成不同的晶型。
【异质同晶】不同的物质,具有相同的晶体结构,称异质同晶现象。如氯化钾KCl、氧化镁MgO晶体都是NaCl型晶体。
【类质同晶】有一些组成不同,但化学性质类似的物质能够生成外形完全相同的晶体,称类质同晶现象,例如,明矾[KAl(SO4 )2 ·12H2 O]和铬矾[KCr(SO4 )2 ·12H2 O]都形成八面体结晶,硫酸镁(MgSO4 ·7H2 O)和硫酸镍也是类质同晶物质。
【能带】晶体中的电子,在一定能量范围内的许多能级(用彼此相隔很近的一条条水平横线表示)形成的一条带,形象地称为能带。各种晶体的能带数目和宽度都不相同。完全被电子占据的能带称作“满带”(其中的电子不能导电);部分被电子占据的能带称作“导带”(其中的电子能导电);完全未被占据的能带称作“空带”。价电子所占据的能带称作“价带”。能量比价带低的各能带一般是满带,价带可以是满带,也可以是导带。如在金属中价带是导带,故金属能导电;在绝缘体和半导体中,价带是满带,所以它们不能导电,但半导体很容易受其它因素的影响,使价带中的电子数目减少,或使空带中出现一些电子而成为导带,因而也能导电。
【等电子体】具有相同电子数的分子或离子称等电子体。例如,都含有14个电子的CO和N2 两种分子,就是等电子体。在一般情况下,等电子体在分子轨道中的电子排布和成键情况是相似的,这一规律称作等电子原理。由于等电子体具有相似的结构,所以在性质上也有许多相似之处。如:
CO N2
分子量 28 28
熔点(K) 73 63
沸点(K) 83 77
液体密度(g·cm-3) 0.793 0.796
另外,如NO3- 和CO32- 也是等电子体或称等电子离子,它们的几何构型都是平面三角形;PO43- 、SO42-、ClO4- 三种等电子离子的几何构型都是正四面体。
【等电子原理】见等电子体条。
【等离子体】亦称等离子态。气体被加热到很高的温度或被辐射后,使原子呈电离态,整个气体将成为带正电的离子和带负电的电子所组成的集合体,而且正负电量相等,这就叫做等离子体。象火焰和电弧中的高温部分,太阳和其它恒星的表面气层等都是等离子体。
【元素周期律】指元素性质随原子序数的递增呈周期性变化的规律。元素性质的周期性变化实质上是由原子的电子层结构的周期性变化决定的。元素周期律是1869年俄国化学家门捷列夫(Meндeлeeв)在前人研究成果的基础上提出的,当时认为,元素的性质随着原子量的递增而呈周期性变化。现在,根据现代原子结构理论对元素周期律的本质有了更深刻的认识,这样才把元素周期律修正为现在的形式,同时对元素周期表也作了许多改进。
【元素周期系】根据元素周期律把化学元素组织在一起所形成的完整体系,叫做化学元素周期系。
【元素周期表】根据元素周期律,把现在已知的107种元素中电子层数目相同的各种元素,按原子序数递增的顺序从左到右排成横行,再把不同横行中最外电子层的电子数相同的元素(或外围电子构型相似的元素)按电子层数递增的顺序由上而下排成纵行。这样得到的表,叫元素周期表。元素周期表是元素周期律的具体表现形式,它反映了元素之间相互联系的规律。
【原子序数】元素周期表中按元素核电荷数由小到大的顺序给元素编号,这种序号叫做元素的原子序数。原子序数在数值上等于元素的核电荷数(即质子数)。
【周期】在元素周期表中,具有相同电子层数又按照原子序数递增的顺序排列的每一横行中的一系列元素。元素周期表中共分7个周期,第1周期,含两种元素;第2、3周期各含八种元素;第4、5周期各含18种元素;第6周期有32种元素;其中,含元素较少的第1、2、3周期叫短周期;含元素较多的第4、5、6周期叫长周期;第7周期到现在只发现了21种元素,还没有填满,叫不完全周期。
【短周期】见周期条。
【长周期】见周期条。
【不完全周期】见周期条。
【族】元素周期表中的纵行。周期表中有18个纵行。除第8、9、10三个纵行叫做第Ⅷ族外,其余15个纵行,每个纵行为一族。周期表中有七个主族、七个副族,一个零族和第Ⅷ族。族序号习惯用罗马数字表示。由短周期元素和长周期元素共同组成的族叫主族,族序号后面标一A字;只由长周期元素构成的族叫副族,族序号后面标一B字;惰性元素叫做0族。
【主族】见族条。
【副族】见族条。
【零族】见族条。
【第Ⅷ族】周期表中第8、9、10三个纵行的元素为第Ⅷ族,其中包括铁Fe、钴Co、镍Ni、钌Ru、铑Rh、钯Pd、锇Os、铱Ir、铂Pt,共九种元素。
【铁系元素】第Ⅷ族元素中铁、钻、镍这三种元素的性质很相似,称为铁系元素。
【铂系元素】第Ⅷ族中钌、铑、钯、锇、铱、铂六种元素性质相似,称为铂系元素。
【镧系元素】周期表中第六周期ⅢB族中57~71号的15种元素称作镧系元素。其中包括镧La、铈Ce、镨Pr、钕Nd、钷Pm、钐Sm、铕Eu、钆Gd、铽Tb、镝Dy、钬Ho、铒Er、铥Tm、镱Yb、镥Lu,共十五种元素。
【锕系元素】周期表中第七周期ⅢB族中89~103号的15种元素称作锕系元素。其中包括锕Ac、钍Th、镤Pa、铀U、镎Np、钚Pu、镅Am、锔Cm、锫Bk、锎Cf、锿Es、镄Fm、钔Md、锘No、铹Lr,共十五种元素。它们都是放射性元素。其中只有锕、钍、镤、铀四种元素存在于自然界,在铀以后的元素称为超铀元素,它们都是用人工核反应合成的,极微量的镎Np和钚Pu也存在于自然界中。
【超铀元素】见锕系元素条。
【稀土元素】周期表中第ⅢB族中钪Sc、钇Y和镧系元素在性质上都非常相似,并在矿物中共生。18世纪时,人们习惯上把不溶于水的固体氧化物叫做“土”。19世纪初,稀土元素被发现时,它们很象“土”。又因是在很稀有的矿物中发现的,因此把它们叫“稀土”。稀土元素并不稀有,在自然界中约有250多种稀土矿。稀土元素主要应用于玻璃制造、陶瓷工业、冶金工业、原子能工业、电子技术以及用作催化剂等。
【过渡元素】广义的过渡元素包括周期表中所有副族元素和第Ⅷ族元素。也有的将ⅠB、ⅡB两个副族除外。过渡元素都是金属,在现代科学技术中有重要应用。
【内过渡元素】镧系和锕系元素的总称。
【元素周期表的分区】根据原子的电子层结构特征,元素周期表可划分为四个区。S区:包括ⅠA和ⅡA两个主族,特征电子构型分别为ns1 和ns2 ;p区:包括ⅢA~ⅦA五个主族和0族,除He以外,特征电子构型为ns2 np1~6;d区:包括ⅠB~ⅦB七个副族和第Ⅷ族,最外层有两个电子,次外层有1~10个d电子,特征电子构型为(n-1)d1-10 ns2;f区:包括镧系和锕系,最外层有2个s电子;次外层电子排布基本相同,有2个s电子和6个p电子(个别有d电子),倒数第三层有 1~14个f电子,特征电子构型一般是(n-2)f1-14 ns2 。其中,d区元素和f区元素都是过渡元素。
【同位素】原子核内质子数相同而中子数不同的同一种元素的不同原子互称同位素。同位素中有的是稳定的,称稳定同位素,在天然元素中多数都有稳定同位素,也有一些元素尚未发现稳定同位素,如氦、氟、钠、铝、磷、金等;有的同位素具有放射性,称放射性同位素,放射性同位素中除天然放射性同位素外,还有人工放射性同位素。天然存在的同一元素的各种同位素均匀地分布在自然界各种物质中。同一元素的各种同位素的原子核虽有差别,但核外电子排布相同,化学性质基本相同。
【核素】具有一定质子和中子数目的一种原子称为核素。例如,氧有三种核素,它们核内的质子数都是8,而中子数分别是8、9、10,质量数分别是16、17、18,氧的这三种核素就是氧的同位素:168O、178 O、188O。
【同量素】又称同量异序素。质量数相同而核内质子数不同的各种不同元素的原子互为同量素。例如,4018Ar、4019 K、4020Ca互为同量素。
【道尔顿原子学说】1803年由英国化学家道尔顿(JohnDalton,1766~1844)提出,其要点如下:一切物质都是由极小的微粒——原子所组成,原子不能自生自灭,也不可再分;同种物质含有同种原子,不同物质含有不同种原子,不同种原子具有不同的大小、性质和质量(即原子量);单质由简单原子组成,化合物则由复杂原子所组成(为数不多的简单原子可组成复杂原子)。1808年道尔顿在其著作《化学哲学新体系》中全面阐明了这一学说,在化学发展史上是一个重要的里程牌。这一学说的不完善之处在于,没有提出分子概念,未把原子与分子加以区别,并认为原子是不可再分的微粒。这些问题在分子学说提出后以及进入20世纪以后关于原子结构的一系列新发现和原子结构理论建立后才得到解决。
【原子分子学说】又称原子分子论,是在道尔顿原子论和阿佛加德罗分子论的基础上,经意大利化学家康尼查罗(Stanislao Cannizzaro,1826~1910)的实验论证,于1860年建立的。其要点是:一切物质都是由分子组成的,分子是由原子组成的;分子是保持物质化学性质的最小单位,原子则是化学反应中不可再分的最小微粒;单质分子由同种原子组成,化合物分子由不同原子组成,分子质量等于组成它的原子质量的总和。原子分子学说的建立,是化学发展史上的重要阶段。
【X-射线】又称伦琴射线,1895年由德国物理学家伦琴(Roentgen)发现。这是一种波长很短的电磁波,波长约为20~0.06
(1
=10-
【α-射线】放射性原子核所发出的α粒子流(α粒子即氦原子核)。α-射线中,α粒子的动能很大,可达几兆电子伏特以上;但由于α粒子的质量比电子大得多,通过物质时极易使其中的原子电离而损失能量,所以它的穿透物质的本领比β射线弱得多,容易被薄层物质阻挡。
【β-射线】放射性原子核所发出的电子流(或正电子流)。电子的动能可达几兆电子伏特以上,由于电子的质量小,速度大,通过物质时不易使其中的原子电离,所以它的能量损失较慢,穿透物质的本领比α射线强得多。
【γ-射线】波长极短[通常指1
(10-
【d-pπ键】是一种特殊形式的π键。指某元素的原子用d轨道与另一原子具有相同对称性的p轨道形成的π键。如第三周期的一些元素在和O、F、Cl等原子结合时就可能形成这种形式的键。现代研究表明,在SiF4、PF3、PO43-、SO42-、ClO4- 等分子和原子团中都存在d-pπ键,其中做为中心原子的 Si、P、S、Cl等原子用空的3d轨道和 F、O等原子的充满电子的p轨道成键。
【非极性分子】指没有偶极的分子,即分子的固有偶极为零的分子。这种分子里负电荷中心与正电荷中心是相重合的。如H2分子、Cl2分子、CO2分子、CH4分子、CCl4分子等。
【极性分子】指具有固有偶极的分子。这种分子里负电荷中心与正电核中心不重合,而显示出极性,如HCl分子、H2O分子、NH3分子、CHCl3分子等。分子极性的大小用偶极矩来度量。
五、化学热力学、化学平衡
【体系】作为研究对象的一定物质或空间所组成的整体,也称系统。体系以外的其他物质或空间则称作环境。例如研究硝酸银和氯化钠在水溶液中的反应,含有这两种物质的水溶液就是体系,而盛溶液的烧杯、溶液上方的空气等就是环境。热力学体系可分三种:孤立体系、封闭体系、敞开体系。
【环境】指所研究的物质体系以外的其它部分(见体系条)。关于生态环境详见“环境部分”。
【敞开体系】体系与环境之间既有物质交换,又有能量交换。
【封闭体系】体系与环境之间没有物质交换,只有能量交换。
【孤立体系】体系与环境之间既没有物质交换,又没有能量交换。
【状态】即体系的状态,在热力学中用体系的性质来规定其状态。决定体系状态的性质有温度、压力、体积、组成等,比如当研究的对象是一定量的纯净气体时,温度和压力一定时,体系的状态就定了。
【状态函数】用于规定体系的热力学状态的宏观性质,如体积、温度、压力、物质的量等都叫做状态函数。状态函数的变化只取决于体系的始态和终态,而与变化的途径无关。
【压力】物理学中压强的概念,在化学热力学中常称作压力。单位是帕斯卡(Pa),压力为1Pa的含义是:
【压强】见压力条。
【理想气体】忽略了分子本身的体积和分子间作用力的气体。这种气体是不存在的,这只是一种理想状态,当真实气体处在较高的温度和较低的压力的状态下可近似地看成是理想气体。
【理想气体状态方程】即PV=nRT。式中P为气体压力,V为气体体积,n为气体的摩尔数,R为气体常数,T为热力学温度。
【气态方程】见理想气体状态方程条。
【气体常数】理想气体状态方程中的一个常数,常用R表示,R=8.314J·mol-1·K-1。
【广度性质】也叫容量性质,是体系宏观性质的一类。广度性质的数值与体系中物质的数量成正比,例如体积、质量、内能等。
【强度性质】体系的宏观性质的另一类,其数值与体系中物质的数量无关,仅由体系本身的性质决定,没有加和性,整个体系的强度性质与体系各个部分的强度性质的数值都相同。例如温度、密度、比热、气体压强等。
【等温过程】在保持温度不变的情况下(指体系的始态温度与终态温度相同),体系所进行的各种化学或物理的过程。在这种过程中体系和环境间可能有热和功的交换。
【等压过程】在恒定压力下(指体系的始态压力与终态压力相同,并等于环境的压力),体系所进行的各种化学或物理的过程。在这种过程中体系和环境可能有热量和功的交换。
【等容过程】在保持体积不变的情况下,体系所进行的各种化学或物理的过程。在这种过程中,体系和环境间,可能有热量的交换。
【绝热过程】在体系跟环境间没有热量交换的情况下,体系所进行的各种化学或物理过程。例如在有良好的绝热壁的容器内发生的化学反应,可认为是个绝热过程。另外,某些过程进行极迅速,来不及和环境进行热交换,如气体向真空膨胀,也可视为绝热过程。
【热力学可逆过程】对体系发生变化时所进行的过程,能通过原来过程的反方向变化而使体系回复到原来状态,同时在环境中没有留下任何永久性变化的过程,称为热力学可逆过程。在这过程进行中的每一瞬间,体系和环境都非常接近于平衡态。在等温的可逆过程中,体系对环境所作的功为最大功,环境对体系所做的功为最小功。可逆过程是一种理想的极限过程。有些实际过程,例如液体在气-液平衡下等温蒸发;原电池在外加电压接近或等于原电池电动势的情况下放电或充电的过程等,都可以近似看成可逆过程。
【热力学温标】又称绝对温标或开氏温标,是最基本的温度标定方法。热力学温度用符号T表示,其单位是K(Kelvin的缩写),是国际单位制(SI)的基本单位之一。热力学温标的1度是水的三相点热力学温度的1/273.16。
【绝对温标】见热力学温标条。
【开氏温标】见热力学温标条。
【摄氏温标】规定在101325帕斯卡(1大气压)下水的冰点为0度,沸点为100度,中间分100等分,每等分代表1度。摄氏温标的符号为t,单位是摄氏度用℃表示,水的三相点温度为
【焦耳】是能量(功、热)的单位,是SI的导出单位,用“J”表示,1J=1N·m(1焦耳=1牛顿·米)。
【内能】体系的内能就是体系内部所包含的一切能量,它包括体系内分子运动的动能、分子间相互作用的位能,以及分子内各种粒子(原子、电子、原子核)所具有的能量。但体系本身的动能和位能不包括在内。内能是体系本身的性质,仅决定于体系的状态,在一定的状态下,体系的内能应有一定值,内能是体系的状态函数。内能的绝对值现在还无法测量,然而对热力学来说,重要的不是内能的绝对值而是内能的变化值,这是可以用实验测量的。
【焓】体系的状态函数,用符号H表示。焓的定义式是:H=U+pV。U是体系的内能,p是体系压力,V是体积。在一定状态下,体系的焓应有一定值,但现在无法测定焓的绝对值,对热力学来说重要的是焓的变化值,这是可以通过实验测量的。
【焓变】体系终态的焓(H2)与始态的焓(H1)的改变量,用△H表示,△H=H2-H1。
【热效应】体系在一定温度下(等温过程)发生物理或化学变化时(在变化过程中只做膨胀功而不做其它功),所放出或吸收的热量。化学反应中的热效应又称反应热。根据化学热力学的分析,恒压下的反应热(又称恒压反应热)等于体系的焓变:△H=Qp,△H=(∑H)产物-(∑H)反应物。
【放热反应】放出热量的化学反应叫放热反应。在等温等压条件下,放热反应的焓变为负值,△H<0。
【吸热反应】吸收热量的化学反应叫吸热反应。在等温等压条件下,吸热反应的焓变为正值,△H>0。
【反应热】见热效应条。
【中和热】在稀溶液中酸碱中和生成1摩尔水的反应热。一元强酸与强碱的中和热约为57千焦,与酸碱种类无关,因为这实际上是1摩尔H+与1摩尔OH-反应生成1摩尔H2O的反应热。弱酸、弱碱以及多元酸碱的中和热,因有电离热的影响,不是定值。
【生成热】在热力学标准态下,由稳定单质生成1摩尔化合物时的反应热,叫标准生成热,简称生成热。根据热力学规定,在所有温度下稳定单质的生成热为零,这样化合物的生成热就可通过实验测定。
【燃烧热】指1摩尔纯物质完全燃烧,生成稳定的氧化物时的反应热。
【盖斯定律】1840年,盖斯(Гecc)在大量实验的基础上提出:“在等容或等压条件下,一个化学反应不管是一步完成还是分几步完成,其热效应总是相同的。”也就是说,在等容或等压条件下,反应热只与反应的始态和终态有关,而为反应的途径无关。盖斯定律的提出奠定了热化学的基础,它的重要意义在于可根据已经准确测定的反应热来计算难于测量的反应热的热效应。
【升华热】由1摩尔固态物质生成气态分子或原子所需要的热量。如1摩尔固态金属钠升华成气态钠原子,升华热为108.37kJ·mol-1。
【气化热】在温度不变的条件下,单位质量的液体转化为气体时所吸收的热量。如
【溶解热】指1摩尔物质在
HCl(g)+∞aq=HCl·∞aq
△H=-75.4千焦
【有用功】指非膨胀功。体系在发生变化的过程中,除膨胀功以外的其它功叫有用功。例如电池在恒温恒压下放电,所做的电功即有用功,而电池中的物质由于化学反应而引起体积变化所做的功叫膨胀功。
【熵】体系的状态函数,是体系内部质点混乱程度(或无序度)的量度,常用S表示。当体系内质点的聚集状态发生改变时,其熵值就会改变,体系终态熵值(SB)与体系始态熵值(SA)之差为体系的熵变,用△S表示,△S=SB-SA。当体系的状态改变时,体系的熵变等于由始态到终态的任一可逆过程的热温商之和,其数学表达式为:
![]()
化学反应的熵变等于生成物的熵值与反应物的熵值之差,△S=(ΣS)生成物-(ΣS)反应物。
【熵变】见熵条。
【熵增大原理】见热力学第二定律(3)条。
【自由能】体系的状态函数,常用符号G表示,G=H-TS,自由能也称自由焓或吉氏函数。体系的自由能改变△G,为体系终态的自由能与始态的自由能之差。在等温等压条件下,体系的自由能减少等于体系所做的最大有用功。对等温等压条件下发生的化学反应,可以根据反应的自由能变[△G=(ΣG)产物-(ΣG)反应物],判断反应能否自发进行:当△G<0,反应发生时会放出自由能,可被利用来对环境做有用功,这个反应就能自发进行;当△G>0,必须由环境提供有用功反应才能发生,这个反应就是非自发的;当△G=0,则反应体系处于平衡状态。
【自由焓】见自由能条。
【吉氏函数】见自由能条。
【功函】体系的状态函数,常用符号F表示,F=U-TS,功函又称赫氏函数。在等温等容的条件下,体系功函的减少等于体系所做的最大有用功。
【赫氏函数】见功函条。
【热力学第零定律】两个热力学体系中每一个都和第三个热力学体系处于热平衡,那么它们彼此也必然处于热平衡。这就是热力学第零定律。
【热力学第一定律】即能量守恒和转换定律。可以这样表述:
⑴不供给能量而可连续不断产生能量的机器叫第一类永动机,第一类永动机是不可能存在的。
⑵在体系状态变化过程中,它的内能改变等于在这个过程中所做的功和所传递的热量的总和。
当某体系的状态改变时,假设体系吸收的热量为Q焦耳,同时对环境做了W焦耳的功,根据热力学第一定律,应有下面的公式:△U=Q-W。
【热力学第二定律】是热力学的基本定律之一,有多种表述方式:
⑴热量总是从高温物体(体系)传到低温物体,不能自发地进行相反的传递。
⑵功可以全部转化为热,但任何热机不能全部地、连续地把所获得的热量转变为功。
⑶在任何自发过程中,体系和环境的总熵值是增加的。
热力学第二定律所要解决的中心问题是自发过程的方向和限度。
【热力学第三定律】当体系的热力学温度趋于零时,混乱度为最小,此时体系的熵值也趋于零。也可以说,在绝对零度时,任何纯物质的完美晶体的熵值都等于零。有了热力学第三定律,从原理上说,纯物质的绝对熵值的求算问题就可以认为是解决了。
【分压】即分压力。恒温时混和气体中某组分气体单独占有与混和气相同的体积时,对容器所产生的压力。混和气的总压就等于各组分气体的分压之和。
【道尔顿分压定律】1807年由道尔顿(Dalton)首先提出。内容是:混和气体的总压力等于各组分气体的分压力之和。由此可进一步得出:某组分气体分压的大小和它在混和气中的体积分数(或摩尔分数)成正比,等于混和气体的总压乘以该组分的摩尔分数。这个定律的数学表达式为:
P总=P1+P2+P3+…+Pi
Pi=p总Xi
(Pi为某组分的分压,Xi为该组分的摩尔分数)。
【物态】当大量的微观粒子在一定的温度和压力下相互集聚为一种稳定的结构状态时,叫做物质的一种状态,简称物态。若只从物体的宏观特征看,物质有三态,即固态、液态、气态。
【相】体系中具有相同组成、物理性质和化学性质完全均匀的部分。相与相之间存在着界面,越过此界面,性质就有一个突变。不仅限于固、液、气三相之间。两种不同结晶的晶体,虽都是固体,也是两个相。
【相律】在平衡体系中,联系体系内相数(Φ)、组分数(K)、自由度数(f)及影响物质性质的外界因素(如温度、压力、重力场、磁场、表面能等)之间关系的规律。若只考虑温度和压力,而不考虑其它因素的影响,平衡体系中相数、组分数和自由度之间的关系为:
f=K-Φ+2
由上式可以看出,体系每增加一个组分数,则体系的自由度数就增加一个;如果体系增加了一个相数,则自由度就要减少一个。
【自由度】欲表明一体系在某状态时的强度性质所必需的独立变量数,称为该体系的自由度。例如,要表明一定量水所处的状态,需要指定水所处的温度和压力;若只指定温度时,则水的状态还不能确定,当指定了温度和压力,则水的状态就确定了,不能再任意指定其它性质(如密度等),由此可知,当体系中只有水存在时,体系的自由度等于2。在一定范围内,同时改变温度和压力这两个因素,仍能保持水的液相而不产生新相。
【相图】当体系中有多相存在时,把体系的相平衡规律用几何图形展现出来就成为相图。它能直观地表明体系的状态与温度、压力、组成的关系。
下图为水的相图。图中OA线是液—气平衡线(即水的蒸气压曲线),OB线是固—汽平衡线(即冰的蒸气压曲线),OC线是固—液平衡线,O点是冰—水—气三相平衡的三相点。此单组分体系相图上,有三个单相面,三条两相平衡线,一个三相点,与相律完全一致。

【相变】在某一体系中,各相之间的相互转变称作相变。例如,物质的气、液、固三态间的转变;固态物质的不同晶型间转变等。
【相平衡】指在某一体系中,由两个相或多个相形成的平衡状态。
【均相体系】又称单相体系,即只有一个相的体系。如二氧化氮NO2和四氧化二氮N2O4两种气体共存的体系。
【单相体系】见均相体系条。
【均相反应】参加化学反应的物质都在同一相中,这种反应叫均相反应。此类反应又称单相反应。
【均相平衡】又称单相平衡。指某一体系中由一个相组成的平衡状态,就是在一个相—气相组成的平衡。例如,合成氨的反应:N2(气)+3H2(气)2NH3(气)
【单相平衡】见均相平衡条。
【多相体系】又称非均相系,指含有两个或多个相的体系。
【非均相体系】见多相体系条。
【多相反应】参加化学反应的物质不是在同一相中,这种反应叫多相反应。例如,在固体催化剂表面进行的反应;金属固体在酸溶液中发生的反应等。此类反应又称非均相反应。
【多相平衡】又称非均相平衡。某一体系中由两个或多个相组成的平衡状态。例如,由冰、水、水蒸气形成的多相物理平衡;又如在封闭容器中碳酸钙受热分解可形成多相物理平衡:
![]()
【三相点】指单组分体系中三相(一般指气、液、固三相)处于平衡共存时的温度和压力。在单组分体系中最多只能三相共存,这在相图中为一个点。例如,固相的冰、液相的水和气相的水蒸气三相平衡共存在温度为
【恒沸混和物】又称共沸混和物。若某二组分溶液的组成与其蒸气的组成相同,在此浓度的溶液用分馏方法分离出纯组分是不可能的。这种溶液与一般溶液不同,由开始沸腾到蒸发终了,蒸气的组分与溶液的组成始终相同,其沸点不变。这种溶液称为恒沸混和物。
【共沸混和物】见恒沸混和物条。
【最低恒沸点】当恒沸混和物的沸点低于任一纯组分的沸点时,称为“最低恒沸点”。
【最高恒沸点】当恒沸混和物的沸点高于任一纯组分的沸点时,称为“最高恒沸点”。
【低共熔物】又称低共熔混和物。两种或两种以上的物质组成的熔体,当其组成达到一定值时,可在一最低凝固温度,以比较均匀的形式共同析出固体,该固体若加热,仍在此最低温度共同熔融成熔体。该固体称低共熔物,此温度称低共熔点。
【低共熔混和物】见低共熔物条。
【低共熔点】见底共熔物条。
【饱和蒸气压】在一定温度下,在密闭容器中,当液体的蒸发速度与蒸气的凝聚速度相等时,液体和它的蒸气处于平衡状态。该液态平衡的蒸气称为饱和蒸气,饱和蒸气所产生的压力称为饱和蒸气压。饱和蒸气压简称蒸气压,是所有液体和某些固体的特有性质。
【蒸气压】见饱和蒸气压条。
【蒸气压降低】在一定温度下,溶液的蒸气压总是低于纯溶剂的蒸气压。对难挥发非电解质的稀溶液,蒸气压降低的数值只与溶液中溶质的摩尔分数有关,而与溶质的本性无关,溶液浓度越大,蒸气压下降的数值就越大。由于溶液蒸气压降低导致溶液的沸点高于纯溶剂的沸点。
【沸点升高】溶液蒸气压的下降导致了溶液沸点的升高。溶液沸点升高的程度只与溶液的浓度有关,难挥发非电解质稀溶液的沸点升高数值和溶液的质量摩尔浓度成正比,可用公式表示:△Tb=Kbm。式中△Tb是沸点上升的度数,Kb是溶剂的沸点上升常数,m是溶液的质量摩尔浓度。
【凝固点】晶体物质凝固时的温度,即该物质的液态和固态平衡共存时的温度。凝固点决定于晶体的种类和所受的压强。在一定压力下,任何晶体的凝固点和它的熔点相同。而非晶体则无一定的凝固点。
【冰点】即水的凝固点。冰点与压力的大小有关,在101325帕斯卡(1大气压)的压力下,冰点为273.15K。水的冰点随外压增大而降低。
【凝固点降低】溶液的凝固点低于纯溶剂的凝固点的性质。溶液凝固点降低的程度只与溶液的浓度有关,而与溶质的本性无关。可用公式表示:△Tf=Kfm。式中△Tf是凝固点降低的度数,Kf是溶剂的凝固点降低常数,m是溶液的质量摩尔浓度。
【渗透压】当溶液与纯溶剂(或两种浓度不同的溶液)用半透膜隔开时,溶剂分子能通过半透膜从纯溶剂一边进入溶液,或从稀溶液一边进入浓溶液,这种现象叫渗透现象。在溶液与纯溶剂组成的体系中,欲阻止渗透现象发生,必须增大溶液的压力,刚刚足以阻止渗透过程进行所外加的压力叫渗透压。对于非电解质稀溶液来说,溶液的渗透压与溶液的浓度成正比,而与溶质的本性无关,渗透压的计算公式为:π=RTC。式中π为溶液渗透压,R为气体常数,T为绝对温度,C为溶液的摩尔浓度。
【拉乌尔定律】1887年由拉乌尔(Roult)提出。内容是:在一定温度下,稀溶液中溶剂的饱和蒸气压等于纯溶剂的饱和蒸气压乘以溶剂的摩尔分数。可用公式表示:
pA=p0AxA
式中pA代表稀溶液中溶剂的饱和蒸气压,p
【亨利定律】1803年由亨利(Henry)指出。内容是:在一定温度下,当液面上的一种气体与溶液中所溶解的该气体达到平衡时,气体的平衡分压与被溶解的气体在溶液中的浓度成正比。可用公式表示:
p=Kxx
式中p为所溶解的气体在溶液液面上的平衡分压,Kx为比例常数,x为溶液中溶解的气体的摩尔分数。如果气体在溶液中的浓度以质量摩尔浓度(m)或体积摩尔浓度(c)表示,则亨利定律相应的数学表达式为:
p=Kmm
p=KCC
应注意以上三个式子中Kx≠Km≠Kc。亨利定律适用于稀溶液和气体分压不太大,且溶质在气相中和溶液中分子状态相同的情况。
【摩尔热容】使1摩尔物质温度升高1度所需要的热量,是该物质的摩尔热容。摩尔热容的单位是焦耳每摩尔开尔文,记作焦/摩·开,国际通用符号是J·mol-1·K-1。
【热力学标准态】化学热力学中,为计算各种物系的热力学函数而规定的特定状态,简称标准状态。指在一定温度下[一般是
【标准状态】见热力学标准态条。
【化学平衡】可逆反应中正、逆反应速度相等,在温度和压力不变的情况下,反应物和生成物的浓度不再随时间而改态的状态。化学平衡是动态平衡,它受温度、压力和浓度的影响。
【化学平衡常数】系在一定温度下,可逆反应达到化学平衡状态时,生成物浓度的反应系数次幂的乘积与反应物浓度的反应系数次幂的乘积之比值,这个比值在一定温度下是个定值。例如对可逆反应:
![]()
用浓度表示的平衡常数为:
![]()
式中[A]、[B]、[C]、[D]代表平衡体系中各组分的浓度。
也可用各组分的摩尔分数计算平衡常数,以Kx表示(X代表组分的摩尔分数):
![]()
对于有气体参加和生成的反应,也可用各组分的分压计算平衡常数,以Kp表示:
![]()
以上三种平衡常数可以进行如下换算:
![]()
式中R为气体常数、T为绝对温度、p为体系总压,△n=(g+h)-(a+b)。
【勒沙特列原理】又称平衡移动原理。1887年由法国化学家勒沙特列(Le chatelier)提出。其内容是:如果改变影响平衡的一个条件(如浓度、压力、温度等),平衡就向能够减弱这种改变的方向移动。比如,在温度、压力不变的条件下增加反应物的浓度或减少生成物的浓度,平衡朝正反应方向移动;在温度不变的情况下,对反应前后分子数有变化的气体反应,增大压力,平衡朝分子数减少的方向移动;在其它条件不变时,升高温度,平衡就朝吸热反应方向移动。勒沙特列原理在生产上有广泛的应用,利用这一原理选择适当的反应条件,可以提高产率、降低成本。
【范特荷甫等温方程】又称化学反应等温方程式。由荷兰物理化学家范特荷甫(Van′t Hoff)提出,假设有一理想气体的化学反应是:
![]()
此体系的自由能变为:

式中P代表该反应达到化学平衡状态时体系中各组分的分压,Kp代表平衡常数;而p′代表任意状态时反应体系中各组分的分压,Qp不是平衡常数,为区别起见,称Qp为“分压商”。用范特荷甫等温方程式可以判断在一定条件下,某化学反应进行的方向和限度。在等温等压除膨胀功不做其它功的情况下:
当Qp<Kp时,△G<0,正反应能自发进行。
当Qp>Kp时,△G>0,正反应不能自发进行,而逆反应能自发进行。
当Qp=Kp时,△G=0,反应达到平衡状态。
若反应体系中的气体不遵守理想气体规律,则应当用逸度(f)来代替压力,则化学反应等温方程式为:
△G=-RTlnKf+RTlnQf
如果反应是在稀溶液中进行,则化学反应等温方程式为:
△G=-RTlnKc+RTlnQc
式中Kc为浓度平衡常数,Qc为“浓度商”。
对在非理想溶液中进行的化学反应,应以活度(a)来代替浓度,即:
△G=-RTlnKa+RTlnQa
【玻恩-哈伯循环法】由玻恩(Born)和哈伯(Haber)提出的求某一过程能量变化的方法。此法建立在热力学第一定律的基础上,根据某过程总的能量变化等于各个分过程能量变化的总和的原理,把某个变化过程设计成由若干个分过成组成的热力学循环,即玻恩—哈伯循环。这样,就可以根据已知的一些能量变化求出其中某一过程的能量变化。以求NaCl的晶格能为例,设计出生成氯化钠晶体的热力学循环:

其中各个过程的能量变化是:△H生成=411.0kJ·mol-1,为NaCl晶体的生成热;S=108.8kJ·mol-1为晶体钠的升华热;I=493.29kJ·mol-1为钠原子的第一电离能;1/2D=119.7Kj·mol-1为1/2 mol氯气的解离能;E=-361.9kJ·mol-1为氯原子的电子亲和能;U晶格能为NaCl的晶格能是未知量。根据热力学第一定律可得出关系式:
![]()
经过变形可求出NaCl的晶格能:
![]()
=-411.0-(108.8+493.29+119.7-361.9)
=-770.9kJ·mol-1
【晶格能】在298.15K和101325Pa(1大气压)下,由相互分离的气态阳离子和气态阴离子,生成1摩尔离子晶体时所释放的能量。晶格能可以衡量离子晶体中离子键的强弱和晶体的热稳定性。晶格能可以通过热化学实验间接测定,还可以通过热化学循环计算(见玻恩—哈伯循环法)以及根据静电吸引理论计算。
【转化率】某反应体系达到化学平衡状态时,其中某个指定反应物的转化率是该物质在达到平衡时已转化的量占反应起始时该物质总量的百分率。可用下式进行计算:
![]()
(式中“量”可用质量,也可用物质的量。)
六、化学动力学
【反应速度】化学反应进行的快慢程度用反应速度表示。对于在恒容条件下进行的反应,通常用一种反应物或生成物的浓度在单位时间内的改变来表示反应速度。化学反应的速度是随时间而变化的,因此常用微商的形式表示反应速度。如下列化学反应:
aA+bB→gG+hH
其速度可以分别表示为-dCA/dt、-dCB/dt、-dCG/dt、dCH/dt,因习惯上取反应的速度的数值为正值,而反应物A、B的浓度CA、CB随时间的变化率dCA/dt和dCB/dt本身是负值,所以在表示反应速度时前面应加“-”号。由于化学反应方程式中各化学式的系数之间有一定的关系,所以对同一个反应用不同物质所表示的反应速度应有下列关系:
![]()
影响反应速度的因素除了反应物的性质外,其它条件,如温度、浓度、压力、催化剂、反应物颗粒的大小等都对反应速度有重要影响。
【反应速度方程式】表示反应速度与浓度间的函数关系式叫做反应速度方程式,又称反应速度公式。某一反应的反应速度方程式只能通过实验找出其具体表达形式。
【基元反应】能代表反应机理的,由反应物微粒(分子、原子、离子、自由基等)一步直接实现的变化,称为基元反应或基元步骤。例如
NO2+CO→NO+CO2
大多数化学反应不是基元反应,有不少是由多个基元反应组成的,例如H2(气)与I2(气)化合的反应是由两个基元步骤完成的:
![]()
H2+2I→2HI
【简单反应】仅由一个基元步骤完成的反应叫简单反应。
【复杂反应】由多个基元步骤完成的反应叫复杂反应。
【质量作用定律】由挪威化学家葛尔德保(Guldberg)和威吉(Waage)首先提出。原意是:当温度恒定时,在均相系中,化学反应的速度和反应物的有效质量成正比(有效质量应理解为浓度)。现代对质量作用定律的认识是:在恒温下,对简单反应(或复杂反应中的任一基元反应)来说,化学反应的速度和反应物浓度的方次的乘积成正比(反应物浓度方次的数值等于反应式中各分子式前边的系数)。例如有一简单反应的反应式为aA+bB=C,该反应的反应速度方程式为:
v=k[A]a[B]b
式中k为比例常数,又称反应速度常数,在一定的条件下,当所有反应物的浓度都是1mol·1-1时,v=k。
【反应速度常数】反应速度方程式中的比例常数k叫做反应速度常数。例如有以下简单反应:
aA+bB→gG+hH
用A物质浓度变化率表示反应速度时:
![]()
用B物质浓度变化率表示反应速度时:
![]()
kA与kB有如下关系:kA/kB=a/b。
如果上述反应是气相反应,则反应速度方程式中各物质的浓度可以换成分压,那末式中的k值也要相应地改变。
对不同的反应,k值是不同的。对某指定的反应,k值与反应物的浓度无关而与反应温度及使用的催化剂有关。
【反应级数】反应速度方程式中浓度项的方次之和称为此反应的反应级数。例如对以下反应:
aA+bB→gG+hH
根据实验确定其反应速度方程式为:v=kCaACbB,此反应的反应级数为(a+b),也称该反应为(a+b)级反应。反应级数除有整数级数,如零级、一级、二级、三级等,还可以有分数甚至是负数。反应级数都是由实验测定的。
【反应分子数】指在基元反应过程中参加反应的微粒(分子、原子、离子、自由基等)数目。根据反应分子数可将化学反应区分为单分子反应、双分子反应和三分子反应。例如:
CH3COCH3→C2H4+CO+H2

是单分子反应。
CH3COOH+C2H5OH→CH3COOC2H5+H2O
是双分子反应。
H2+2I→2HI
是三分子反应。
大多数反应是单分子反应或双分子反应,三分子反应很少见,至于四分子及四分子以上的反应,从理论上分析几乎是不可能存在的。应该注意,反应分子数和反应级数是两个不同的概念,反应分子数是为了说明反应机理而引出的概念,反应级数是根据实验得出的数值。一般说来,对同一个反应它们的数值是不同的,例如,有零级反应,但没有零分子反应;反应级数可以是分数,反应分子数却不可能是分数。
【可逆反应】又称对峙反应,指在同一条件下,既能向正反应方向进行,同时又能向逆反应方向进行的反应。严格地说,任何反应都是可逆反应。假若逆反应的速度远远小于正反应的速度,平衡点远远偏向产物一边,这种反应可认为是能进行到底的单向反应;假若逆反应的速度相当大,则不能忽略,这类反应就是对峙反应。
【平行反应】当反应物同时进行着两个或两个以上不同的反应时,称为平行反应。这在有机反应中比较普遍。例如甲苯的硝化反应,同时进行着产生邻位、对位、间位硝基甲苯的三个反应。
【连串反应】如果一个复杂反应要经过几个基元反应才能达到最终产物,其中前一个基元反应的产物为后一个基元反应的反应物,如此连续进行,这样的反应,称为连串反应。例如苯的液相氯化:

【链反应】这是一类比较特殊的反应。这类反应的特点是:反应一旦开始,如果不加控制,就可发生一系列的连串反应,使反应自动进行下去,故称为链反应。链反应一般分为三个阶段:链的引发、链的传递和链的终止。链的引发需要吸收能量,对反应条件也很敏感,反应一旦引发,通常都进行得非常迅速。例如氢气和氯气化合的反应就是链反应,其反应过程如下:
链的引发:在光照条件下产生自由基(或称活性质点),可表示为
![]()
链的传递:自由基参加反应,同时又产生新的自由基,新的自由基又参加反应,再产生新的自由基……不断往下传递,其反应过程是:
Cl·+H2→HCl+H·
H·+Cl2→HCl+Cl·
………………
链的终止:是自由基本身结合为正常分子的步骤。若自由基与器壁或其它分子碰撞耗散了能量而使链终止。
Cl·+Cl·+M(器壁或其它分子)→Cl2+M
根据链反应中链传递的方式不同,又可分为直链反应和支链反应。
【有效碰撞理论】有关反应速度的理论,是在气体分子运动论的基础上提出的。此理论的要点是:在气体反应中,化学反应发生的先决条件是反应物分子必须发生碰撞;但不是任何两种反应物分子之间的碰撞都能发生反应,只有少数分子的碰撞能发生反应,这种能够发生反应的碰撞称为有效碰撞。能发生有效碰撞的分子所具有的能量比整个体系内分子的平均能量要高出很多,才能发生有效碰撞。因此化学反应的速度主要取决于单位时间内有效碰撞的次数。
【有效碰撞】见有效碰撞理论条。
【过渡状态理论】也是一种有关反应速度的理论,是在统计力学和量子力学的发展中建立起来的。该理论的大意是:由反应物到产物必须经过一种过渡状态,即具有足够能量的反应物分子形成活化络合物的中间状态,反应物和活化络合物之间很快达到平衡,化学反应的速度由活化络合物的分解速度来决定。例如A原子和BC分子间的简单反应:
![]()
当A原子沿B—C轴线逐渐接近BC分子时,B—C间的化学键逐渐松弛,同时开始逐渐形成新的A—B键,在此过程中体系的位能增加,当形成过渡状态的活化络合物[A…B…C]≠时,体系的位能最高,活化络合物很不稳定,它可能分解变为产物,也可能重新变回反应物。由反应物变成活化络合物及由活化络合物变回反应物的速度都很快,在瞬间就能达到平衡,而由活化络合物分解变成产物的速度却是比较慢的,因此化学反应的速度取决于活化络合物分解的速度。
【活化分子】见有效碰撞理论条。
【活化能】活化能是化学动力学中的一种重要概念,1889年由瑞典物理化学家阿累尼乌斯(Arrhenius)首先提出。阿累尼乌斯总结了大量的实验数据,提出了经验公式
K=Ae-Ea'RT
式中K为速度常数,A为一常数通常称为“指前因子”或“频率因子”,R为气体常数,T为热力学温度,而Ea即为活化能。活化能的意义是:活化分子的平均能量与反应物分子平均能量之差。
在过渡状态理论中,活化能(能垒)是指反应物分子和活化络合物分子处于基态时的位能差,它不等于Ea。
【活化络合物】见过渡状态理论条。
【活化过程】在过渡状态理论中,由稳定的反应物分子过渡到活化络合物的过程叫活化过程。
【阿仑尼乌斯方程式】见活化能条。
【自由基】是一种具有未成对电子的原子或原子团,它们有很高的化学活性。自由基中的未成对电子用黑点“·”表示。例如原子氢H·、氢氧基HO·、甲基CH3·、乙酰基CH3CO·等。自由基是很不稳定的,它不能长期存在,很容易继续发生反应。某些稳定分子中也有不成对电子,如O2、NO、NO2等,但不称为“自由基”。
【催化剂】能改变化学反应速度而在反应前后本身的化学组成、化学性质及数量没有变化的物质称为催化剂。正催化剂能加快反应速度,负催化剂(阻化剂)能减慢反应速度。
【催化反应】有催化剂参加的反应。若催化剂和反应物同处于均匀的气相或液相中,称为均相催化。若催化剂和反应物不在同一相中,且反应仅在催化剂与反应物的界面上进行,则称为多相催化。还有一类催化反应叫生物催化,或称酶催化,它既不同于均相催化也不同于多相催化,而是兼有二者的某些特征。
【阻化剂】见催化剂条。
【均相催化】见催化反应条。
【多相催化】见催化反应条。
【载体】工业上常常将催化剂附着在一些多孔性物质上作为催化剂的骨架,这种物质就称为催化剂的载体。载体主要有以下的作用:
⑴将催化剂附着在载体上可使催化剂有较大的表面,从而提高其催化活性。
⑵附着在载体上的催化剂只是很薄的一层,因此可大大节省催化剂的用量,这对贵金属催化剂特别重要;
⑶增强了催化剂的机械强度。
⑷选择导热性较好的载体还可有助于催化剂散热,能延长催化剂的使用寿命。常用的载体有浮石、硅胶、硅藻土、活性炭等。
【助催化剂】本身没有催化作用或只有很小的催化活性,但将它和某种催化剂组合后能显著提高催化剂的活性、选择性并延长催化剂的使用寿命,这种物质叫助催化剂。例如合成氨所用的Fe催化剂中,加入少量的助催化剂K2O和Al2O3可使Fe的催化效率明显提高。
【自催化作用】不需外加催化剂,而由反应生成物起催化剂的作用,叫自催化作用。例如酸性高锰酸钾和草酸的反应中,反应生成物Mn2+离子就能起到该反应的催化作用:
2MnO4-+
这类反应开始时速度较慢,随后逐渐加快。
【催化剂的选择性】催化剂的选择性有两方面的含义:
⑴不同类型的反应需要选择不同的催化剂;即便是同一类型的反应,使用的催化剂也不一定相同,如SO2的氧化用的是V2O5催化剂,而乙烯氧化却用金属Ag催化剂。
⑵对相同的反应物,如果选用不同的催化剂,可以得到不同的产物,例如乙醇的分解:

从热力学观点分析,以上的反应都能自发地进行,某种催化剂只对某一特定反应有催化作用,并不能加速所有可能发生的反应。
【催化剂中毒】反应体系中含有少量杂质就能严重降低甚至完全破坏催化剂的活性,这种物质称为催化剂毒物,这种现象称为催化剂中毒。催化剂中毒现象有两类:
⑴暂时性中毒(或称可逆性毒化),如合成氨生产中的O2、H2O(气)、CO、CO2等杂质引起的中毒。只要不断用纯净的原料气吹过中毒的催化剂表面,就可使毒物除去。
⑵永久性中毒(或称不可逆毒化),如合成氨生产中的含硫化合物及PH3等属于永久毒物。这主要是因为这类毒物与催化剂表面形成了牢固的表面化合物。
七、电解质溶液、电化学
【电解质】溶于水或熔融状态下能导电的化合物。离子化合物和许多极性键化合物都是电解质。如酸、碱、盐等类物质。
【非电解质】一般系指在熔融状态或在水溶液中不能导电的化合物。非电解质都是共价化合物,大多数有机物及许多无机化合物,如非金属卤化物等。(但许多具有共价键的无机化合物溶于水则形成电解质溶液,如卤化氢。)
【电离】通常指电解质在水溶液中或熔融状态下,离解成阴、阳离子的过程。此外,气态分子或原子变为离子的过程也叫电离。
【强电解质】在水溶液中能完全电离的电解质。其水溶液具有较强的导电性,包括典型的离子键化合物及在水分子作用下能完全离子化的极性键化合物。强酸、强碱及大多数盐属于强电解质。
【弱电解质】在水溶液中只能部分电离的电解质称弱电解质。弱电解质在水溶液中,主要以分子状态存在,导电能力较弱,如弱酸、弱碱和几种汞盐及镉盐等。
【强酸】属于强电解质的酸类。如盐酸HCl、硝酸HNO3、硫酸H2SO4、高氯酸HClO4等。
【强碱】属于强电解质的碱类。如氢氧化钠NaOH、氢氧化钾KOH等。
【弱酸】属于弱电解质的酸类。如碳酸H2CO3、氢硫酸H2S、氢氰酸HCN等。
【弱碱】属于弱电解质的碱类。如一水合氨NH3·H2O、氢氧化铁Fe(OH)3等。
【电离平衡】在水溶液中弱电解质分子和离子间的平衡。例如醋酸的电离平衡:
![]()
【电离度】电离平衡时,在弱电解溶液中已电离的分子数占电离前分子总数的百分率。它可以表示弱电解质电离的程度,其算式如下:
电离度(a)=已电离的分子数/电离前分子总数×100%
不同的弱电解质,在相同浓度时,它们的电离度不同。电解质愈弱,电离度就愈小,因此,可用电离度表示弱电解质的相对强弱。同一电解质溶液,浓度愈小,电离度愈大。
【电离平衡常数】弱电解质在水溶液中存在电离平衡,跟化学平衡一样也可得到电离平衡常数,用Ki表示(弱酸的电离常数用Ka表示、弱碱的电离常数用Kb表示)。例如醋酸的电离平衡:

Ki的值与温度有关,而与浓度无关。一定温度下某弱电解质的Ki是定值,Ki越大表示电离程度越大。对同类型的弱酸或弱碱,比较其Ka或Kb值的大小,就可确定它们的相对强弱。如氢氟酸(HF)和氢氰酸(HCN)都是一元酸,前者电离常数Ka=6.5×10-4、后者的电离常数Ka=4.93×10-10,可知氢氟酸比氢氰酸强。
【阿累尼乌斯理论】即阿累尼乌斯电离学说。1887年由瑞典物理化学家阿累尼乌斯(Arrhenius)提出。其要点如下:电解质在水溶液中部分离解为自由移动的离子,即发生电离;溶液愈稀电离度愈大;电离过程是可逆的,分子电离成离子,离子又相互碰撞结合成分子,最后达到电离平衡。电离学说的提出揭示了电离平衡的实质,在此学说的基础上建立了酸碱理论。
【酸碱电离理论】阿累尼乌斯从他的电离学说的观点出发,把在水中能电离出氢离子的化合物称为酸,把在水中能电离出氢氧离子的化合物称为碱。如HCl、H2SO4、CH2COOH等都是酸;NaOH、KOH、Ca(OH)2等都是碱。根据这一理论,酸碱中和反应的实质就是酸电离产生的H+离子和碱电离产生的OH-离子,相互结合生成水的过程。如盐酸和氢氧化钠的中和
HCl+NaOH=NaCl+H2O
其离子方程式为:
H++
酸碱电离理论对化学科学的发展起了重大作用,但因把酸碱限制在水溶液中而有一定的局限性。以后酸碱理论又有了很大发展。
【稀释定律】对某弱电解质的稀溶液而言,此种弱电解质的电离度和溶液浓度的平方根成反比。其数学表达式为:
![]()
式中a为弱电解质的电离度,Ki为其电离常数,C为溶液的摩尔浓度。确切地说上式表达的只是一种近似关系。
【同离子效应】在弱电解质溶液中,加入与弱电解质具有相同离子的强电解质,而使弱电解质电离度减小的效应。例如浓度为0.1mol/l的醋酸(CH3COOH)溶液的电离度是1.33%,若加入醋酸钠(CH3COONa)晶体使溶液中醋酸钠浓度为0.1mol/l,此时醋酸的电离度降为0.018%。这是由于醋酸钠是强电解质在溶液中电离出大量的CH3COO-离子,使醋酸的电离平衡向形成醋酸分子一方移动的结果。在同离子效应发生的同时,也存在着盐效应(见盐效应),但盐效应对电离度的影响比同离子效应要小得多。
【盐效应】在弱电解质溶液中,加入其它强电解质盐时,使该弱电解质电离度增大的效应。例如0.1mol/l的醋酸溶液,醋酸的电离度为1.33%,若加入氯化钠,使溶液中NaCl的浓度为0.1mol/L,此时醋酸的电离度为1.68%。这是因为加入不含相同离子的强电解质,增大了溶液中离子的总浓度,使溶液中离子之间的相互牵制作用增强,离子结合为分子的机会减少,降低了分子化的速度,电离平衡向电离方向移动的结果。
在难溶电解质的沉淀溶解平衡体系中,加入可溶性强电解质而使沉淀进一步溶解的现象,也称为盐效应。
【水的离子积常数】简称水的离子积。纯水本身能够产生微弱的电离,存在着电离平衡:

对于纯净的水,其浓度为常数,因此Ki[H2O]也是常数,在298.15K时纯水中[H+]=[OH-]=1.004×10-7摩尔/升所以,在101325Pa,298.15K时,
Kw=Ki[H2O]=[H+][OH-]=(1.004×10-7)2≈10-14
Kw即水的离子积。水的离子积反映了在一定温度下水中H+离子和OH-离子的浓度间的关系。在任何水溶液中,水和它的离子(H+,OH-)之间的平衡是一种非常重要的平衡。在稀溶液中水的浓度可近似地看成为常数(近似等于纯水的浓度55.55摩尔/升),故在任何一种稀溶液中H+离子和OH-离子的浓度关系都服从水的离子积常数公式,[H+][OH-]=10-14。通过Kw,已知H+离子(或OH-离子)的浓度,就可计算出OH-离子(或H+离子)的浓度。
【pH值】水溶液中H+离子浓度的负对数。即
pH=-lg[H+]
pH值在0~14之间。
当[H+]=1摩尔/升时,pH=0;
[H+]=10-14摩尔/升时(此时[OH-]=1摩尔/升),pH=14;
[H+]=[OH-]=10-7摩尔/升时,pH=7。
根据pH值的大小可以判断溶液的酸碱性,pH=7是中性溶液,pH<7是酸性溶液,pH>7是碱性溶液。pH值通常用于表示浓度较小的溶液的酸碱度,当溶液中氢离子的浓度较大时,用pH值表示酸碱度反而不方便。
【缓冲作用】溶液能抵抗外加少量强酸、强碱或稀释的影响,而本身的pH值不发生显著变化的作用。
【缓冲溶液】能抵抗外加少量强酸、强碱或稀释的影响,而本身的pH值不发生显著变化的溶液。缓冲溶液有三种类型:弱酸及其盐(如HAc—NaAc)、弱碱及其盐(NH3·H2O—NH4Cl)、多元弱酸盐及其对应的次级盐(NaH2PO4—Na2HPO4),总之缓冲溶液由弱酸及其共轭碱组成(参见共轭酸碱条)。缓冲溶液具有缓冲能力的原因,以HAc—NaAc混和溶液为例:
HAc
H++Ac-
NaAc=Na++Ac-
当加入少量酸时,体系中Ac-与加入的H+结合成HAc分子,而体系中[H+]无明显增加,Ac-为体系中抗酸部分;当加入少量碱时,体系中的HAc能与之中和,体系中[OH-]亦无明显增加,HAc为体系中的抗碱部份。缓冲溶液的pH值(或pOH值)可按下式计算:

缓冲溶液的缓冲能力是有限的,一般说C酸(或C碱)和C盐的数值较大且浓度相近时能力最大,一般取C酸/C盐或C碱/C盐之值在0.1~10之间。缓冲溶液在工业、农业、医学、化学、生理学方面有重要用途,如土壤、人的血液中都有复杂的缓冲体系,从而保持一定的pH值,使植物正常生长,使人维持正常的生理活动。
【缓冲容量】衡量缓冲溶液缓冲能力的标准。通常指
【盐类的水解】盐的离子与溶液中水电离出的H+离子或OH-离子作用产生弱电解质的反应。由于形成盐的酸和碱的强弱不同,各种盐类水解进行的程度也各有差别。强酸强碱盐不发生水解;弱酸强碱盐水解溶液显碱性;弱碱强酸盐水解溶液显酸性;弱酸弱碱盐水解程度较大,溶液的酸碱性取决于水解产物的相对强弱。
【水解度】在一定温度下,盐溶解在水中,已经水解的盐的浓度与盐的起始浓度的比值,算式如下(水解度用h表示):
![]()
水解度的大小,主要决定于盐的本性,同时也受浓度、温度等因素的影响。对于同一种盐的溶液,降低浓度或升高温度可增大水解度。水解平衡也服从化学平衡规律,因此在盐溶液中加入一种与水解产物相同的物质可抑制水解,降低水解度。
【水解常数】水解平衡也是一种化学平衡,其平衡常数即水解常数。例如:
NaAc(强碱弱酸盐)的水解常数:
![]()
NH4Cl(强酸弱碱盐)的水解常数:
![]()
NH
![]()
以上各式中Kh为水解常数,Kw为水的离子积,Ka为弱酸电离常数,Kb为弱碱电离常数。
多元弱酸盐的水解,以Na2CO3为例,水解是分步进行的:
![]()
(式中Kh1为第一步水解常数,K2为该酸的二级电离常数)
![]()
(式中Kh2为第二步水解常数,K1为碳酸的一级电离常数)。因为Kh1》Kh2,所以第一步水解是主要的。
水解常数与水解度有如下关系:
弱酸强碱盐

弱碱强酸盐

弱酸弱碱盐

【酸碱质子理论】简称质子理论或质子论。1923年由丹麦的布朗斯特(Br
nsted)和美国的劳莱(Lowry)提出。质子理论认为,凡能给出质子(H+)的物质都是酸,凡能接受质子的物质都是碱。如HCl、NH4+、HSO4-等能给出质子,都是酸;Cl-、NH3、SO42-等能接受质子,都是碱。根据质子理论,酸和碱不是孤立的,它们存在着如下的关系:
![]()
这种对应关系叫共轭关系,称共轭酸碱对,右边的碱(B)是左边的酸(A)的共轭碱;而邹边A是B的共轭酸。例如在NH4+
NH3+H+中,NH4+和NH3就是一对共轭酸碱。由此可见,质子论不是从组成上区分酸碱,而是看这种物质(分子或离子)在反应中对H+的授受关系。如HCO3-在HCO3-—CO32-的共轭关系中是酸,而在H2CO3—HCO3-共轭关系中是碱:
![]()
据质子理论,酸碱反应的实质就是两个共轭酸碱之间质子传递的反应,如HCl和NH3的反应:

酸碱质子理论,扩大了酸碱的范围,是酸碱理论的发展,可以把电离理论中的电离、中和、水解、同离子效应等都包括在酸碱反应的范围内,看作是质子传递的酸碱反应。
电离,酸碱在水溶液中的电离,可看成它们与水分子间的质子传递,例如:

在酸碱质子反应中,水既可以接受质子是碱,又可以给出质子是酸。
中和,电离理论中的酸碱中和也是质子传递作用:

水解,质子理论中没有盐的概念,水解反应相当于质子理论中离子酸(或离子碱)与水之间的质子传递反应,例如:

【离子酸】酸碱质子理论中所说的酸(见酸碱质子理论),若是离子则称离子酸,若是分子则称分子酸。离子酸又分阳离子酸,如NH4+(NH4+=H++NH3);以及阴离子酸,如HCO3-(HCO3-=H++CO32-)。
【离子碱】酸碱质子理论中所说的碱(见酸碱质子理论),若是离子则称离子碱,若是分子则称分子碱。离子碱又分阳离子碱,如Fe(OH)2+;以及阴离子碱,如CO32-。
【共轭酸碱】见酸碱质子理论条。
【路易斯酸碱理论】又称酸碱电子理论。1923年由美国化学家路易斯(G.N.Lewis)提出。其要点是:凡是可以接受电子对的物质称为酸,凡是可以给出电子对的物质称为碱。故酸又称为电子对接受体,碱又称电子对给予体。按照路易斯的观点,酸碱反应的实质是配位键的形成并生成酸碱络合物。例如:


路易斯酸、碱的范围非常广泛,酸碱络合物包含很多类物质。凡是金属离子及氢离子都是酸,与路易斯酸结合的物质不管是阴离子或中性分子都是碱。所以大多数无机化合物都可看成是酸碱络合物,许多有机化合物也是如此。酸碱电子理论以电子对的授受来说明酸碱反应,更能体现物质的本质属性。但由于对酸碱的认识过于笼统,没有统一的酸碱强度的标准,因而有一定的局限性。
【电子对接受体】见路易斯酸碱理论条。
【电子对给予体】见路易斯酸碱理论条。
【路易斯酸】见路易斯酸碱理论条。
【路易斯碱】见路易斯酸碱理论条。
【软酸】路易斯酸中具有体积大、正电荷少、易极化、易失去电子、易形成共价性较强的键的物质。如Cu+、Ag+、Hg22-、Cd2+等属于软酸。软酸易与软碱生成稳定的络合物,软酸不易与硬碱生成络合物,或生成的络合物不稳定。
【软碱】路易斯碱中,具有电负性小、易失去电子、其低能轨道不饱和、易形成共价性较强的键的物质,如I-、CN-、S2O32-等属于软碱。软碱易与软酸生成稳定的络合物,软碱与硬酸不易生成络合物,或生成的络合物不稳定。
【硬酸】路易斯酸中具有体积小、正电荷多、不易失去电子、不易极化、易形成离子性较强的键的物质,如Li+、Na+、Ca2+、Mg2+、Fe3+等属于硬酸。硬酸易与硬碱生成稳定络合物,硬酸与软碱不易生成络合物,或生成的络合物不稳定。
【硬碱】路易斯碱中具有电负性大、不易极化、不易失去电子,而且低能轨道已饱和、易形成离子性较强的键的物质,如H2O、Cl-、OH-等属于硬碱。硬碱易与硬酸生成稳定的络合物,硬碱与软酸不易生成络合物或生成的络合物不稳定。
【沉淀溶解平衡】在溶液中,难溶电解质的溶解过程与其相应的离子结合为沉淀的过程之间的动态平衡。此时溶液已达到饱和,这是难溶电解质的饱和溶液中离子与未溶固体物质间的多相平衡。如难溶电解质AgCl的沉淀溶解平衡:
![]()
【溶度积常数】即难溶电解质在水溶液中达到沉淀溶解平衡时的平衡常数。例如:
![]()
因CaCO3是固体,其浓度是一定值,平衡常数表达式为:
Ksp=[Ca2+][CO32-]
Ksp就是溶度积常数,简称溶度积,它表示在难溶电解质的饱和溶液中,有关离子浓度的乘积在一定温度下是个常数。根据溶度积常数值可比较同类型的难溶电解质溶解度的大小,溶度积越小溶解度也越小。
【溶度积规则】用溶度积概念判断在一定条件下,某难溶电解质在溶液中沉淀能否生成或溶解的规则。在某难溶电解质溶液中,其离子浓度的乘积称为离子积,用Qi表示。在给定的溶液中Qi可能有三种情况:
⑴Qi=Ksp是饱和溶液
⑵Qi<Ksp是不饱和溶液,无沉淀析出,若体系中已有固体存在,沉淀会溶解,直至饱和(Qi=Ksp)为止。
⑶Qi>Ksp是过饱和溶液,有沉淀析出,直至饱和。
以上就是溶度积规则。溶度积规则有一定的局限性,如形成的难溶固体很少(少于每毫升10
【分步沉淀】在含有几种离子的溶液中,加入一种沉淀剂,根据溶度积规则,对同类型的难溶化合物,Ksp小的先沉淀,Ksp大的后沉淀,这种先后沉淀作用叫分步沉淀。例如在0.1mol/L的Cl-和I-溶液中逐滴加入AgNO3溶液,先生成AgI沉淀,后生成AgCl沉淀。利用分步沉淀的原理可将两种离子分离。沉淀的先后顺序除跟溶度积有关外,还与被沉淀离子的起始浓度有关。
【强电解质理论】又称德拜—休格尔理论。是1923年由物理化学家德拜(Debye)和休格尔(Hückel)提出。其要点是:强电解质在溶液中是完全电离的,但溶液中离子间又存在着一定的静电相互作用,溶液中的离子都被具有相反电荷的离子所包围,形成“离子氛”,因而影响到离子的运动速度和溶液的性质。这一理论解释了强电解质完全电离而其表观电离度又不是100%的矛盾。
【德拜—休格尔理论】见强电解质理论条。
【离子互吸理论】见强电解质理论条。
【表观电离度】系指通过实验测得的强电解质的电离度。强电解质的电离度和弱电解质的电离度的意义不同,强电解质的电离度反映了溶液中离子间相互牵制作用的强弱程度。
【活度】指电解质溶液中表观上某离子的浓度,又称有效浓度或校正浓度。它与实际浓度的关系是:
a=r·c
式中a为某离子的活度,c为该离子的实际浓度,r为活度系数(也有用f表示的)。活度表明体系与理想状态的偏差。
【活度系数】溶液的实际浓度除活度所得之商。对于理想溶液,r=1,此时a=c,活度等于浓度。在一般情况下r<1,且随浓度而变化,溶液浓度愈大,离子之间的牵制作用愈强,活度与浓度之间的差距愈显著;溶液浓度愈小,离子之间的牵制作用愈弱,活度与浓度之间的差距愈不显著,当溶液极稀时,由于离子间的相互作用变得十分微弱,而r趋近于1,活度与浓度趋于相等。
【有效浓度】见活度条。
【无限稀释】有两种含义:
⑴指溶液的浓度趋近于零的状态,在无限稀释时,所有的电解质全部电离,且离子间一切相互作用均可忽略。
⑵指溶液稀释到再加溶剂时无热效应的状态。
【电导】描述物体导电性能的物理量,其值是电阻的倒数,单位是“西门子”,用S表示。某物体的电阻愈小它的电导就愈大。
【电导率】又称比电导。可用来衡量和比较物体的导电性能。当物体的长度为
【离子淌度】又称离子迁移率。某种离子在一定的溶剂中,当电位梯度为每米1伏特时的迁移速率称为此种离子的淌度,单位是米2·秒-1·伏特-1。离子淌度是代表离子迁移速率特征的物理量。
【离子迁移率】见离子淌度条。
【离子强度】在电解质溶液中离子之间平均静电相互作用的一种量度,常用I表示,其定义式如下:
![]()
上式的含义是:某电解质溶液的离子强度等于每种离子的质量摩尔浓度mi与其价数Zi平方的乘积之和的一半。
【双电层】在两种不同物体的接触界面上,正负电荷分别排列成的一种面层,例如在金属和电解质溶液相接触的界面上,金属表面电荷层与液溶中的相反电荷的离子层就构成双电层,由于溶液中的离子的热运动,溶液中的一层又分为紧密层和扩散层。
【可逆电池】热力学意义上的可逆电池必须具备两个条件,即可逆电池在充电和放电时不仅物质的转变是可逆的,而且能量的转变也是可逆的。如果把放电时放出的电能全部储存起来并用它对电池充电,则能恰好使电池内化学反应体系及外界环境全部恢复原状。
一般意义的可逆电池就是指由于放电而被消耗的物质,可以通过充电使之再生的电池,此电池的充电反应恰好是放电反应的逆过程,如常用的铅蓄电池。
【可逆电极】构成可逆电池的电极。主要有以下三种类型:
⑴金属电极、氢电极、氧电极、卤素电极。金属电极是将金属浸在含有该种金属离子的溶液中构成,以符号M|M2+表示;氢电极、氧电极、氯电极,分别是将被H2、O2、Cl2的气流冲击着的铂片浸入含有H+、OH-、Cl-的溶液中构成,分别用符号(Pt)H2|H+或(Pt)H2|OH-、(Pt)O2|OH-或(Pt)O2|H2O,H+以及(Pt)Cl2|Cl-表示。
⑵微溶盐电极和微溶氧化物电极。微溶盐电极是将金属覆盖一薄层该金属的一种微溶盐,然后浸入含有该微溶盐负离子的溶液中构成,如银—氯化银电极,Ag—AgCl|Cl-;微溶氧化物电极是将金属覆盖一薄层该金属的氧化物,然后浸在含有H+或OH-的溶液中构成,如汞—氧化汞电极,Hg—HgO|OH-。
⑶氧化还原电极,由惰性金属如铂片插入含有某种离子的两种不同氧化态的溶液中构成,如Fe2+—Fe3+电极,(Pt)|Fe2+,Fe3+。
【半电池】每个可逆电极都可看成是一个半电池。
【盐桥】如果在一个电池中存在着两个电解质溶液的接界面,则在界面处也产生一个电位差,这叫液体接界电位。盐桥是消除液体接界电位的一种装置。两个半电池在构成电池时,电解质溶液不直接接触,而用盐桥沟通,盐桥是用浓KCl溶液和3%琼脂凝聚而成,由于K+和Cl-的迁移数很相近,在盐桥两侧形成两个数值小又几乎相等且符号相反的液体接界电位,使净接界电位降低到只有1~2毫伏,可以忽略不计。如果电池中电解质溶液能与KCl反应(如含Ag+),可采用KNO3或NH4NO3代替KCl做盐桥。
【原电池】通过氧化还原反应而产生电流的装置,也可以说是把化学能转变成电能的装置。有的原电池可以构成可逆电池,有的原电池则不属于可逆电池。
【标准电池】是一种电动势比较稳定,能保持长期不变的可逆电池。标准电池用来测定或校正电池的电动势。常用的是韦斯登(Westone)标准电池,它的正极是汞(Hg)和硫酸亚汞(Hg2SO4)的糊状物,下方放少量汞为与引出的导线保持良好的接触;负极是镉汞齐(Cd-Hg),在糊状物和汞齐上方分别放有CdSO4·83H2O晶体和它的饱和溶液。电极反应和电池反应分别为

这种电池的电动势很稳定,
【标准氢电极】把镀有铂黑的铂片放到氢离子浓度为1摩尔/升(严格地说应是活度aH+=1)的酸溶液中,在
【电极电位】将标准氢电极作为发生氧化作用的负极,而将待定某电极作为发生还原作用的正极,组成一个电池。(Pt)H2(pH2=101325Pa)|H+(aH+=1)||待定电极这个电池电动势的数值和符号就是待定电极电位的数值和符号,可以看出,电极电位是一相对值。通常把电极—溶液界面的电位差称为绝对电极电位。
【标准电极电位】又称标准电极电势,通常用
表示。以标准氢电极作为负极,某给定电极为正极组成电池,若此给定电极处于标准状态,即组成电极的离子浓度为1摩尔/升(严格地说,应是活度为1),气体的分压为101325帕(1大气压),液体和固体为纯态,此时电池的电动势就是给定电极的标准电极电位。标准电极电位的数值越大(正值越大),说明该电对中的氧化态的氧化性越强,标准电极电位的数值越小(负数的绝对值越大),说明该电对中的还原态还原性越强。标准电极电位有广泛的应用,例如可以判断氧化—还原反应的方向和程度,可以求算水溶液中发生的氧化还原反应的化学平衡常数,可以求算难溶盐的溶度积等。
【氧化—还原电对】氧化—还原反应可看成是两个半反应的总和,在每个半反应中氧化型物质和还原型物质组成一个氧化—还原电对。例如
![]()
![]()
在半反应⑴中,氧化型物质Zn2+和还原型物质Zn组成一个氧化—还原电对Zn2+/Zn;在半反应⑵中,氧化型物质Cu2+和还原型物质Cu组成一个氧化—还原电对Cu2+/Cu。实际上组成可逆电极的物质都是一个氧化—还原电对(见可逆电极)。
【参比电极】在测定某电极的电极电位时,必须与一个已知电极电位的电极构成一个电池,测定出此电池的电动势后,就可以计算出被测电极的电极电位。这种已知电极电位的电极,称为参比电极。如氢电极、甘汞电极、银—氯化银电极等。
【甘汞电极】是常用的一种参比电极。由汞和氯化亚汞(Hg2Cl2)在氯化钾水溶液中的饱和溶液相接触而成。常用的甘汞电极有三种:氯化钾溶液为饱和溶液的是饱和甘汞电极、氯化钾溶液浓度为1摩尔/升的是当量甘汞电极、氯化钾溶液浓度为0.1摩尔/升的是0.1摩尔/升甘汞电极。在298.15K时,当量甘汞电极的电极电位是0.2801伏。甘汞电极的制备和保存都很方便,电极电位很稳定,所以用途很广。
【氢醌电极】由铂(或金)电极和醌氢醌的水溶液构成。醌氢醌是醌和氢醌以等摩尔数相结合的物质,是墨绿色晶体,分子式为C6H4O2·C6H4(OH)2。这种电极用于测定溶液的pH值,其优点是操作简单,只需将少量醌氢醌加入pH待测液中(因醌氢醌溶解度很小),再插入一支光亮的铂电极,就构成了一个醌氢醌电极。这种电极在碱性溶液和浓盐溶液中不宜使用。
【玻璃电极】用于测定溶液pH值的电极。将一种特制的玻璃制成小球,球内盛pH值为定值的缓冲溶液,用铂丝做导线就构成玻璃电极。将玻璃电极浸入待测液中和一参比电极(通常用甘汞电极)组成电池,通过测定电池的电动势就可以算出待测液的pH值。用玻璃电极测定溶液pH值的装置叫pH计。玻璃电极具有不受溶液中氧化性物质及各种杂质影响的特点,所需待测液的数量也很少,操作简便,所以得到了广泛的应用。
【金属活动性顺序】目前中学化学教科书中按金属在水溶液中形成低价离子(指在水溶液中能比较稳定存在的简单离子)的标准电极电位顺序排列的。现行教材的金属活动性顺序是:

金属活动性顺序只是从热力学的角度指出了发生氧化—还原反应的可能性、趋势大小,而不能说明其反应的快慢。金属活动顺序是金属在标准状态下(金属为纯净的,金属离子在溶液中活度为1)的活动性顺序,是金属在水溶液中形成简单离子的活动性顺序,若介质改变活动性会有变化。在运用金属活动性顺序时,必须根据具体条件进行分析,才能得出正确的结论。
【能斯特方程】由德国物理化学家能斯特(Nernst)提出的对任何一种电池反应的电池电动势与电池本性和电解质浓度间的定量关系式,如:
![]()
电池电动势:
![]()
式中E为一定状态下电池的电动势,E0为该电池在标准状态下的电动势,即标准电动势
,R为气体常数,T为绝对温度,n为电子转移的摩尔数,F是法拉第常数96.487千焦/伏·摩尔。
当温度为298.15K时,能斯特方程为:
![]()
对某电极的电极电位的能斯特方程为:
![]()
当温度为298.15K时为:
![]()
【电势—pH图】在许多电极反应(即氧化—还原反应)中,H+或OH-的氧化数虽然没有变化,却参与了电极反应,它们的浓度对电极电位也有影响。以pH值为横座标,以电极电位为纵坐标,绘出电极电位随pH值变化的关系图,称为电势—pH图。例如水的电势—pH图,有两条线,位于下方的一条线称为氢线,表示水被还原放出氢气时,电极电位随pH值的变化;与氢线平行位于上方的一条线称为氧线,表示水被氧化放出氧气时,电极电位随pH值的变化。
【元素标准电势图】表明某一元素的各种氧化态之间标准电极电势变化关系的图。不同的氧化态按由高向低顺序排列,线上的数字是电对的标准电极电势,酸性介质中的电极电势用
表示,碱性介质中的电极电势用
表示。例如铁元素在酸性介质中的电极电势图:
![]()
元素标准电势图有广泛的应用,主要有:
⑴从已知电对求未知电对的标准电极电势,计算公式为
![]()
例如已知酸性介质中氯元素的标准电势图:

![]()
⑵判断某元素的中间价态能否发生歧化反应,如下列元素电势图中A为高价态,B为中间价态,C为低价态:
![]()
【电极的极化】在电流通过电极时,电极电位偏离平衡值的现象,称为电极的极化。电极极化在现实的电化学过程中是普遍存在的,主要有浓差极化和活化极化。
【过电位】为了表示出电极极化的状况,把在某一电流密度下极化电极电位与该电极的平衡电极电位之间的差值称为过电位(以η表示),η都取正值,则
![]()
【分解电压】电解时能使电流继续稳定地通过电解质,并使之开始电解的最低电压。分解电压的大小和电极性质,电解液组成、温度、电流密度等因素有关。
【超电压】电解时,实际所需的分解电压超过理论值(指两电极的可逆电动势)的那部分电压称为超电压。在一般情况下,气体的超电压都比较大,金属的超电压(除Fe、Co、Ni外)都比较小。对同一析出物来说,超电压也不恒定,如氢气在铁电极上析出时超电压较小,而在镍电极上析出时超电压就较大。在电解中超电压的存在造成多耗电能,是不利因素,但有时也能加以利用,如在微酸性的锌盐溶液中镀锌时,由于氢气的超电压较大,实际上在镀件上析出的是锌而不是氢气。
【法拉第电解定律】1833年英国物理学家法拉第(Fara day)发现;其要点是:
⑴电解时在电极上电解产物的量与溶液通过的电量成正比;
⑵当以相同的电量分别通过不同的电解质溶液时,在各电极上析出或溶去的物质具有相同的当量值。
现代关于电解定律的叙述是:1法拉第的电量(1摩尔电子的总电量是96487库仑,称为1法拉第,用F表示),可以析出或溶解相当于接受或给出1摩尔电子的物质。
【电解】即在直流电的作用下,电解质所发生的氧化—还原反应。电解池的阳极与电源的正极相连,电解池的阴极与电源的负极相连,通电时阳极发生氧化反应,阴极发生还原反应。电解有着重要的应用,许多基本化工产品的生产、稀有金属的冶炼、金属的精制、电镀等都要利用电解的方法。
【电镀】应用电解原理在金属制品或塑料制品表面镀上一层其它金属或合金的方法。电镀的目的主要是使金属增强抗腐蚀性、增加美观和制品表面硬度。镀层的金属或合金通常有:铬、锌、镍、银、铜锌合金等。电镀时,镀件为阴极,所镀的金属或合金为阳极,含有镀层金属离子的溶液为电解液。
【阳极氧化】利用电解方法使金属制品表面形成附着力很强的氧化物薄膜的过程。这层薄膜可防止金属的腐蚀,并可做金属着色的基底。此外,在电化学反应中,在阳极上发生的氧化反应有时也叫阳极氧化。
【化学电源】把化学能转变为电能并可做为电能来源的装置叫化学电源。日常使用的干电池、蓄电池等都是化学电源。
【干电池】指锌锰干电池,是常用的化学电源之一,是一次电池。负极是锌,正极是被二氧化锰包围着的石墨电极,电解质是氯化锌及氯化铵的糊状物。这种电池应用相当广泛,已有一百多年的历史,但对它的电极反应仍未彻底弄清楚,一般认为电极反应是:
负极 Zn+2NH4Cl—2e→Zn(NH3)2Cl2+2H+
正极 2MnO2+2H++2e→2MnOOH
总反应 Zn+2NH4Cl+2MnO2→Zn(NH3)2Cl2+2MnOOH
这种电池在开路时电压为1.5伏。
【蓄电池】指铅蓄电池,也是常用的化学电源之一,是二次电池。负极是海棉状铅;正极是涂有二氧化铅的铅板,电解质是比重约为1.28的硫酸水溶液。电池表示式为Pb—PbSO4|H2SO4|PbSO4—PbO2-Pb
电极反应和电池反应是
负极 Pb+SO42-—2e→PbSO4
正极 PbO2+H2SO4+2H++2e→PbSO4+2H2O
这种电池的电动势为2伏,电池内硫酸的浓度随着放电的进行而降低,当硫酸的相对密度降至约1.05时,电池电动势下降到约1.8伏,应暂停使用,以外加直流电源充电直至硫酸的相对密度恢复到约1.28时为止。蓄电池还有其它类型,如镍铁蓄电池,镍镉蓄电池等。
【银锌电池】一种高能化学电源,可做成蓄电池。负极是锌,正极是氧化银,电解质是40%的KOH溶液和K2ZnO2饱和溶液。电极反应和电池反应是:
负极 Zn+2OH-—2e→Zn(OH)2
正极 Ag2O+H2O+2e→2Ag+2OH-
![]()
银锌电池具有高的比能量,能大电流放电,因此适用于火箭、导弹和人造卫星、宇航等方面。
【燃料电池】一种高能化学电源,是将燃料和氧气反应时的化学能直接转变成电能的装置。电池的正极和负极都是用微孔导电材料制成(镍、铁、氧化铁等)的。以氢一氧燃料电池为例说明,电池表示式可写成:
(Ni)H2(气)|KOH(20~40%)|O2(气)(Ni)电极反应和电池反应为:
负极 H2+2OH--2e→2H2O
该电池的电动势与氢气和氧气的分压有关。燃料电池的能量利用率很高,氢氧燃料电池已实际应用在宇宙航行和潜艇中,它不仅能大功率供电,而且还具有可靠性高,无噪声以及能供给饮水等优点。
【电化学腐蚀】金属腐蚀的一种普遍形式。由金属接触到电解质溶液构成微电池而发生的金属腐蚀过程叫电化学腐蚀。电化学腐蚀中的微电池,其负极一般都是金属被氧化形成离子进入溶液。
如钢铁在潮湿空气中的腐蚀,Fe—2e=Fe2+。
【析氢腐蚀】电化学腐蚀的一种形式。通常在酸性溶液中、在氢气过电位较小的材料上容易发生。此时在微电池的正极发生的是析出氢气的反应:2H++2e→H2↑。
【吸氧腐蚀】电化学腐蚀的一种形式。通常在中性或碱性溶液中,以及溶液里溶有足够的氧气时发生。此时微电池的正极发生溶解的氧气被还原的反应:O2+2H2O+4e→4OH-。
【阳极保护】为防止金属腐蚀,将被保护的金属作为阳极,在一定条件下进行阳极氧化,使金属钝化(在金属表面形成金属氧化物组成的钝化膜),这种方法叫阳极保护。
【阴极保护】将被保护的金属变为阴极,以防止金属腐蚀的方法。阴极保护法有两种:
⑴外加电流的阴极保护法。把要保护的金属设备作为阴极与外电源的负极相连,另外用不溶性电极作为辅助阳极,与外电源的正极相连,两电极都与电解质溶液接触。通电后,大量电子被强制流向阴极,使金属制品表面产负电荷(电子)积累,只要维持足够的外加电压,由金属腐蚀而产生的原电池的电流就不能被输送,因而金属就可不被腐蚀。这种方法是经济、有效的防腐方法之一,目前在保护闸门、地下贮槽、输油管、电缆及受海水或淡水腐蚀的设备、结晶槽、蒸发罐等多采用这种方法防腐。
⑵牺牲阳极保护法。在要保护的金属设备上联结一种负电位更低的金属,作为更有效的阳极。这样,在发生电化学腐蚀时,被腐蚀的是作为阳极的金属,因此叫牺牲阳极保护法。这种方法可用来防止轮船船壳的腐蚀,通常在轮船的尾部和船壳水线以下部分装上一定数量的锌块作被牺牲的阳极。
【缓蚀剂保护法】是防止金属腐蚀应用得最广泛的方法之一,把少量的缓蚀剂加到腐蚀性介质中,就可使金属腐蚀的速度显著减慢,这种防腐方法叫缓蚀剂保护法。加入缓蚀剂可使微电池的阳极或者阴极(或二者)的极化增加,从而使腐蚀的速度减慢。缓蚀剂的种类很多,无机物有亚硝酸盐、铬酸盐、重铬酸盐、磷酸盐等,有机物有胺类、醛类、杂环化合物、咪唑啉类等。使用缓蚀剂时,要根据被保护的金属种类、腐蚀介质等条件来确定。
八、溶液、胶体
【分散体系】即分散系。一种或几种物质分散在另一种物质里所组成的体系。分散体系中被分散的物质称为分散质或分散相;分散其它物质的物质称为分散剂或分散介质。按分散相微粒的大小,常把分散体系分为三种:真溶液、胶体、粗分散系。分散系的另一种分类法,是按聚集状态区分,可分为九类:
|
|
⑴ |
⑵ |
⑶ |
⑷ |
⑸ |
⑹ |
⑺ |
⑻ |
⑼ |
|
分散介质 |
气 |
气 |
气 |
液 |
液 |
液 |
固 |
固 |
固 |
|
分散相 |
气 |
液 |
固 |
气 |
液 |
固 |
气 |
液 |
固 |
|
实例 |
空气 |
云雾 |
烟尘 |
各种泡沫 |
酒精水溶液 |
糖水 |
泡沫塑料 |
硅凝胶 |
合金 |
【分散剂】见分散体系条。
【分散介质】即分散剂。
【分散质】见分散体系条。
【分散相】即分散质。
【悬浊液】粗分散系的一种,是不溶性固体分散相以微小颗粒分散在液体物质中形成的分散体系。分散相微粒的线性大小在10-7~10
【乳浊液】粗分散系的一种,是互不相溶(或不完全相溶)的液体组成,液体分散相以微小珠滴分散在另一种液体物质中形成的分散体系。分散相的微粒的线性大小在10-7~10
【溶液】物质以分子或离子的状态,均匀地分布在另一种物质中形成的分散体系。分散相的微粒是分子或离子,其线性大小在10-9~10
【溶质】溶液中被溶解的物质叫溶质。溶质可以是气体、液体、固体。通常当气体或固体溶解在液体中时,气体或固体是溶质。如液体溶于液体时,以量少者为溶质。
【溶剂】溶液中使其它物质溶解的物质叫溶剂。通常当气体或固体溶解在液体中时,液体为溶剂。如液体溶于液体,以量多者为溶剂。根据溶剂分子的特征,溶剂有极性溶剂(如水)和非极性溶剂(如汽油、苯、四氯化碳等)之分。
【溶解】溶质分散在溶剂中形成溶液的过程。物质溶解在水里,通常发生两种过程:一种是溶质分子(或离子)的扩散过程,这种过程吸收热量,是物理过程;另一种是溶质分子(或离子)和水分子作用,形成水合分子(或水合离子)的过程,这种过程放出热量,是化学过程。因此,在溶解过程中往往伴有热量、体积及颜色的改变。例如,硝酸铵溶于水吸热多于放热,溶液的温度降低;硫酸溶于水放热多于吸热,溶液的温度升高;白色的无水硫酸铜溶于水形成蓝色溶液;酒精和水混和溶液总体积减小。
【结晶】晶体从溶液(液态或气态)中析出的过程。结晶也是常用的提取或提纯物质的一种方法。结晶的方法主要有减少溶剂和降低温度两种。前者用于温度对溶解度影响不大的物质,如用蒸发的方法从海水中提取食盐;后者用于温度对溶解度影响较大的物质,如从氯化钠和硝酸钾的混和溶液中提取硝酸钾。
【母液】在化学结晶或沉淀的过程中,分离出结晶或沉淀后,残余的饱和溶液。
【晶种】在结晶过程中加入的预先制成的晶体微粒。
【相似相溶规律】当物质溶解在溶剂中时,极性分子易溶于极性溶剂,非极性分子易溶于非极性溶剂。例如碘分子I2是非极性分子,碘易溶于四氯化碳,因为CCl4分子也是非极性分子,碘在水中的溶解度就很小,因为H2O分子是极性分子。而氨在水中的溶解度就很大,因为NH3分子和H2O分子都是极性分子。相似相溶规律是从大量事实总结出来的经验规律,不能说明所有物质的溶解情况。这一规律可以由分子间作用力和化学热力学的原理加以说明。
【溶解平衡】一般指在一定条件(温度、压力)下,固体溶质在液体溶剂中溶解的速度与溶液中溶质结晶析出的速度相等时的状态。溶解平衡也是一种动态平衡。
【饱和溶液】在一定温度和压力下,达到溶解平衡时的溶液。饱和溶液中新加入的溶质不能继续溶解,已溶解的溶质也不会析出。
【不饱和溶液】在一定温度和压力下,小于该条件下饱和溶液浓度的溶液。在不饱和溶液中加入新的溶质能继续溶解。
【过饱和溶液】在一定温度和压力下,大于该条件下饱和溶液浓度的溶液。过饱和溶液是个不稳定体系。在过饱和溶液中加入溶质后,新加入的溶质不能溶解,已溶解的部分溶质也会析出。过饱和溶液被振荡或用玻璃棒摩擦器壁,溶液中过量的溶质也会结晶析出。通常,过饱和溶液是在较高温度下的饱和溶液中加过量溶质缓慢冷却后得到的,十水合硫酸钠、硼砂、硫代硫酸钠等易形成过饱和溶液。
【溶解度】在一定温度和压力下,物质在一定量溶剂中溶解的最高量(即达到饱和溶液状态时所溶解的量)。固体或液体物质的溶解度,通常以
【溶液的浓度】一定量溶液或溶剂中所含溶质的量称为溶液的浓度。
【百分比浓度】即质量百分比浓度。用溶质的质量占全部溶液质量的百分比表示的溶液的浓度。溶液的百分比浓度用下式计算:
![]()
【体积比浓度】以液体试剂(原装)与溶剂体积之比来表示溶液浓度的方法。如将1体积原装的浓硫酸与5体积水混和得到的硫酸溶液浓度就是1:5,或记为(1:5)H2SO4。
【摩尔浓度】指体积摩尔浓度,以
![]()
【质量摩尔浓度】以
![]()
如在
【质量体积浓度】以每升溶液中含有多少克溶质来表示溶液浓度的一种方法。如某溶液的浓度为
【当量浓度】以
【ppm浓度】溶液的浓度用溶质质量占溶液质量的百万分之比来表示的叫ppm浓度,即每千克溶液中含溶质的毫克数。这种浓度表示方法常用于极稀的溶液(如植物生长刺激素溶液)或自然环境、食物中有害物质含量的表示。
【ppb浓度】溶液的浓度用溶质质量占溶液质量的十亿分之比来表示的叫ppb浓度,即每千克溶液中含溶质的微克数。这种浓度表示方法用于极稀的溶液和某些含量极低的物质。
【等渗溶液】指渗透压相等的两种溶液。如0.9%的生理盐水跟人体里的血液渗透压相等,它们是等渗溶液。
【胶体】即胶体分散系,指分散相微粒线性大小在10-3~10
【液溶胶】又称溶胶或胶体溶液,指分散介质是液体的胶体。如Fe(OH)3胶体、AgI胶体、墨水等。
【气溶胶】指分散介质是气体的胶体。如雾、云、烟等。
【固溶胶】指分散介质是固体的胶体。如烟水晶、有色玻璃等。
【胶体粒子】指胶体中的分散相微粒,又称胶粒。以液溶胶的胶体粒子为例分析,胶粒由胶核和吸附层组成,如在KI过量时形成的AgI胶体,AgI是胶核;胶核吸附了I-离子,I-离子叫电位离子,溶液中的反号离子K+有一部分进入吸附层,称反离子;还有一部分反离子疏散地分布在胶粒周围形成扩散层,见下图:

胶粒与扩散层一起组成胶团。若在制备AgI胶体时,AgNO3过量则胶粒、胶团的构成是:
![]()
【高分子溶液】高分子化合物溶于适当的溶剂中可形成高分子溶液。高分子溶液具有双重性质,一方面由于这种分散相微粒大小与溶胶粒子相近,表现出溶胶的某些特性;另一方面高分子溶液是分子分散体系,又有某些真溶液的特点。高分子溶液和胶体溶液有许多不同之处:
⑴高分子溶液是单相体系,胶体是多相体系。
⑵高分子溶液分散相极易溶剂化,这是因为高分子化合物组成中,常含有大量亲水基团,如—OH、-COOH、-NH2等,而胶体微粒的溶剂化能力比高分子化合物弱得多。
⑶高分子溶液中分散相微粒一般不带电荷,胶体微粒则是带电的,高分子溶液的稳定性是它的高度溶剂化起了决定性作用。
⑷高分子化合物溶解的过程就是溶剂化过程,当用蒸发的方法除去溶剂后再加入溶剂仍能自动溶解,它的溶解过程是可逆的,而胶体中的胶粒一旦凝聚,一般很难或者不能用简单加入溶剂的方法使之复原。高分子溶液还有一项与真溶液和溶胶都不同的特性,就是有较大的粘度。
【丁达尔效应】当一束光线通过胶体溶液或高分子溶液时,因分散质微粒的散射作用,在入射光垂直方向,可看到一条明显的光柱,这种现象称丁达尔效应。由英国物理学家丁达尔(Tyndall)首先发现。
【布朗运动】1827年由英国生物学家布朗(Brown)发现,悬浮在水里的花粉小颗粒在不停地进行着不规则运动。这种现象叫布朗运动。溶胶中的胶体微粒也在进行布朗运动,这是由于周围分散剂的分子从各方面不均匀地撞击胶体微粒和胶体微粒本身的热运动造成的。布朗运动的速度取决于微粒大小、温度及介质的粘度,微粒越小、温度越高、介质粘度越小,布朗运动的速度越快。
【电泳】在外电场的作用下,胶体微粒向阳极(或阴极)作定向移动的现象。如三硫化二砷的胶体微粒带负电,会向阳极移动;氢氧化铁胶体微粒带正电会向阴极移动。电泳在工业生产、医疗诊断等方面都有重要的应用。
【渗析】又称透析。利用半透膜(膀胱膜、肠衣、羊皮纸、玻璃纸等)使溶胶和其中混有的离子或分子杂质分开的过程。将混有杂质的胶体放入有半透膜的装置内,并将此装置放在溶剂(如水)中,半透膜的细孔只能使离子或分子透过而不能使胶体微粒通过,这就可以使杂质离子和分子从溶胶中分离出来。应用渗析的方法可以精制某些胶体。
【半透膜】见渗析条。
【聚沉】又称胶体的凝聚。胶体具有一定的稳定性,在一定条件下,可以保存较长时间。但胶体是热力学不稳定体系,有自发聚结下沉的趋势,只要减弱或消除使胶体稳定的因素,胶体微粒就能聚集成较大颗粒而沉降。使胶体微粒聚集成较大的颗粒而沉降的过程叫聚沉。使胶体聚沉的方法主要有:加入电解质、加热、加入带相反电荷的胶体等。
【盐析】在大量电解质的作用下,使高分子化合物从溶液中析出的过程。例如往血清中加入(NH4)2SO4当浓度约为2.0摩尔/升时,其中球蛋白析出,当浓度为3~3.5摩尔/升时,血清蛋白析出。盐析可以看作是电解质对高分子溶液的聚沉作用,但盐析和溶胶聚沉有以下不同:
⑴盐析时电解质的用量很大。
⑵盐析结果生成的沉淀用溶剂加以冲淡仍可形成溶液。
⑶离子的价数对盐析能力的影响程度不象溶胶聚沉那样显著。
⑷盐析与离子电荷符号无关。
【胶凝】大分子溶液在一定条件下,粘度会逐渐变大,以致失去流动性而使整个体系变成一种弹性半固体的“冻”状,这个过程称胶凝。
【凝胶】胶凝过程中形成的“冻”状体系叫凝胶。
【高分子电解质】有些高分子化合物在溶液中可以离解成离子,称为高分子电解质。其中最重要的就是蛋白质。蛋白质的一个重要特点是,同时具有多个羧基-COOH(在水溶液中可以给出H+离子)和多个氨基-NH2(可接受H+离子),因此蛋白质是一种两性大分子电解质。如果蛋白质在水溶液中分子里的羧基给出的质子被氨基夺去,就形成同时带有正负电荷的两性离子。
【等电状态】蛋白质处于正、负电荷相等时的状态。
【等电点】蛋白质处于等电状态时的水溶液的pH值。一般蛋白质在等电点时pH都不等于7。蛋白质溶液的性质与pH有很大关系,在等电点时蛋白质最不稳定,因为等电状态时蛋白质微粒总电荷为零,水化程度低,容易合并,蛋白质的其它性质如渗透压、导电性、粘度等在等电点也表现得最低或最小。
【表面活性物质】能显著降低水的表面张力的物质称为表面活性物质或表面活性剂。表面活性剂的一般分类是分离子型和非离子型。离子型表面活性剂又有三种:
⑴阴离子表面活性剂,如普通肥皂和洗衣粉(烷基磺酸盐)。
⑵阳离子表面活性剂,如十八胺盐酸盐和十二烷基二甲基苄基氯化铵等。
⑶两性表面活性剂,指同时具有阴离子和阳离子的表面活性剂,如氨基酸、氨基磺酸盐等。
⑷非离子型表面活性剂指在溶液中不电离,不生成离子的表面活性剂,如聚乙二醇型表面活性剂。
【乳化剂】乳浊液(或称乳状液)的稳定剂。乳浊液是热力学不稳定体系,要使它稳定就必需加入乳化剂,其作用是在分散相液滴的表面上形成界面膜或双电层,可以阻止小液滴的相互凝结。很多乳化剂是表面活性物质,如各类肥皂;也有些乳化剂不是表面活性物质,如Al(OH)3、 SiO2、陶土及石墨等固体粉末,由于它们能在相界面形成较坚固的界面膜,也可以形成稳定的乳状液。
【土壤胶体】土壤中呈胶体状态的物体。土壤胶体分有机胶体(如腐植质)、无机胶体(粘土矿物,如铝硅酸盐及铁、铝的含水氧化物等)、有机无机复合胶体三种。土壤胶体具有很大的表面积、在溶液中带有电荷,并有吸收、膨胀、收缩、分散、凝聚、粘结、粘着和可塑等特点。有机胶体吸收性较强,无机胶体则粘结性、可塑性较强,各种胶体在土壤中的存在量,对土壤性状和肥力都有很大影响。
九、络合物
【络合物】又称配位化合物。凡是由两个或两个以上含有孤对电子(或π键)的分子或离子作配位体,与具有空的价电子轨道的中心原子或离子结合而成的结构单元称络合单元,带有电荷的络合单元称络离子。电中性的络合单元或络离子与相反电荷的离子组成的化合物都称为络合物。习惯上有时也把络离子称为络合物。随着络合化学的不断发展,络合物的范围也不断扩大,把NH4+、SO42-、MnO4-等也列入络合物的范围,这可称作广义的络合物。一般情况下,络合物可分为以下几类:
⑴单核络合物,在1个中心离子(或原子)周围有规律地分布着一定数量的配位体,如硫酸四氨合铜[Cu(NH3)4]SO4、六氰合铁(Ⅱ)酸钾K4[Fe(CN)6]、四羧基镍Ni(CO)4等,这种络合物一般无环状结构。
⑵螯合物(又称内络合物),由中心离子(或原子)和多齿配位体络合形成具有环状结构的络合物,如二氨基乙酸合铜:

螯合物中一般以五元环或六元环为稳定。
⑶其它特殊络合物,主要有:多核络合物(含两个或两个以上的中心离子或原子),多酸型络合物,分子氮络合物,π-酸配位体络合物,π-络合物等。
【配位化合物】见络合物条。
【中心离子】在络合单元中,金属离子位于络离子的几何中心,称中心离子(有的络合单元中也可以是金属原子)。如[Cu(NH3)4]2+络离子中的Cu2+离子,[Fe(CN)6]4-络离子中的Fe2+离子,Ni(CO)4中的Ni原子等。价键理论认为,中心离子(或原子)与配位体以配位键形成络合单元时,中心离子(或原子)提供空轨道,是电子对的接受体。
【配位体】跟具有空的价电子轨道的中心离子或原子相结合的离子或分子。一般配位体是含有孤对电子的离子或分子,如Cl-、CN-、NH3、H2O等;如果一个配位体含有两个或两个以上的能提供孤对电子的原子,这种配位体称作多齿配位体或多基配位体,如乙二胺:
H2N—CH2—CH2—NH2,三乙烯四胺:H2N—C2H4—NH—C2H4—NH—C2H4—NH2
等。此外,有些含有π键的烯烃、炔烃和芳香烃分子,也可作为配位体,称π键配位体,它们是以π键电子与金属离子络合的。
【络离子】见络合物条。
【内界】在络合物中,中心离子和配位体组成络合物的内界,通常写在化学式的[ ]内加以标示,如:
![]()
【外界】络合物内界以外的组成部分称外界。如[Cu(NH3)4]SO4中的SO42-离子。外界离子可以是阳离子,也可以是阴离子,但所带电荷跟内界络离子相反。在络合物中外界离子与内界络离子电荷的代数和为零。
【配位数】在络合单元中,一个中心离子(或原子)所能结合的配位体的配位原子的总数,就是中心离子(或原子)的配位数。如[Fe(CN)6]4-中,Fe2+是中心离子,其配位数为4,二氨基乙酸合铜(见络合物)中Cu2+是中心离子,它虽然与两个二氨基乙酸离子络合,但是直接同它络合的共有4个原子(2个N原子,2个O原子),因此Cu2+的配位数也是4。
【配位原子】配位体中具有孤对电子并与中心离子(或原子)直接相连的原子。
【单齿配位体】又称单基配位体,是仅以一个配键(即孤电子对)与中心离子或原子结合的配位体。如[Ag(NH3)2]+中的NH3分子,[Hgl4]2-中的I-离子,[Cu(H2O)4]2+中的H2O分子等。
【单基配位体】见单齿配位体条。
【多齿配位体】又称多基配位体,若一个配位体含有两个或两个以上的能提供孤电子对的原子,这种配位体就叫多齿配位体。如乙二胺H2CH2—CH2—H2,乙二胺四乙酸酸根离子(EDTA):

【多基配位体】见多齿配位体条。
【螯合物】见络合物条。
【螯环】螯合物中所形成的环状结构。一般以五元环和六元环为稳定。
【螯合剂】能够提供多齿配位体和中心离子形成螯合物的物质。
【螯合效应】对同一种原子,若形成螯合物比单基配位体形成的络合物(非螯合物)要更加稳定,这种效应称作螯合效应。螯合物一般以五元环、六元环为最稳定,且一个络合剂与中心离子所形成的螯环的数目越多就越稳定。以铜离子Cu2+和氨分子及胺类形成的络合物为例:

【内轨型络合物】价键理论认为中心离子(或原子)和配位体以配位键结合,中心离子(或原子)则以杂化轨道参与形成配位键。若中心离子(或原子)以(n—1)d、ns、np轨道组成杂化轨道与配位体的孤对电子成键而形成的络合物叫内轨型络合物。如[Fe(CN)6]4-离子中Fe2+以d2sp3杂化轨道与CN-成键;[Ni(CN)4]2-离子中Ni2+以dsp2杂化轨道与CN-成键。内轨型络合物的特点是:中心离子(或原子)的电子层结构发生了变化,没有或很少有末成对电子,因轨道能量较低,所以一般内轨型络离子的稳定性较强。
【外轨型络合物】若中心离子(或原子)以ns、np、nd轨道组成杂化轨道与配位体的孤对电子成键而形成的络合物叫外轨型络合物。如[FeF6]3-离子中Fe3+以sp3d2杂化轨道与F-成键;[Ni(H2O)6]2+离子中Ni2+以sp3d2杂化轨道与H2O成键。有的资料把中心离子以ns、np轨道组成的杂化轨道和配位体成键形成的络合物也称作外轨型络合物,如[Zn(NH3)4]2+离子中,Zn2+以sp3杂化轨道与NH3成键。外轨型络合物的特点是:中心离子(或原子)电子层结构无变化,未成对电子数较多,因轨道能量较高,所以一般外轨型络合物的稳定性较差。
【低自旋络合物】含有较少的未成对电子的络合物,一般是内轨型络合物。这种络合物的中心离子的未成对电子数目,一般比络合前有所减少,如[Fe(CN)6]3-中,Fe3+离子在未络合前3d亚层有5个未成对电子:
![]()
而在此络离子中Fe3+离子的3d亚层上只有1个未成对电子:
![]()
【高自旋络合物】含有较多的未成对电子的络合物,一般是外轨型络合物。这种络合物的中心离子的未成对电子数目,在络合前后一般保持不变。如[FeF6]3-络离子中Fe3+离子仍含有5个不成对电子。
【络合平衡】溶液中存在的络离子(或络合分子)的生成与离解之间的平衡状态。例如:
![]()
当络离子的生成与离解达到平衡状态时,虽然两个相反过程还在进行,但它们的浓度不再改变。
【稳定常数】络合平衡的平衡常数。通常指络合物的累积稳定常数,用K稳表示。例如:
![]()
![]()
对具有相同配位体数目的同类型络合物来说,K稳值愈大,络合物愈稳定。
【逐级稳定常数】络合物的生成一般是分步进行的。对应于这些平衡也有一系列的稳定常数,每一步的稳定常数就是逐级稳定常数。例如,[Cu(NH3)4]2+的生成(或解离)分四步:
![]()
![]()
![]()
![]()
![]()
![]()
![]()
![]()
K1、K2、K3、K4就是[Cu(NH3)4]2+的逐级稳定常数,逐级稳定常数的乘积就是累积稳定常数。
K稳=K1·K2·K3·K4
lgK稳=lgK1+lgK2+lgK3+lgK4
【不稳定常数】络合物的不稳定常数用K不稳表示,与稳定常数成倒数关系:
![]()
以络合物的离解的方向为正方向,如:
![]()
![]()
对具有相同数目配位体的同类型络合物来说,K不稳愈大,络合物愈易离解,即愈不稳定。
【络酸】外界离子是氢离子,在溶液中能电离产生氢离子而显酸性的络合物。如氯铂酸即六氯合铂(Ⅳ)酸H2[PtCl6]:
H2[PtCl6]→2H++[PtCl6]2-
【络碱】外界离子是氢氧离子OH-,在溶液中能电离产生OH-而显碱性的络合物。如氢氧化四氨合铜(Ⅱ)[Cu(NH3)4](OH)2:
[Cu(NH3)4](OH)2→[Cu(NH3)4]2++2OH-
【络盐】又称错盐,指含有络离子的盐类。例如K4[Fe(CN)6]、[Ag(NH3)2]Cl、[Cu(NH3)4]SO4等。络盐中的络离子,在溶液中较稳定,很难离解,这是络盐和复盐的重要区别。
【错盐】见络盐条。
【维尔钠配位理论】1893年由瑞士化学家维尔纳(Wer-ner)提出。其要点是:
⑴一些金属的化合价除主价外,还可以有副价。例如在CoCl3·4NH3中,钴的主价为3,副价为4,即三个氯离子满足了钴的主价,钴与氨分子的结合使用了副价。
⑵络合物分为“内界”和“外界”,内界由中心离子与周围的配位体紧密结合,而外界与内界较易解离。例如CoCl3·4NH3可写成[Co(NH3)4Cl2]Cl,内界是[Co(NH3)4Cl2]+,外界是Cl-。
⑶副价也指向空间的确定方向。维尔纳的配位理论解释了大量的实验事实,但对“副价”的本质未能给以明确的解释。
【络合物的价键理论】络合物的化学键理论之一。其要点如下:
⑴中心离子(或原子)提供空轨道,配位体提供孤对电子,以配位键结合。
⑵中心离子(或原子)参与成键的空轨道都是杂化轨道,具有一定的饱和性和方向性。
⑶中心离子(或原子)提供杂化轨道接受配位体的孤对电子形成配位键时,由于采用的能级轨道不同,形成的络合物分为外轨型和内轨型。
若中心离子(或原子)以ns、np、nd轨道组成杂化轨道和配位原子形成配位键时,就叫外轨型络合物,如[FeF6]3-;中心离子(或原子)以(n-1)d、ns、np轨道组成杂化轨道和配位原子形成配位键时,则叫内轨型络合物,如[Fe(CN)6]4-。
【络合物的晶体场理论】络合物的化学键理论之一。是1923~1935年由培特(H.Bethe)和冯弗莱克(J.H.Van Vleck)提出了晶体场理论(CFT),本世纪50年代晶体场理论又发展成配位场理论(LFT)。晶体场理论的基本观点是:认为中心离子和配位体之间的相互作用是静电作用。它的要点如下:
⑴中心离子原来简并的d轨道在配位体电场的作用下,发生了能级分裂,有的能量升高,有的能量降低。分裂后,最高能量d轨道和最低能量d轨道之间的能量差叫分裂能。中心离子的d轨道能量在正八面体场中的分裂如下图所示:

中心离子的d轨道能量在正四面体场中的分裂如下图所示:

⑵分裂能Δ值的大小,主要受配位体的电场、中心离子的电荷及它属于第几过渡系等因素的影响。
⑶使本来是自旋平行分占两个轨道的电子挤到同一轨道上去必会使能量升高,这增高的能量称为成对能,用Ep表示。在弱配位场中Δ<Ep,d电子尽可能占据较多的轨道且自旋平行,形成高自旋络合物;在强配位场中Δ>Ep,d电子尽可能占据能量较低的轨道形成低自旋络合物。
【晶体场稳定化能】在晶体场理论中将d电子从未分裂的d轨道进入分裂的d轨道所产生的总能量的下降值,称为晶体场稳定化能(CFSE)。总能量下降愈多,即CFSE愈大(负值绝对值愈大),络合物就愈稳定。
【络合物的分子轨道理论】络合物的化学键理论之一。化学键的分子轨道理论的基本观点,在这里都是完全适用的。分析中心离子(原子)和配位体组成分子轨道,通常按下列步骤进行:
⑴找出中心离子(原子)和配位体的价电子轨道,按所组成的分子轨道是σ轨道还是π轨道分组,分别称为σ轨道和π轨道。
⑵将配位体中的σ轨道和π轨道分别重新组合成若干新轨道,这些新轨道称为群轨道,使得这些群轨道的对称性分别与中心离子(原子)的各原子轨道相匹配。
⑶将对称性相同的中心离子(原子)的原子轨道和配位体的群轨道组合成分子轨道。络合物的分子轨道理论可以得到和晶体场理论一致的结果,同时又能解释光谱化学系列、有机烯络合物的形成、羰基络合物的稳定性等方面的问题。
一、氢与水
【氢】元素符号H,原子序数1,原子量1.0079,核外电子排布式为1s1,氢的电离能为1306.47千焦/摩尔,电负性为2.1。氢在元素周期表中位于第一周期第Ⅰ主族或第Ⅶ主族。氢在自然界中有三种同位素,氕、氘、氚,其中氢-1(1H,氕)相对丰度为99.985%,氢-2(2H,氘也叫重氢)相对丰度为0.016%,这两种氢是在自然界中稳定的同位素。从核反应中还找到质量数为3的同位素氢-3(3H,氚,也叫起重氢),它在自然界中含量极微。氢在自然界中主要以化合物存在,其中以水和碳氢化合物为主,在大气中含量极微(体积百分比为5×10-5%),在地壳里的丰度为0.76%。根据光谱分析在太阳和某些星球的大气中含有大量氢气。1776年,英国化学家卡文迪许用金属跟酸作用时发现了氢。氢原子是结构最简单的原子。氢是元素中最轻的元素。氢气的分子式为H2,氢气在通常状况下为无色、无气味的气体,氢气的密度为
氢气有可燃性,它在空气中燃烧生成水并放出大量的热,当空气中含4.1~75%(体积百分比)氢气时,点火则发生爆炸。氢气跟氧气按一定比例混和时即得爆鸣气,因此,点燃氢气前必须检验氢气的纯度,保证安全。氢气可以跟氟、氯、溴、碘、硫、氮等很多非金属化合生成气态氢化物,其中氢为+1价。氢气还能跟一些碱金属、碱土金属化合生成固态金属氢化物如:LiH、NaH、KH、CaH2、BaH2等,在这些化合物中氢为-1价。这些氢化物属于离子型化合物。氢气有还原性,在一定温度下,氢气可以从某些金属氧化物或非金属氧化物中夺取氧。用氢气可使氧化钨还原为金属钨。在一定温度下,也可从某些金属氯化物或非金属氯化物中夺取氯,使金属或非金属还原出来。氢气还可跟不饱和烃及其衍生物发生加成反应。钯和某些合金如LaNi5等能大量“吸收”氢气,在一定条件下氢气又可以被释放出来,因此钯和这些合金可用做氢气的储运材料。
氢气或氢氦混和气体可用来充填气球,氢气可用来制燃料电池,液氢和液氧可用做火箭的高能燃料,氢原子焰可用来焊接金属。利用氢气的还原性可用来冶炼金属或制纯硅。氢气是重要的化工原料,可用于合成氨、合成盐酸以及有机合成等。
氢气可用下列几种方法制取:
⑴电解氢氧化钠水溶液,制得的氢气纯度较高(99.9%);
⑵甲烷转化法,甲烷和水蒸气在高温和镍、钴催化作用下转化成氢气和一氧化碳;
⑶水煤气法,用焦炭在高温下跟水蒸气反应;
⑷离子型金属氢化物如氢化钙跟水反应;
⑸用过渡金属络合物做催化剂,利用太阳能分解水制取氢气是发展氢能源的方向;
⑹在实验室中常用锌跟稀硫酸或稀盐酸作用制取少量氢气。
【重氢】符号21H(或D),又名氘(音刀),是氢的同位素,质量数为2,原子核中有一质子和一中子。常温下为气体,分子式为D2,分子量为4。沸点
重氢(氘)的化学性质跟氢(氕)相似,但活动性较氢差,跟氧化合生成重水(D2O),与氮化合生成重氨(ND3)。重氢主要存在于重水中,氢气中含重氢约0.02%。重氢通常通过电解重水,或者通过重水跟锌、铁、钙等反应制得。分馏液态氢,氕先蒸馏出来,剩下氘。人工加速的重氢原子核(即由一个质子和一个中子组成的原子核-氘核)能参与许多核反应。重氢(氘)和超重氢(氚)在极高温度(如1亿K)可发生核聚变反应生成氦,同时释放出巨大能量。核聚变反应也叫热核反应。重氢是制造氢弹的核材料,也是可控热核反应的核燃料。
【超重氢】符号31H或T,原子核由一个质子和两个中子组成,质量数为3,是氢的唯一的放射性同位素。在通常状况下T2是气体,熔点
【氕】氢的同位素,符号11H。原子核由一个质子组成,详见氢条。
【氘】氢的同位素,详见重氢条。
【氚】氢的同位素,详见超重氢条。
【水】分子式为H2O,水在地球表面上分布最广,约占地球表面的3/4,大气中含有水蒸气,土壤、岩石、动植物体中也含有大量的水,动物体中的水约占70%,新鲜植物体中的水分约占80~90%,地球上水的含量约有2×1018吨。
18世纪以前,人们认为水是一种单质,1781年英国化学家卡文迪许首先发现氢气在空气中燃烧生成的唯一产物是水,证明水是由氢、氧两种元素组成的化合物。几年以后,拉瓦锡测定了水的质量组成。近代结构理论证明,水分子呈V形结构。用X射线测定水的晶体(冰)结构,证明两个O—H键间形成104.5°的键角,由于水分子是不对称结构,故知水是极性分子。实验还证明,水分子通过氢键发生缔合,形成较复杂的分子集团,水沸腾时水蒸气中含有3.5%的双分子水(H2O)2,液态水中含有较复杂的(H2O)n分子(n可以是2、3、4…),这些较复杂的缔合水分子的化学性质和水(H2O)相同。
纯水是无色、无嗅、无味的液体,深层的天然水呈蓝绿色。水的热容为4.1868焦尔/克·度(1卡/克·度),在所有液态和固态物质中,水的热容最大。水在
![]()
常温下,水的电离常数为1.8×10-16,水的离子积Kw=1×10-14。
水是较稳定的化合物,在

水可以跟许多碱性氧化物如K2O、Na2O、CaO、BaO、MgO等化合生成碱,水可以和多种酸性氧化物SO3、SO2、CO2、P2O5等化合生成相应的酸。水还能跟某些盐或酯、糖等有机物发生水解反应。
水是一种广泛应用的溶剂,极性物质(如HCl、NaCl等)容易在水中溶解。
【重水】化学式D2O,是氢的同位素重氢(氘)和氧的化合物。式量20.31。普通水中约含重水0.015%。重水是无色、无嗅的液体,密度是
【双氧水】见过氧化氢条。
【过氧化氢】化学式H2O2,式量34。俗名双氧水。纯者为淡蓝色粘稠液体,密度
二、碱金属
【锂】元素符号Li,原子序数3,原子量6.94,核外电子排布式1s22s1,在元素周期表中第二周期第Ⅰ主族。在常温下是银白色金属,密度
【氧化锂】化学式Li2O,分子量29.88,白色立方晶体,密度
【氢氧化锂】化学式LiOH,分子量23.95。白色四方晶体,密度
【氢化锂】化学式LiH,分子量7.95。白色或浅灰色半透明晶体。见光迅速变暗。在常温或干燥空气中,较稳定。遇水迅速反应生成氢氧化锂和氢气而燃烧;遇低级醇或有机酸也能反应并放出氢气。不溶于乙醚、苯和甲苯等各种溶剂。熔点
【氯化锂】化学式LiCl,分子量42.44。白色晶体或粉末。易潮解,溶于水、醇、醚、丙酮、异戊醇和氢氧化钠溶液等。熔点
【碳酸锂】化学式Li2CO3,分子量73.88。白色单斜结晶或粉末,微溶于水,不溶于醇和丙酮。
【硝酸锂】化学式LiNO3,分子量68.94。无色结晶或白色结晶颗粒。易潮解,溶于水和醇。硝酸锂是强氧化剂,受热分解生成氧化锂、二氧化氮和氧气。硝酸锂常用做分析试剂,制造荧光体,溶解降温剂、制造锂盐等。
【硫酸锂】化学式Li2SO4
·H2O,分子量192。无色单斜结晶。溶于水,不溶于醇和丙酮。加热至
【氢化锂铝】化学式LiAlH4,分子量37.95。多孔的微晶性粉末。久贮能变成灰色,在干燥的室温下较稳定,在潮湿空气中易分解。易跟水或醇反应而放出氢气,氢气随即燃烧。加热至
【硼氢化锂】化学式LiBH4,又称锂硼氢,白色或灰色结晶粉末。有吸湿性,能溶于水。在干燥空气中稳定,在潮湿空气中分解,在碱性水溶液中缓慢分解。与甲醇作用生成硼甲氧化锂和氢气。跟氯化氢反应生成氢气、乙硼烷和氯化锂。还可用做强还原剂。由硼氢化钠和氯化锂作用而制得。
【云母】云母族矿物的总称。商业上称作“千层纸”。主要成分是钾、镁、铝、锂等的铝硅酸盐。单斜晶系,晶体常呈假六方片状,集合体为鳞片状。颜色随成分而异,有白色、黑色、褐色、绿色。有玻璃光泽,硬度2~3,解理平行底轴面,极完全,薄片具有弹性。根据成分不同,云母分为白云母、黑云母、锂云母、金云母等。白云母、金云母有优良的耐热性、电气绝缘性及耐酸碱腐蚀性,是重要的电气绝缘材料。锂云母是提取锂盐的重要材料之一。
【钠】元素符号Na,原子序数11,原子量22.99,核外电子排布式为1s22s22p63s1,在元素周期表中第三周期第Ⅰ主族,属于碱金属元素。固体原子体积
),离子半径0.095纳米(0.95
),第一电离势495.77千焦/摩尔,电负性0.9,固体密度
【氧化钠】化学式Na2O,式量61.98。白色固体,密度
2Na+Na2O2=2Na2O
6Na+2NaNO2=4Na2O+N2↑
5NaN3+NaNO3=3Na2O+8N2↑
【过氧化钠】化学式Na2O2,式量77.98,密度
![]()
淡黄色粉末(十分纯的为白色粉末),易水解,跟水反应生成氢氧化钠和过氧化氢,过氧化氢进一步分解生成水并放出氧气,过氧化钠溶液有强氧化性,可用作氧化剂、杀菌剂、漂白剂、消毒剂。过氧化钠溶于稀硫酸生成硫酸钠和过氧化氢,过氧化钠在潮湿空气中吸收二氧化碳并放出氧气同时生成碳酸钠,过氧化钠用于潜水艇中。工业上用钠在不含二氧化碳的干燥空气流中加热到300~400℃即可制得Na2O2。
![]()
![]()
【氢化钠】化学式NaH,式量23.998。白色晶体,属于离子晶体,类盐化合物,其中氢为负一价离子。加热时不稳定,不待熔化即分解,氢化钠跟水发生水解反应生成氢氧化钠并放出氢气。氢化钠是强还原剂,如在
TiCl4+4NaH=Ti+4NaCl+2H2↑
钠在氢气流中于300~400℃时化合生成氢化钠。
【氢氧化钠】化学式NaOH,式量40。俗称烧碱、火碱、苛性钠。白色固体、密度
【氯化钠】化学式NaCl,即食盐。式量58.44。无色立方晶体,常见的为白色晶体粉末,密度
【氟化钠】化学式NaF,式量41.99。白色粉末,易溶于水,水溶液显碱性,对玻璃有腐蚀性。熔点
【溴化钠】化学式NaBr,式量102.9。无色单斜晶体,密度
【碘化钠】化学式Nal,式量149.88。晶体为二水合碘化钠,化学式NaI·2H2O,式量185.92,无色晶体,有潮解性,易溶于水、乙醇和甘油。
【硝酸钠】化学式NaNO3,式量84.99,俗名智利硝石。无色六角晶系菱面体结晶,密度
【亚硝酸钠】化学式NaNO2,式量69。细小的无色或微黄色结晶,密度
【硫酸钠】化学式Na2SO4
,式量142.04。无色单斜晶体。密度
【亚硫酸钠】化学式Na2SO3,式量126.04。无色或白色结晶性粉末,易溶于水,微溶于醇。亚硫酸钠结晶水合物,化学式Na2SO3·7H2O,式量252.15,无色单斜晶体,密度
【硫代硫酸钠】俗名海波或大苏打。化学式Na2S2O3·5H2O,式量248.18。无色透明,单斜晶体,密度
Na2S2O3+H2SO4
=Na2SO4 +S↓+SO2↑+H2O
其水溶液可溶解溴化银或氯化银。
AgBr+2Na2S2O3=Na3[Ag(S2O3)2]+NaBr
因此,可用做照像的定影剂。海波有还原性,可用做去氯剂、媒染剂,还常用做分析试剂,如氧化-还原滴定剂。用亚硫酸钠溶液跟硫共煮后过滤、蒸发、结晶即得硫代硫酸钠晶体。
【硫化钠】化学式Na2S·9H2O,式量240.18。无色晶体,易潮解,能溶于水和乙醇。水解后溶液呈碱性,有腐蚀性,接触皮肤或角质时,能使之软化溶解并使毛发脱落。
【氯酸钠】化学式NaClO3,式量106.46。无色正交或三方晶系,密度
【高氯酸钠】化学式NaClO4·H2O,式量140.46。无色棱形晶体。密度
【次氯酸钠】化学式NaClO,式量74.45。没有无水状态的次氯酸钠。次氯酸钠的水溶液是碱性无色液体,能逐渐转化成氯化钠、氯酸钠和氧气,转化的速度取决于溶液的浓度及游离碱杂质的浓度,在光照或加热条件下反应进行的特别迅速。在真空中蒸发次氯酸钠溶液时,可以析出不稳定的NaClO·5H2O,它极易转变为NaClO·H2O,后者加热到
【氰化钠】化学式NaCN,式量49.01。无色立方晶体,熔点
【碳酸钠】俗名纯碱,苏打。无水碳酸钠的化学式Na2CO3,式量105.99。白色晶体。通常含有结晶水,有一水合物Na2CO3·H2O、七水合物Na2CO3·7H2O和一水合物Na2CO3·10H2O。无水物密度
【碳酸氢钠】也叫重碳酸钠或酸式碳酸钠,俗称小苏打。化学式NaHCO3,式量84。白色单斜棱柱晶体。密度
【磷酸钠】又称磷酸三钠。十二水合磷酸钠的化学式是Na3PO4·12H2O,式量380.12。无色三方晶体,密度
【磷酸氢二钠】别名磷酸二钠或磷酸一氢钠,化学式Na2HPO4·12H2O,式量358.14。无色正交或单斜晶系柱状晶体。密度
【磷酸二氢钠】别名磷酸一钠,化学式NaH2PO4·2H2O。式量156.01,无色正交系晶体,密度
【焦磷酸钠】化学式Na4P2O7·10H2O,式量446.05。无色透明晶体,在干燥空气中易风化,易溶于水,不溶于醇,水溶液呈碱性,
![]()
【四硼酸钠】化学式Na2B4O7·10H2O,式量381.37。别名硼酸钠、硼砂,无色单斜晶体,密度
【硅酸钠】别名偏硅酸钠,化学式Na2SiO3,式量122,无色晶体或白色粉末,不溶于醇或酸,水溶液呈碱性,跟酸反应可析出硅酸胶状沉淀。它的透明粘稠溶液叫做“水玻璃”,可用做粘合剂、防火剂、肥皂及纸张中的填料。用石英砂和纯碱共熔制成,反应式
![]()
【亚硝酸钴钠】化学式Na3Co(NO2)6·H2O,式量412.94。黄色或橙黄色结晶粉末,易溶于水,微溶于乙醇,可水解,加入乙酸可抑制水解。是钾的微量分析试剂。用氯化钴跟亚硝酸钠反应制得。
【醋酸钠】学名乙酸钠,化学式CH3COONa·3H2O,式量136.08。无色透明晶体,密度
【钨酸钠】化学式Na2WO4·2H2O,式量329.86。无色或白色结晶粉末。在干燥空气中风化。易溶于水,水溶液呈弱碱性,不溶于醇。无水物熔点
【钼酸钠】化学式Na2MoO4·10H2O或Na2MoO4·2H2O,有两种结晶水合物。白色晶体,易溶于水。加热到
【铀酸钠】化学式Na2UO4,式量348.01。橙黄色固体。不溶于水,溶于酸。用于制造荧光铀玻璃和陶瓷中的釉料,也用于制造其它铀化合物。
【铋酸钠】又称偏铋酸钠,化学式NaBiO3,式量279.97。黄色无定形粉末。不溶于水,在热水中水解,在酸性介质中有强氧化性。用来测定钢铁中的锰。三氧化二铋、氢氧化钠和次氯酸钠反应制得。
【苯甲酸钠】别名安息香酸钠,化学式C6H5COONa,式量144.11。白色颗粒或结晶粉末,易溶于水,微溶于醇,水溶液呈弱碱性。用做杀菌剂、防腐剂,制医药、染料,还用于植物遗传的研究。
【硫酸氢钠】化学式NaHSO4
·H2O,式量138.07。无色晶体。有潮解性,易溶于水,水溶液呈强酸性。熔点
【偏重亚硫酸钠】化学式Na2S2O5,式量190.1。白色结晶或粉末,有吸湿性,易溶于水和甘油,水溶液呈酸性,稍溶于乙醇。大于
【甲酸钠】化学式HCOONa·2H2O式量104.04。无色晶体,稍有甲酸气味。易溶于水和甘油,微溶于乙醇。熔点
【重铬酸钠】别名红矾钠,化学式Na2Cr2O7·2H2O,式量298,浅黄红色单斜晶系针状或片状晶体,高于
【钠汞齐】是钠和汞的合金,呈银白色,钠的含量在1%以下的汞齐为液体,含钠为1~2.5%者为面团状,含2.5%以上者为固体结晶。放置空气中,跟空气中的氧气和水反应,在表面上覆盖一层氢氧化钠薄膜。跟水反应,生成氢氧化钠放出氢气。钠汞齐比纯钠反应缓慢,用做还原剂,也用于制造氢气。将汞加热到150~200℃后加入钠,即可制得。
【苏打】见碳酸钠条。
【纯碱】见碳酸钠条。
【小苏打】见碳酸氢钠条。
【大苏打】见硫代硫酸钠条。
【海波】见硫代硫酸钠条。
【芒硝】见硫酸钠条。
【烧碱】见氢氧化钠条。
【苛性钠】见氢氧化钠条。
【硼砂】见四硼酸钠条。
【智利硝石】见硝酸钠条。
【水玻璃】见硅酸钠条。
【红矾钠】见重铬酸钠条。
【食盐】见氯化钠条。
【钾】元素符号K,原子序数19,原子量39.10,核外电子排布式1s22s22p63s23p64s1,位于第四周期第Ⅰ主族,银白色有金属光泽的金属,密度
![]()
钾在有机合成中用做还原剂。制电子管时常用钾来吸收真空管内剩余的氧气和水气。用钾来制钠钾合金,含77.2%钾和22.8%钠的合金熔点为
【氧化钾】化学式K2O,式量94.2。白色固体,密度
2KNO3+10K=6K2O+N2↑
【过氧化钾】化学式K2O2,式量110.2。白色无定形固体。熔点
【超氧化钾】化学式KO2,式量71.1。橙黄色晶体,熔点
2KO2+2H2O=2KOH+O2↑+H2O2
超氧化钾跟二氧化碳反应,放出氧气。
4KO2+2CO2=2K2CO3+3O2↑
常用于急救用的呼吸面具中。钾在过量空气中燃烧可生成超氧化钾。
【氢化钾】化学式KH,式量40.1。白色固体,属于离子晶体,盐型氢化物,其中氢为H-离子。不稳定,加热不待熔化即分解,和水作用放出氢气。
KH+H2O=KOH+H2↑
钾在300~400℃的氢气流中生成氢化钾。
【氢氧化钾】化学式KOH,式量56.11。亦称苛性钾。白色固体,密度
【氟化钾】化学式KF·2H2O,式量94.13。无色单斜结晶或白色结晶性粉末。可潮解,易溶于水,水溶液显碱性,不溶于醇。熔点
【氟化氢钾】化学式KHF2(或KH
【氯化钾】化学式KCl,式量74.55。无色等轴系晶体(常呈长柱状),密度
【溴化钾】化学式KBr,式量119.02。无色等轴有光泽晶体,密度
【碘化钾】化学式KI,式量166.01。无色或白色立方晶体或粉末,密度
【硫化钾】化学式K2S·5H2O,式量200.33,无色透明或浅黄色结晶。有潮解性。在空气中能逐渐氧化变质。溶于水,水溶液显碱性,溶于乙醇和甘油,不溶于醚。
【硝酸钾】化学式KNO3,式量101.10。无色晶体或白色粉末,密度
【亚硝酸钾】化学式KNO2,式量85.1,白色或浅黄色粒状结晶。有潮解性,密度
【硫酸钾】化学式K2SO4
,式量174.27。无色菱形晶体,密度
【亚硫酸钾】化学式K2SO3,式量158.25。白色晶体或粉末。易溶于水,微溶于醇。在空气中逐渐被氧化成硫酸盐,遇稀酸分解放出二氧化硫。应密封保存。可做印染工业的还原剂,照像用显影液或定影液的保护剂,羊毛、蚕丝的漂白剂,有机合成的加成剂等。将二氧化硫通入碳酸钾溶液即可制得。
【碳酸钾】化学式K2CO3,式量138.21。白色结晶粉末,密度
【碳酸氢钾】化学式KHCO3,式量100.119。无色单斜晶系晶体,密度
【磷酸钾】化学式K3PO4·7H2O或K3PO4·3H2O,前者式量为338.37,后者为266.31。白色结晶,有潮解性。易溶于水,水溶液呈碱性,不溶于乙醇。用做分析试剂,硬水软化剂,制造液体肥皂,用做肥料。在磷酸氢钾溶液中加入氢氧化钾溶液,结晶制得。
【磷酸氢二钾】化学式K2HPO4·3H2O,式量228.22。无色片状或针状晶体或白色颗粒。有潮解性,易溶解于水,水溶液呈弱碱性,易溶于乙醇。密度
【磷酸二氢钾】化学式KH2PO4,式量136.09。无色柱状晶体或白色粉末。易溶于水,水溶液显弱酸性。不溶于乙醇。熔点
KH2PO4=KPO3+H2O
用做分析试剂、缓冲剂、制药原料,还用于制压电元件、电光学元件。让磷酸跟氢氧化钾或碳酸钾在溶液中反应到呈弱酸性时,蒸发、结晶制得本品。
【氯酸钾】化学式KClO3,式量122.55。无色带珠光的小片,或为六角的单斜晶系晶体。在空气中稳定,溶于水,水溶液呈中性。密度
【高氯酸钾】化学式KClO4,式量138.56。无色透明菱形晶体,密度
【高锰酸钾】化学式KMnO4,式量158.03。俗名灰锰氧。黑紫色的菱形晶体,有金属光泽,密度
【锰酸钾】化学式K2MnO4,式量197.14。绿色细小菱形晶体,溶于水形成不稳定的溶液,在酸性溶液中易被空气中的氧气氧化成高锰酸钾。
【氰化钾】化学式KCN,式量65.12。无色立方晶体或白色粒状粉末。密度
KCN+2H2O=NH3↑+HCOOK
【硫氰酸钾】别名硫氰化钾,化学式KSCN,式量97.18。无色晶体,有潮解性,密度
【铁氰化钾】俗名赤血盐,化学式K3[Fe(CN)6],式量329.25,深红色晶体或黄色粉末,有毒。密度
【亚铁氰化钾】俗名黄血盐,化学式K4[Fe(CN)6]·3H2O,式量422.41。浅黄色单斜晶体。常温下稳定。密度
【硫酸铬钾】别名铬矾。化学式KCr(SO4
)2·12H2O,式量499.39。黑紫色有光泽的结晶或浅紫色颗粒或粉末。溶于水,溶液凉时为紫色。热时为绿色,不溶于醇。有毒。
【铬矾】见硫酸铬钾条。
【铬酸钾】化学式K2CrO4,式量194.20。黄色斜方晶体,密度
2K2CrO4+H2SO4 =K2CrO7+K2SO4 +H2O
铬酸钾加热变成红色,冷却后又重新变为黄色。用做氧化剂,媒染剂和金属防锈剂。还用于银、钡等的微量分析、鞣革、制药等。把磨细的铬铁矿跟氢氧化钾、石灰石一起煅烧后,再加入硫酸钾溶液,便可制得铬酸钾。
【重铬酸钾】化学式K2Cr2O7,式量294.18。别名红矾钾。红色单斜或三斜有光泽的晶体。密度
【过硫酸钾】别名过二硫酸钾。化学式K2S2O8,式量270.33。无色或白色细小的三菱形晶体,慢慢结晶时为大片晶体。密度
【草酸钾】别名乙二酸钾。化学式K
【碘酸钾】化学式KIO3,式量214.01。无色、无光泽或乳白色等轴晶体,密度
【溴酸钾】化学式KBrO3,式量167。无色结晶或粉末。溶于水,微溶于乙醇。密度
【氰化金钾】别名氰金酸钾。化学式KAu(CN)4,式量340.14。无色或微黄色晶体,易溶于水,微溶于乙醇,有毒,用于镀金。
【氯铂酸钾】化学式K2PtCl6,式量486。橙黄色晶体或粉末。微溶于水,不溶于乙醇。熔点
【赤血盐】见铁氰化钾条。
【黄血盐】见亚铁氰化钾条。
【硫氰化钾】见硫氰酸钾条。
【硝石】见硝酸钾条。
【苛性钾】见氢氧化钾条。
【红矾钾】见重铬酸钾条。
【过氯酸钾】见高氯酸钾条。
【过二硫酸钾】见过硫酸钾条。
【过锰酸钾】见高锰酸钾条。
【灰锰氧】见高锰酸钾条。
【山奶钾】见氰化钾条。
【乙二酸钾】见草酸钾条。
【铷】元素符号Rb,原子序数37,原子量85.47,核外电子排布式1s22s22p63s23p63d104s24p65s1,在周期表中位于第五周期ⅠA族。原子金属半径247.5皮米(Pm),离子半径147皮米,第一电离能405千焦/摩尔,电负性0.8,主要氧化数+1。银白色有金属光泽,质软,硬度为0.3,密度为
![]()
铷的沸点比钙低,便于分离收集。
【铯】元素符号Cs,原子序数55,原子量132.9,外围电子层排布6s1,原子半径265.4皮米,离子半径167皮米,第一电离能371千焦/摩尔,电负性0.7,主要氧化数+1,银白色金属,质软而轻,密度
![]()
加热叠氮化铯CsN3也可分解生成铯。
【钫】化学符号Fr,原子序数87,原子量223,外围电子层排布7s1,位于第七周期ⅠA族。是放射性元素,已知钫的同位素半衰期都很短,钫-223的半衰期最长仅有22分钟,其化学性质只能在痕量范围内研究,是最重最活泼的碱金属元素,盐类都是水溶性的。1939年法国佩里(女)首先从铀-235的蜕变产物中发现了钫的同位素钫-223,佩里为了纪念她的祖国,命名该元素为钫(原意法兰西)。
三、碱土金属
【铍】元素符号Be,原子序数4,原子量9.012,核外电子排布1s22s2,位于第2周期第ⅡA族,原子半径111.3皮米,离子半径35皮米,第一电离能905千焦/摩尔,电负性1.5。钢灰色金属,密度为
【镁】元素符号Mg,原子序数12,原子量24.312,外围电子排布为3s2,位于第3周期ⅡA族,原子半径160皮米,离子半径66皮米,第一电离能742千焦/摩尔,电负性1.2,氧化数为+2。银白色有金属光泽,密度
![]()
镁主要用于制造轻金属合金如镁铝合金,应用于航空、汽车工业,制造球墨铸铁,制铜合金,镍合金中用做除氧剂,还用于制烟火、闪光粉、镁盐等。1808年,英国戴维用电解法发现镁,希腊文原意为希腊地名“美格尼西亚”。镁是在自然界中分布很广的元素之一,在地壳中,镁的含量为1.4%。主要的镁矿有白云石,菱镁矿等。在海水中,镁的含量仅次于钠。用电解法电解熔融氯化镁制得。
【氧化镁】化学式MgO,式量40.31,又称苦土。白色粉末,密度
【氢氧化镁】化学式Mg(OH)2,式量58.32。白色无定形粉末。难溶于水,易溶于稀酸和铵盐溶液。饱和水溶液的浓度为1.9毫克/升(
【氯化镁】化学式MgCl2。常见的是六水合物,它的化学式为MgCl2·6H2O,式量203.30。晶体为无色易潮解的单斜晶体,有苦咸味。密度
【过氧化镁】化学式MgO2,式量56.32。白色粉末,不溶于水。溶于酸,生成过氧化氢。用做氧化剂、漂白剂,杀菌剂。用过氧化氢跟氧化镁反应或用氯化镁溶液跟过氧化钠反应制得。
【高氯酸镁】化学式Mg(ClO4)2,式量223.23。无水高氯酸镁为白色多孔物质,密度
【溴化镁】化学式MgBr2·6H2O,式量292.2,无色结晶或白色结晶颗粒。易潮解,味苦,易溶于水、乙醇和丙酮。无水溴化镁的密度为
【氟化镁】化学式MgF2,式量62.3,无色结晶或白色粉末。在灯光下发生紫色萤光。溶于硝酸,难溶于水和乙醇。熔点
【碳酸镁】化学式MgCO3·3H2O,式量135.38。无色有光泽细小针状晶体,密度
【碱式碳酸镁】化学式Mg(OH)2·4MgCO3·6H2O,式量503.66。白色质松体轻粉末,一般聚为易碎小团。难溶于水,不溶于乙醇,能溶于铵盐溶液。加热至
【醋酸镁】别名乙酸镁,化学式Mg(CH3COO)2·4H2O,式量214.48。无色单斜晶体,密度为
【硫酸镁】化学式MgSO4,式量120。白色晶体,它有多种结晶水化物,其中MgSO4·7H2O称泻盐,MgSO4·H2O称为硫酸镁石。七水硫酸镁的式量为246.46,无色正交或单斜棱柱形晶体,密度为
【硝酸镁】化学式Mg(NO3)2·6H2O,式量256.41。无色单斜晶体。密度
【氟硅酸镁】化学式MgSiF6·6H2O,式量274.51。白色结晶或粉末。易风化,溶于水,不溶于乙醇。热至
【泻盐】见硫酸镁条。
【硫酸镁石】见硫酸镁条。
【白苦土】也叫苦土,主要成分是氧化镁。
【卤盐】主要成分是氯化镁。
【镁砂】又称烧结镁砂,由菱镁矿、水镁矿或以海水与石灰乳反应制得的氢氧化镁,经高温煅烧而成,水化能力强。主要用于制碱性耐火材料,或镁砖、镁铝砖,含杂质多的用于铺炼钢炉底。
【镁剂】又称镁氧混和剂,是由氯化镁、氯化铵、氨水混和制成的透明无色溶液,能跟磷酸根离子或砷酸根离子形成白色的复盐沉淀。用于磷和砷的检验。
【镁橄榄石】主要成分是Mg2SiO4或2MgO·SiO2,白色带绿色或黄色,斜方晶体,密度
【镁质水泥】由轻质氧化镁粉跟氯化镁或硫酸镁溶液调制成的胶凝材料,硬化快,强度高,一般认为硬化作用主要由于碱式氯化镁或碱式硫酸镁的形成。可掺加木屑、刨花等填料制成人造大理石或刨花板等建筑材料。
【光卤石】矿物名。化学成分KCl·MgCl2·6H2O。亦称砂金卤石。正交晶体,通常成粗粒集合体。透明或微透明。密度
【绿柱石】矿物名。化学成分Be3Al2[Si6O13]。六方晶系,常呈柱状晶体。玻璃光泽。质硬而脆。含铬呈鲜绿色的称纯绿宝石(祖母绿),透明蓝色的称蓝宝玉,含铯显玫瑰色的称玫瑰绿柱石。主要用于提炼铍,也用于制工艺美术品。
【钙】元素符号Ca,原子量40.08,原子序数20,外围电子排布式4s2,位于第四周期第ⅡA族,原子半径197.3皮米,离子半径99皮米,摩尔体积
【氧化钙】化学式CaO,式量56.08。生石灰的主要成分。白色立方晶体粉末。密度 3.25~3
【氢氧化钙】化学式Ca(OH)2,式量74.09。俗称熟石灰或消石灰。白色粉末。密度
【过氧化钙】化学式CaO2,式量72.08。白色或微黄色粉末。难溶于水。溶于酸生成过氧化氢:
CaO2+2H+=Ca2++H2O2
常用作杀菌剂、防腐剂。由钙盐溶液跟过氧化钠或氧化钙与过氧化氢作用制得:
Ca2++Na2O2=2Na++CaO2
CaO+H2O2+7H2O=CaO2·8H2O
【氢化钙】化学式CaH2,式量42.096。白色粉末。离子型类盐化合物。加热时不到熔点便分解,跟水发生剧烈反应放出氢气:
CaH2+2H2O=Ca(OH)2+2H2↑
氢化钙有强还原性。常用做强还原剂,以及在野外工作时用来制氢气。钙在氢气流中加热可制得氢化钙。
【氟化钙】化学式CaF2,式量78.08。是氟石或萤石的主要成分。无色立方晶体,天然矿石中含有杂质,略带绿色或紫色。密度
【氯化钙】化学式CaCl2,式量110.99。无水氯化钙为白色多孔状熔块或颗粒。易潮解。熔点为
![]()
【溴化钙】化学式CaBr2,式量199.89。无水溴化钙为白色粒状物或结晶,易潮解,密度
【碘化钙】化学式CaI2,式量293.89。浅黄色晶体,易潮解,密度
【硫化钙】化学式CaS,式量72.14。无色立方晶体或浅黄色不透明物质,密度
2CaS+2H2O=Ca(HS)2+Ca(OH)2
氢硫化钙溶于水,氢氧化钙则析出沉淀。硫化钙跟水、二氧化碳反应,生成多硫化钙CaSx放出硫化氢。跟酸反应放出硫化氢。硫化钙用于制发光漆和硫脲等,皮革工业用作脱毛剂。由硫酸钙粉末跟焦炭在高温下还原制得:
![]()
【碳化钙】化学式CaC2,式量64.10。工业品呈灰色、黄褐色或黑色块状固体。密度
CaC2+2H2O=Ca(OH)2+C2H2↑
跟氮气在加热条件下生成氰氨化钙CaCN2
![]()
碳化钙用于制造乙炔,氰氨化钙提供有机合成原料。生石灰跟焦炭在电炉中反应制得碳化钙
![]()
【磷化钙】化学式Ca3P2,式量182.19。灰色块状物,溶于酸,不溶于乙醇、醚和苯,溶点约
Ca3P2+6H2O==3Ca(OH)2+2PH3↑
磷化钙用于制磷化氢、信号和烟火等的制造。
【碳酸钙】化学式Ca2CO3,式量100.09。无色正交晶体或白色粉末,密度
【硫酸钙】化学式CaSO4,式量136.14。白色固体或无色斜方晶体。易吸潮。密度
【硝酸钙】化学式Ca(NO3)2,式量164.09。无色立方晶体,密度
其中α-式,密度为
【氰氨化钙】化学式CaCN2,式量80.10。又称碳氮化钙,石灰氮。无色六方晶体,熔点
CaCN2+3H2O=CaCO3+2NH3↑
氰氨化钙是一种重要的氮肥,跟水、二氧化碳反应后方能被植物吸收。一般用做基肥,适用于酸性土壤,也用来做脱叶剂或除草剂。将氮气和碳化钙在电炉中加热至
【碳氮化钙】见氰氨化钙条。
【醋酸钙】化学式(CH3COO)2Ca·H2O,式量176.2。俗名醋石,别名乙酸钙。白色针状晶体或结晶性粉末,微有乙酸气味。溶于水,微溶于乙醇。加热时醋酸钙分解为碳酸钙和丙酮。
![]()
跟硫酸等反应生成醋酸。用于制丙酮、醋酸及印染业。工业上用木醋液(木材干馏产物)跟消石灰反应,蒸干滤液,再经重结晶制得醋酸钙。用纯醋酸跟纯碳酸钙反应可制得纯醋酸钙。
【氰化钙】化学式Ca(CN)2,式量92.12。无色晶体或白色粉末。在潮湿空气中分解生成氢氧化钙放出剧毒的氰化氢。溶于水及弱酸放出氰化氢。有毒。
【磷酸钙】别名磷酸三钙。化学式Ca3(PO4)2,式量310.18。白色无定形粉末。溶于稀盐酸、硝酸、磷酸、乙酸、亚硫酸,生成可溶性酸式磷酸盐,也能溶于铵盐溶液。不溶于水、乙醇和乙醚。熔点
【磷酸二氢钙】别名磷酸一钙,化学式Ca(H2PO4)2·H2O式量为252.07。白色三斜晶体。密度
【磷酸氢钙】别名磷酸二钙,化学式CaHPO4·2H2O,式量172.09。白色三斜晶体或粉末,密度为
【草酸钙】别名乙二酸钙,化学式(COO)2Ca·H2O,式量146.11。白色结晶性粉末。不溶于水和乙酸,溶于稀硝酸和盐酸。
【钨酸钙】化学式CaWO4,式量287.93。白色结晶,不溶于水。在热盐酸或硝酸中反应生成钨酸。熔点
【次氯酸钙】化学式Ca(ClO)2,式量142.98。白色晶体,密度
【漂白粉】由次氯酸钙、氯化钙和氢氧化钙组成的水合复盐。次氯酸钙是其有效成分(纯次氯酸钙又称漂白精)。白色粉末状物质,有氯气气味,这是因为漂白粉吸收空气中的水和二氧化碳,在光照条件下分解,放出游离氯,漂白粉即失效,反应式为
Ca(ClO)2+H2O+CO2=CaCO3+2HClO
2HClO=2HCl+O2↑
Ca(ClO)2+4HCl=CaCl2+2Cl2↑+2H2O
漂白粉有较强的氧化性和漂白作用。通常漂白粉中的有效氯(即一定量的漂白粉跟过量酸作用放出氯气所占样品重量的百分数)约含35%。漂白粉可用于漂白棉、麻、纸浆,也是一种廉价有效的消毒剂、杀虫剂。将氯气通入消石灰中,经干燥制得。
【漂白精】见次氯酸钙条。
【漂白液】通常指次氯酸钙或次氯酸钠液。将氯气通入石灰乳或烧碱溶液中得到的混和物溶液。广泛地用于漂白织物和纸浆。
【碱石灰】又称钠石灰。是氢氧化钠和氧化钙的混和物,白色粉状或颗粒状。能吸收二氧化碳和水分。用做气体的干燥剂和二氧化碳的吸收剂。用浓氢氧化钠溶液跟氧化钙颗粒混和后。在200~250℃时干燥制得。
【电石】见碳化钙条。
【沸石】又称泡沸石。系一系列含结晶水的钠、钙、钡、锶和钾的铝硅酸盐矿物的总称。如钠沸石(Na2O·Al2O3·2SiO2)(H2O)。色浅,具有铝硅酸盐四面体网状结构。密度2.0~2
【磷酸三钙】见磷酸钙条。
【磷酸二钙】见磷酸一氢钙条。
【磷酸一钙】见磷酸二氢钙条。
【醋石】见醋酸钙条。
【生石灰】见氧化钙条。工业用石灰石经石灰窑煅烧后生成的氧化钙叫生石灰。
【熟石灰】见氢氧化钙条。
【消石灰】见氢氧化钙条。
【过磷酸钙】是磷酸二氢钙跟硫酸钙的混和物,灰褐色颗粒状固体,农业上用做磷肥,其中有效成分是磷酸二氢钙。工业上用磷灰石矿粉跟浓硫酸按一定比例混合制得:
Ca3(PO4)2+2H2SO4=Ca(H2PO4)2+2CaSO4
【钠石灰】见碱石灰条。
【大理石】主要成分是碳酸钙。天然产者呈粒状或结晶形。由极细的方解石或白云石的结晶组合而成。质地较硬致密,有良好的磨光性。洁白的汉白玉也是一种大理石。主要用做建筑材料,室内装饰材料,细粉可用作橡胶,油漆的填料。
【方解石】主要成分是碳酸钙。无色有玻璃光泽的透明晶体,含杂质者呈淡黄色,玫瑰色或褐色。三方晶系。成菱面体和偏三角体,三向完全解理。密度为2.6~2
【白云石】主要成分是CaMg(CO3)2或CaCO3·MgCO3,常呈白色、黄色或灰白色。密度
【白垩】主要成分是碳酸钙,白色或灰白色固体。质地松软,容易破碎。是生物有机质形成的沉积岩,由方解石质点和有孔虫、软骨动物和球菌类的方解石质碎屑组成。用作制造石灰、水泥、玻璃、陶瓷、粉笔,以及橡胶、油漆、纸张的填料等。
【石灰石】主要成分是碳酸钙,是由方解石组成的一种矿石,含有石英、白云石和粘土等杂质。因含有不同的杂质,颜色有灰白色、灰色、灰黑色、浅黄色,褐色或浅红色等,密度为2.2~2
【石灰水】氢氧化钙的水溶液。
【石灰乳】氢氧化钙跟水组成的白色悬浊液,可用来粉刷墙壁、消毒杀菌等。
【石灰氮】见氰氨化钙条。
【萤石】主要成分是氟化钙CaF2,又称氟石。含氟的主要矿石。因有显著的萤光现象而得名。常呈立方体、八面体、菱形十二面体等不同晶体,萤石为致密的块状矿石。因含不同的杂质而呈无色、灰色、黄色、绿色、紫色等。透明,有玻璃光泽,质脆,密度3.01~3
【石膏】又称生石膏,主要成分是CaSO4·2H2O。常见的硫酸盐矿物。系无色、白色、灰色、淡黄色、粉红色、透明或半透明的单斜晶体。有玻璃光泽,常为块状,纤维状或片状,完全解理,质脆、密度
【熟石膏】主要成分CaSO4·H2O,白色粉状固体。由生石膏CaSO4·2H2O,在
【重过磷酸钙】即磷酸二氢钙Ca(H2PO4)2,是用磷酸跟磷灰石(主要成分是磷酸钙)混合制得
Ca3(PO4)2+4H3PO4=3Ca(H2PO4)2
主要用作磷肥,但不能跟碱性肥料或石灰混合施用,否则会转化成难溶于水的磷酸钙。
【亚硫酸钙】化学式CaSO3·2H2O,式量156.17。白色结晶性粉末,微溶于水,易溶于二氧化硫饱和溶液,生成易溶的亚硫酸氢钙Ca(HSO3)2。在空气中易被氧化生成硫酸钙。用作分析试剂,还用于纺织工业和造纸工业。由熟石灰跟二氧化硫反应制得。
【锶】元素符号Sr,原子序数38,原子量87.62,外围电子排布式5s2,位于第五周期第ⅡA族。是一种银白色有光泽的金属质软,容易传热导电。密度
【氢氧化锶】化学式Sr(OH)2·8H2O,式量265.76。无色结晶或白色粉末。易潮解,在空气中吸收二氧化碳成碳酸盐,在干燥空气中能失去七个分子结晶水。溶于热水和酸,微溶于冷水。用于制备各种锶盐。
【硝酸锶】化学式Sr(NO3)2,式量211.63。无色晶体或白色粉末。易潮解,易溶于水,微溶于乙醇和丙酮,遇高温或与硫、磷及有机物接触、摩擦或撞击能引起燃烧或爆炸。熔点
【碳酸锶】化学式SrCO3,式量147.63。白色粉末,不溶于水,微溶于含二氧化碳的水和铵盐溶液。加热至
【氯化锶】化学式SrCl2·6H2O,式量266.62。白色针状晶体,味苦,在干燥空气中风化,在潮湿空气中潮解。溶于水,微溶于乙醇和丙酮。热至
【钡】元素符号Ba,原子序数56。原子量137.33,外围电子排布式6s2,位于第六周期第ⅡA族。银白色金属,略有光泽,有延展性,密度为
【氧化钡】化学式BaO,式量153.34。白色固体,有毒,密度
【过氧化钡】化学式BaO2,式量169.34,白色或微带灰色的粉末,在空气中吸收二氧化碳生成碳酸钡放出氧气,跟酸反应生成盐和过氧化氢。跟有机物接触、摩擦或撞击,能引起燃烧或爆炸。熔点
【氢氧化钡】化学式Ba(OH)2,式量171.36。白色无定形粉末,溶于水,微溶于乙醇。熔点
【氯化钡】化学武BaCl2,式量208.25。无色单斜晶体。密度
BaSO4+
BaSO4+4CO=BaS+4CO2↑
2BaS+2H2O=Ba(HS)2+Ba(OH)2
Ba(HS)+2HCl=BaCl2+2H2S↑
Ba(OH)2+2HCl=BaCl2+2H2O
【硝酸钡】化学式Ba(NO3)2,式量261.35。无色立方晶体或白色粉末、有毒、密度
【碳酸钡】化学式BaCO3,式量197.35。六角形微细晶体或白色粉末。不溶于水,密度
【硫酸钡】化学式BaSO4,式量233.4。白色斜方晶体。密度
【重晶石】天然产硫酸钡矿石。无色透明晶体,含有杂质时呈现白色、灰色、红色、黄色或褐色。有玻璃光泽,斜方晶体,多为板状,也有柱状,完全解理,质脆,密度4.3~
【硫化钡】化学式BaS,式量169.4。黄色或黑红粉末。有硫化氢气味。遇水逐渐水解为硫化氢和氢氧化钡。含有微量杂质时则发磷光。有腐蚀性。用于制无砷硫化氢。加硫剂,制造钡盐、发光粉的基质。硫酸钡跟煤粉混和煅烧、分离提纯即得。
【钡白】见硫酸钡条。
【氯酸钡】化学式Ba(ClO3)2·H2O,式量322.26。无色晶体或白色粉末。溶于水,微溶于乙醇和丙酮。迅速加热或跟碳末、硫、磷、有机物混合撞击会发生爆炸。用做分析试剂、氧化剂、还用于染料工业,绿色焰火和炸药的配制。
【镭】元素符号Ra,原子序数88,原子量226.03。外围电子排布7s2,密度
四、第Ⅲ主族
【硼】元素符号B,原子序数5,原子量10.81,外国电子排布式2s22p1,位于第二周期第ⅢA族。天然存在的硼由两种稳定的同位素硼-10(19.78%)和硼-11(80.22%)组成。硼有无定形和结晶形两种单质,无定形硼为棕黑色或黑色粉末;结晶形硼为乌黑色或银灰色有光泽,硬度与金刚石相近。共价半径82皮米,离子半径20皮米,电离势800.0千焦/摩尔,电负性2.0,主要氧化数+3。无定形硼密度
无定形硼的化学性质比较活泼,室温时在空气中缓慢氧化,
![]()
硼和氧的亲和力很强,它能从许多金属氧化物或非金属氧化物中夺取氧,所以硼可做还原剂。硼跟某些金属化合生成金属硼化物。硼很难和氢化合。硼不跟盐酸和氢氟酸反应。但可被浓硫酸或浓硝酸氧化:
B+3HNO3=H3BO3+3NO2↑
2B+3H2SO4=2H3BO3+3SO2↑
硼跟氢氧化钠溶液反应生成偏硼酸钠并放出氢气:
2B+2NaOH+2H2O=2NaBO2+3H2↑
硼跟硅在
![]()
将氢气和三溴化硼或三氯化硼的混合气体通过1200~1400℃的钨丝或钽丝可得到硼:
![]()
电解熔融的KBF4,可以得到更纯的硼。
【三氟化硼】化学式BF3,式量67.82。无色有刺激性气体。非极性分子。不能燃烧,溶于乙醚成暗褐色液体。在潮湿空气中易水解。沸点
【氧化硼】别名三氧化二硼,化学式B2O3,式量69.62。无色透明玻璃状固体或正交晶体。有吸湿性。溶于酸、碱溶液和乙二醇。溶于水成为硼酸。熔点
【硼烷】又称硼氢化合物,这是一系列硼跟氢组成的化合物的总称。硼烷分子有两种类型:BnHn+4和BnHn+6,前者较稳定。现在已制得二十多种硼烷。其中乙硼烧B2H6、丁硼烷B4H10在室温下为气体,戊硼烷B5H9或已硼烷B6H10为液体,癸硼烷为固体。乙硼烷易溶于乙醚,其余多数溶于苯。加热时易分解成硼和氢气,多数硼烷在空气中能自燃,硼烷燃烧时放出大量的热,所以可用作火箭的高能燃料,但这类物质毒性大,在一般条件下燃烧不完全。硼烷水解时放出大量的热
B2H6+6H2O=2H3BO3↓+6H2↑
乙硼烷有强还原性,可作还原剂。它跟氢化锂反应生成更强的还原剂硼氢化锂,用于有机合成:
![]()
乙硼烷可用硼的卤化物在乙醚溶液中跟氢化铝锂LiAlH4反应制得。将乙硼烷加热到100~250℃得其它高硼烷。
【硼酸】化学式H3BO3,式量61.83。无色略带珍珠光泽的三斜晶体或白色粉末。密度

硼酸在医药上用作消毒剂、收敛剂,食物的防腐剂。工业上大量地用于制搪瓷、玻璃、光纤。化学上用作分析试剂,缓冲剂,还应用于照像和电子工业。硫酸跟硼砂溶液反应可析出硼酸沉淀。
【铝】元素符号Al,原子序数13,原子量26.98,外围电子排布式3s23p1,位于第三周期第Ⅲ A族。金属半径143.1皮米,离子半径51皮米,第一电离能577.4千焦/摩尔,电负性1.5,氧化数+3。银白色有光泽金属,质轻,有良好的延展性和传热导电性,熔点
![]()
铝可溶于强碱溶液中生成偏铝酸盐并放出氢气。
2Al+2NaOH+2H2O=2NaAlO2+3H2↑
纯铝可用于制电线、电缆。铝大量用于制合金、电器设备、建筑设备、机械、化工设备:汽车、飞机、宇航飞行器、日用器皿等。铝粉(俗称“银粉”)用于配制油漆、烟火等。铝在自然界主要以铝硅酸盐的形式存在,如长石、云母、高岭土等。铝矿石主要有铝土矿(Al2O3·nH2O)和冰晶石(Na3AlF6)。1827年德国化学家维勒把无水氯化铝跟钾放在铂坩埚里密闭加热得到粉末状铝。工业上用电解氧化铝跟冰晶石的熔融混合物制得铝。
【铝镍合金】别称雷氏合金,具有活性较高的催化性能,干燥的铝镍合金在空气中能自燃,应保存在无水乙醇中。它是一种还原或加氢反应的催化剂,多用于有机合成中。
【氧化铝】化学式Al2O3,式量101.96。矾土的主要成分。白色粉末。具有不同晶型,常见的是α-Al2O3和γ-Al2O3。自然界中的刚玉为α-Al2O3,六方紧密堆积晶体,α-Al2O3的熔点2015±
Al2O3+6H+=2Al3++3H2O
Al2O3+2OH-=2AlO2-+H2O
刚玉粉硬度大可用作磨料,抛光粉,高温烧结的氧化铝,称人造刚玉或人造宝石,可制机械轴承或钟表中的钻石。氧化铝也用作高温耐火材料,制耐火砖、坩埚、瓷器、人造宝石等,氧化铝也是炼铝的原料。煅烧氢氧化铝可制得γ-Al2O3。γ-Al2O3具有强吸附力和催化活性,可做吸附剂和催化剂。
【铝矾土】又称矾土或铝土矿,主要成分是氧化铝,系含有杂质的水合氧化铝,是一种土状矿物。白色或灰白色,因含铁而呈褐黄或浅红色。密度3.9~4克/厘米2,硬度1~3,不透明,质脆。极难熔化。不溶于水,能溶于硫酸、氢氧化钠溶液。主要用于炼铝,制耐火材料。
【刚玉】主要成分α-Al2O3。桶状或锥状的三方晶体。有玻璃光泽或金刚光泽。密度为3.9~4
【氢氧化铝】化学式Al(OH)3,式量78,白色无定形粉末,不溶于水和乙醇。密度
【氯化铝】化学式AlCl3,式量133.34。无色透明晶体或白色而微带浅黄色的结晶性粉末。密度
【硫酸铝】化学式Al2(SO4)3·18H2O,式量666.43,无色单斜晶体,密度
【硫酸钾铝】又称明矾,钾明矾、钾铝矾,是含有结晶水的同晶形的硫酸钾和硫酸铝的复盐,化学式KAl(SO4)2·12H2O或K2SO4·Al2(SO4)3·24H2O,式量474.39或948.72。无色立方、单斜或六方晶体,密度
【明矾】见硫酸钾铝条。
【硝酸铝】化学式Al(NO3)3·9H2O,式量375.13。无色正交晶体,熔点
【溴化铝】化学式AlBr3,式量266.69。有光泽的单斜无色结晶小片。密度为
【硫化铝】化学式Al2S3,式量150.16。纯品为白色针状晶体,通常见到的不纯物为黄灰色致密的物质。密度
【高岭土】化学成分近似为Al4[Si4O10][OH]8。又称瓷土。纯净的为白色,通常因含杂质而显淡黄色或灰色,呈致密块状或松散块状。密度2.54~2
【冰晶石】主要化学成分是Na3AlF6,一种矿物,由于光泽和折光率近于冰而得名。单斜晶体呈立方形,通常为块状或粒状。纯者为无色透明,因含杂质而显淡黄、淡红或褐色,有玻璃光泽。密度2.95~3
【镓】元素符号Ga,原子序数31,原子量69.72,外围电子排布4s24p1,共价半径125皮米,离子半径82皮米,第一电离能578.8千焦/摩尔,电负性1.6,位于第四周期第ⅢA族。柔软的银白色金属,密度
【氧化镓】化学式Ga2O3,式量187.44。白色三角形的结晶颗粒。有α型与β型之分。不溶于水。微溶于热酸或碱溶液。在氢气流中加热至红色即还原成一氧化镓。熔点
【氯化镓】化学式GaCl3,式量176.08,无色或白色针状结晶。易潮解,易溶于水和乙醇,溶于氨水,微溶于石油醚。熔点77.9±
【铟】元素符号In,原子序数49,原子量114.8,外围电子排布5s25p1,位于第五周期第ⅢA族,主要氧化数+1,+3,共价半径150皮米,离子半径(In3+)81皮米,第一电离能558.1千焦/摩尔,电负性1.7。银白色金属,有延展性,熔点
【铊】元素符号Tl,原子序数81,原子量204.4,外围电子排布6s26p1,位于第六周期第ⅢA族,主要氧化数+1,(+3),共价半径155皮米,离子半径(Tl3+)95皮米,第一电离能589.1千焦/摩尔,电负性1.8。系柔软的银白色金属,六方紧密堆积结构晶体,密度
【硝酸亚铊】化学式TlNO3,式量266.37。白色结晶,易溶于水,溶于丙酮,不溶于醇。热至
【三氧化二铊】化学式Tl2O3,式量456.74。棕色或暗红色粉末。有氧化性,溶于盐酸时放出氯气,溶于硫酸时放出氧气,不溶于水和碱。熔点717±
五、第Ⅳ主族
【碳】元素符号C,原子序数6,原子量12.01,外围电子层排布2s22p2,位于第二周期第ⅣA族,主要氧化数有+4、+2、-4、(-2),共价半径为77皮米,离子半径(C4+)16皮米,第一电离能1086.1千焦/摩尔,电负性2.5。有碳-12和碳-14两种稳定的同位素,碳-14具有放射性。碳原子的价电子数目与价电子轨道数相等,是等电子原子,可以用sp、sp2、和sp3杂化轨道形成4个σ键、碳原子半径小,还能形成p—pπ键,所以碳能形成多重键(双键或叁键),碳原子自相结合成键的能力很强,所以碳的化合物特别多。在自然界分布很广,石墨、煤、石油、天然气、石灰石、动植物体中都含碳元素。地壳中碳占总质量的0.032%。碳有三种同素异形体:金刚石、石墨和无定形碳(如木炭、焦炭、炭焦等,由石墨微晶体构成)。碳的物理性质和化学活动性跟其晶体结构有密切关系。金刚石为典型原子晶体,不导电,硬度最大,密度
【金刚石】是碳的一种同素异形体,典型的原子晶体。碳原子形成4个sp3杂化轨道,以共价键彼此相连,每个碳原子都处于与它相联的四个碳原子所组成的正四面体的中心,组成了晶体,整个晶体可以看成是一巨型分子。晶体属等轴晶系,常为八面体晶形。纯品无色透明、有强烈光泽,因含杂质呈蓝色、天蓝色、淡黄色、红色或黑色。密度3.15~3
【石墨】是碳的一种同素异形体,是原子晶体、金属晶体和分子晶体之间的一种过渡型晶体。在晶体中同层碳原子间以sp2杂化形成共价键,每个碳原子与另外三个碳原子相联,六个碳原子在同一平面上形成正六边形的环,伸展形成片层结构。在同一平面的碳原子还各剩下一个p轨道,它们互相重叠,形成离域的π键电子在晶格中能自由移动,可以被激发,所以石墨有金属光泽,能导电、传热。由于层与层间距离大,结合力(范德华力)小,各层可以滑动,所以石墨的密度比金刚石小,质软并有滑腻感。灰黑,不透明固体,密度
【活性炭】是一种黑色粉状,粒状或丸状的无定形具有多孔的碳,也具有石墨那样的精细结构,只是晶粒较小,层层间不规则堆积。具有较大的表面积(500~1000米2/克),有很强的吸附性能,能在它的表面上吸附气体、液体或胶态固体;对于气体、液体,吸附物质的质量可接近于活性炭本身的质量。其吸附作用具有选择性,非极性物质比极性物质更易于吸附。在同一系列物质中,沸点越高的物质越容易被吸附,压强越大温度越低浓度越大,吸附量越大。反之,减压,升温有利于气体的解吸。常用于气体的吸附、分离和提纯,溶剂的回收,糖液、油脂、甘油、药物的脱色剂,饮用水及冰箱的除臭剂,防毒面具中的滤毒剂,还可用作催化剂或金属盐催化剂的载体。可用木材、泥炭、坚果壳等为原料,经干馏、活化处理后得到活性碳。
【焦炭】干馏煤或石油沥青后得到的固体产物。呈银白色或灰黑色光泽。坚硬多孔,热值为25000~31400千焦/千克。根据原料、干馏温度和用途的不同,可分为高温焦、中温焦、低温焦、冶金焦、煤气焦、石油焦等。焦炭燃烧时无烟、有较强的抗压强度,是一种非常好的还原剂。用于生铁和其它金属的冶炼,还用于制造电石、半水煤气。是一种重要的化工原料。
【炭黑】黑色质轻且细的无定形碳粉末。密度1.8~2
【二氧化碳】化学式CO2,式量44.01。俗名碳酸气,也称碳酸酐或碳酐。为无色略有酸味的气体。密度为
【一氧化碳】化学式CO,式量28.01。一氧化碳分子有十个价电子,是等电子体,分子中有三重键,一个σ键、两个π键,其中一个π键为配位键,这对电子来自氧原子。一氧化碳是无色无臭气体,密度
NaOH+CO=HCOONa
跟硫、氯反应分别生成硫氧化碳COS或光气COCl2。能跟过渡金属形成羰基络合物Fe(CO)5、Ni(CO)4、和Cr(CO)6等。工业上常用亚铜盐的氨水溶液来吸收混和气体中的一氧化碳
![]()
CO有毒,人吸入少量会感到头痛,吸入多量会因缺氧致死,这是因为一氧化碳跟血红蛋白形成稳定的络合物,(一氧化碳跟血红蛋白的亲和力是氧跟血红蛋白亲和力的230~270倍)使血红蛋白丧失了输氧能力,即煤气中毒。空气中只要有八百分之一体积的一氧化碳,就可使人在半小时内死亡。一氧化碳用作气体燃料,冶金工业中用作还原剂,化学工业中用做有机合成的原料。实验室中用甲酸或草酸跟浓硫酸反应制取,工业上将用有限空气通过灼热的碳或将水蒸气通过灼热的碳来制取。
【二硫化碳】化学式CS2,式量76.14。纯品为无色液体,工业品含杂质者呈黄色,有臭味,有毒。密度
【干冰】化学式CO2,固态二氧化碳的俗称。白色冰雪状固体,分子型晶体。无毒无腐蚀性,密度
【硅】元素符号Si,原子序数14,原子量28.086,外围电子排布3s23p2,位于第三周期第ⅣA族,共价半径117皮米,离子半径42皮米,第一电离能786.1千焦/摩尔,电负性1.8。有晶体和无定形两种同素异形体。晶体硅呈银灰色,有明显的金属光泽、晶格和金刚石相同,硬而脆,能导电,但导电率不如金属且随温度的升高而增加,属半导体。密度
![]()
赤热时跟水蒸气反应生成二氧化硅和氢气。跟强碱溶液反应生成硅酸盐放出氢气。跟氢氟酸反应生成四氟化硅。用于制造合金如高硅铸铁、硅钢等,还用于制造有机硅化合物如硅酮树脂、硅油和硅橡胶等。高纯度的单晶硅是半导体材料;掺有微量杂质的单晶硅可用于制造晶体管、整流器和太阳能电池等,广泛应用于电子工业。1823年瑞典的贝采利乌斯用氟化硅或氟硅酸钾与钾共热得到粉状硅,并确定其为元素。从前叫矽(音西),因同音元素较多,我国化学界于1953年把矽改称硅。硅在自然界分布很广,在地壳中硅原子的含量为16.7%,质量百分含量为27.6%,自然界的硅由硅-28、硅-29、硅-30三种稳定同位素组成,硅是组成岩石矿物的一种基本元素,主要以石英砂或硅酸盐的形式存在。工业上用碳在电炉内还原二氧化硅制得粗硅。用氢气还原三氯氢硅或四氯化硅可制得高纯度硅。
【单晶硅】硅的单晶体。具有基本完整的点阵结构的晶体。不同的方向具有不同的性质,是一种良好的半导材料。纯度要求达到99.9999%,甚至达到99.9999999%以上。用于制造半导体器件、太阳能电池等。用高纯度的多晶硅在单晶炉内拉制而成。
【二氧化硅】化学式SiO2,式量60.08。也叫硅石,是一种坚硬难溶的固体。从地面往下
【石英】矿物名。主要化学成分为SiO2,三方晶系,晶体呈六方柱状。常呈晶簇状、粒状、块状等单体或群体。颜色不一,无色透明的晶体称水晶,乳白色的称乳石英,紫色的称紫水晶,烟黄褐色的称烟晶、茶晶,黑色的称墨晶,晶体中含有白色或其它颜色放射状物的称金星石。玻璃光泽,无解理,贝壳状断口,硬度7,密度2.65~2
结晶良好的晶体可用作光学仪器和压电材料;其它各种形态的石英变种可用于制造玻璃、搪瓷及研磨材料和建筑材料等。
【水晶】见石英条。
【压电石英】石英的变种之一。指能用于电子工业制造石英钟、高频振荡器、滤波器等压电石英片的纯洁石英。这种石英晶体必须无色透明,不含杂质和裂隙、并且不具双晶。
【石英玻璃】由二氧化硅组成的玻璃。这种玻璃硬度大可达莫氏七级,膨胀系数低,耐热性、化学稳定性、电绝缘性都比较好,除氢氟酸、热磷酸外,对一般酸有较好的耐酸性。透明的石英玻璃有良好的透紫外线性能和光学性能。用于制造光学仪器、电学设备、医疗设备和耐高温耐腐蚀的化学仪器。高纯石英玻璃可制光导纤维。
【四氟化硅】化学式SiF4,式量104.09。无色气体,有窒息性气味、密度
【氟硅酸】化学式H2SiF6,式量144.12,无水氟硅酸为无色气体,化学性质不稳定,常温下易分解为四氟化硅和氟化氢。水溶液显强酸性,一般能制得60%的水溶液,酸的强度跟硫酸相当、浓溶液冷却,有无色含水氟硅酸析出。具有消毒性能,可作啤酒酿造中的消毒剂。由四氟化硅跟氟化氢直接反应制得,也可将二氧化硅溶解于氢氟酸中制得。
【硅酸】原称偏硅酸,化学式H2SiO3,式量78.10。白色无定形粉末,不溶于水。是一种二元弱酸,电离平衡常数K1=2×10-10(室温)。不溶于盐酸、硫酸,溶于氢氟酸。溶于氢氧化钾或氢氧化钠溶液,生成硅酸钾K2SiO3或硅酸钠Na2SiO3和水。熔点为
【硅胶】化学式SiO2·xH2O或mSiO2·nH2O,也称氧化硅胶或硅酸凝胶。硅胶成无色透明或乳白色颗粒。通常含水分约3~7%。具有多孔结构。有较强的吸附性,吸湿量能达到40%左右。主要用于气体干燥、气体吸收、液体脱水,催化剂、催化剂载体以及用作气相色谱分析试剂、薄层色谱分析试剂、柱式色谱填料。为了表示吸水程度的大小,市场出售的变色硅胶是将硅酸凝胶用氯化钴溶液浸泡、干燥活化后制得的一种干燥剂。用硅酸钠溶液(水玻璃)跟盐酸或稀硫酸反应,经胶凝、洗涤、干燥、烘干制成。
【四氯化硅】化学式SiCl4,式量169.9,无色发烟液体。密度
【碳化硅】化学式SiC,俗称金刚砂。纯品为无色晶体,属原子晶体,一般因含杂质而呈暗黑色。硬度9,仅次于金刚石,密度
【金刚砂】狭义指碳化硅,广义是用作磨料的金刚石、石榴石、碳化硅及刚玉的统称。
【硅烷】硅原子跟碳原子结构相似,可跟氢组成一系列硅氢化合物。硅氢化合物总称为硅烷,通式是SinH2n+2,目前已制得的有一硅烷SiH4也叫甲硅烷到六硅烷Si6H14共六种。
甲硅烷:SiH4,无色无臭气体、密度
乙硅烷:Si2H6,无色无臭气体,密度
其它硅烷是液体。硅烷都能溶于有机溶剂,如乙醇、苯、二硫化碳等。硅烷比烷烃化学性质活泼。所有硅烷热稳定性都很差。将高硅烷适当加热,分解为低硅烷。低硅烷(如SiH4)在温度高于
SiH4+2KMnO4=2MnO2↓+K2SiO3+H2↑+H2O
室温下跟卤素发生爆炸性的反应。在强碱溶液中水解为硅酸盐和氢气。在卤化铝催化作用下,跟干燥的卤化氢反应,生成卤硅烷。用硅化镁跟盐酸反应,立即有气体放出,这种气体为硅烷的混合物,其中大部分为甲硅烷。还可用硅化镁跟溴化铵在液氨中反应制得。混合气体经液化后再分馏,得到不同硅烷。
【锗】元素符号Ge,原子序数32,原子量72.59,外围电子排布式4s24p2,原子半径122皮米,Ge4+半径53皮米,第一电离能769.12千焦/摩尔,电负性1.8,主要氧化数为+4、+2。位于第四周期ⅣA族。银白色有光泽金属,质脆,晶体锗具有金刚石结构,密度
![]()
【二氧化锗】化学式GeO2,式量104.59。白色粉末不溶于水,不跟水反应。是以酸性为主的两性氧化物。可溶于浓盐酸生成四氯化锗,也可溶于强碱溶液,生成锗酸盐,如:
GeO2+2NaOH=Na2GeO3+H2O
用作半导体材料。由锗加热氧化或由四氯化锗水解制得。
【四氯化锗】化学式GeCl4,式量214.43。无色液体,能与硫酸混溶,遇水分解生成二氧化锗。密度
【锡】元素符号Sn,原子序数50,原子量118.7,外围电子排布5s25p2,位于第五周期ⅣA族,原子半径140皮米,Sn4+半径71皮米,第一电离能714.78千焦/摩尔,电负性1.8。锡有三种同素异形体:灰锡(α体)、白锡(β体)、脆锡(γ体),其转化温度为:
![]()
白锡是银白色金属,有延展性,密度
![]()
跟冷稀硝酸反应生成Sn(NO3)2:
4Sn+10HNO3(稀)=4Sn(NO3)2+NH4NO3+3H2O
跟浓硝酸反应生成白色沉淀β锡酸:
Sn+4HNO3(浓)=H2SnO3↓+4NO2↑+H2O
与强碱溶液反应生成锡酸钠并放出氢气:
Sn+2NaOH+H2O=2H2↑+Na2SnO3
锡用于制各种合金如青铜、焊锡合金、巴氏合金、铅字合金等。由于锡和锡的无机盐无毒,用于制贮存食品的镀锡容器,镀锡铁片叫马口铁,还应用电镀、陶瓷和塑料工业。锡在古代是人类最早应用于生产和生活的金属之一。在地壳中占质量的0.004%。主要的矿物是锡石SnO2。将锡石经选矿后,用碳还原制得粗锡,然后用电解法或加热重熔精制。
【一氧化锡】又名氧化亚锡,化学式SnO,式量134.7。暗灰或棕黑色粉末。在空气中稳定,加热时转化为氧化锡(二氧化锡),不溶于水和醇。溶于盐酸或稀硫酸生成亚锡盐,溶于浓的强碱溶液生成亚锡酸盐。有还原性。用作还原剂,制备亚锡盐,还用于电镀和玻璃工业。由亚锡盐溶液跟氢氧化钠溶液反应生成氢氧化亚锡Sn(OH)2,再加热分解生成氧化亚锡。
【二氧化锡】又名氧化锡,化学式SnO2,式量150.7。白色,四方、六方或正交晶体,密度为
【氯化亚锡】化学式SnCl2,式量189.6,又名二氯化锡。白色结晶,溶于水、醇、丙酮、乙醚。熔点
【氯化锡】又名四氯化锡,化学式SnCl4,式量260.53。无色发烟液体,呈碱性,溶于水并放出大量热,其稀水溶液因水解而产生锡酸沉淀。能与醇、二硫化碳和松节油任意混溶。对氯气的吸收量很大。密度
【锡酸钠】化学式Na2SnO3·3H2O,式量266.74。无色六方晶体或白色粉末。
【铅】元素符号Pb,原子序数82,原子量207.2,外围电子排布6s26p2,位于第六周期ⅣA族,原子半径146皮米,Pb4+半径84皮米,第一电离能718.96千焦/摩尔,电负性1.8,主要氧化数+2、+4。银灰色有光泽的重金属,在空气中易氧化而失去光泽,变灰暗,质柔软,延性弱,展性强。密度
Pb+2NaOH=Na2PbO3+H2↑
在有氧气条件下跟水反应生成难溶的Pb(OH)2。铅早在公元前三千年左右就被人类发现并应用。在地壳中质量百分比为0.0016%。主要存在于方铅矿(PbS),白铅矿(PbCO3)中。用作电缆,蓄电池、铸字合金、巴氏合金、金属结构的阴极保护层、防X射线等辐射的材料。用焦炭还原氧化铅制得。
【一氧化铅】又称黄色氧化铅,俗名黄丹或密陀僧。化学式PbO,式量223.19。有多种变体,四方晶体呈黄红色,密度为
【二氧化铅】又称棕色氧化铅。化学式PbO2,式量239.19,棕色细片粉末。密度
![]()
二氧化铅系两性氧化物,酸性比碱性强。跟强碱共热生成铅酸盐。有强氧化性。跟硫酸共热生成硫酸铅、氧气和水。跟盐酸共热,生成二氯化铅、氯气和水。跟硫、磷等可燃物混和研磨引起发火。用作分析试剂、氧化剂、媒染剂、蓄电池电极,还用于制火柴、染料等。用熔融的氯酸钾或硝酸盐氧化一氧化铅,或用次氯酸钠氧化亚铅酸盐可制得二氧化铅。
【四氧化三铅】俗称红丹或铅丹,红色氧化铅。化学式Pb3O4,式量685.57。橙红色晶体或粉末,密度
【硝酸铅】化学式Pb(NO3)2,式量331.21。无色单斜或立方晶体。密度
【醋酸铅】亦称乙酸铅,俗称铅糖。无色晶体或白色粉末,化学式(CH3COO)2Pb·3H2O,式量379.33,密度
【硫化铅】化学式PbS,式量239.25,蓝色有金属光泽立方晶体或棕黑色粉末。密度
【铬酸铅】俗名铬黄,化学式PbCrO4,式量323.18。黄色或橙黄色针状晶体或粉末,密度
【密陀僧】见一氧化铅条。
【黄丹】见一氧化铅条。
【红丹】见四氧化三铅条。
【铅丹】矿物名,主要成分是Pb3O4,红色粉末状块体。硬度2~3,密度
【方铅矿】主要成分为PbS,常含银。等轴晶系,晶体形状多为立方体、有时为八面体。铅灰色,有金属光泽,立方体解理完全,硬度2~3,性脆,密度7.4~7
【锡石】矿物名。化学成分为SnO2,四方晶系,晶体一般为双锥状,双锥柱状,常具膝状双晶,集合体呈不规则颗粒。通常呈棕色至黑褐色,有金刚光泽。硬度6.0~7.0,密度6.8~7
【白铅矿】主要成分是PbCO3。正交晶系,晶形常呈假六方双锥形状,集合体为粒状或致密块状。白色微带浅灰。金刚光泽,硬度3.0~3.5,密度6.4~6
六、第V主族
【氮】元素符号N,原子序数7,原子量14.01,外围电子排布2s22p3,位于第二周期第VA族。共价半径74皮米,离子半径(N3-)171皮米,(N+5)13皮米,第一电离能1402千焦/摩尔,电负性3.0。氮气(N2)是无色、无嗅、无味气体,密度

将氨通过热氧化铜,可得纯净的氮
![]()
叠氮化钠热分解可制得光谱纯氮。
【液态氮】无色无臭的液体。熔点
【一氧化氮】化学式NO,式量30,分子中含有sp杂化轨道形成的共价键,一个σ键,一个双电子π键,一个三电子π键。它是含有奇数价电子的分子。通常为无色气体、液态、固态时呈蓝色。固态时有微弱的很松弛的双聚体N2O3存在。密度
2NO+Cl2=2NOCl
由于分子中存在孤电子对,可以跟金属离子络合,如跟硫酸亚铁溶液形成棕色可溶性的硫酸亚硝基合铁(Ⅱ):
FeSO4+NO=[Fe(NO)]SO4
高温时表现有氧化性。汽车尾气中含有此气,是大气的一种污染源。是工业制硝酸的中间产物。由铜跟稀硝酸反应或由氨催化氧化制得。
【一氧化二氮】俗称笑气。化学式N2O2,式量44.02。无色气体,有微甜气味和微甜味道。密度
【二氧化氮】化学式NO2,式量46.01。红棕色气体,有刺激性气味。分子有顺磁性。密度为l
3NO2+H2O=WHNO3+NO
溶于碱溶液生成硝酸盐和亚硝酸盐
2NO2+2NaOH=NaNO3+NaNO2+H2O
溶于浓硝酸生成发烟硝酸。有强氧化性(比硝酸强),碳、硫、磷等可在二氧化氮中燃烧。可跟许多有机物发生剧烈反应。用作氧化剂、有机反应中的硝化剂,铅室法制硫酸用作催化剂。由铜跟浓硝酸反应制得。
【三氧化二氮】化学式N2O3,式量76.02。固态时为浅蓝色,液态时为深蓝色。纯的仅以固态形式存在。密度
【五氧化二氮】化学式N2O5,式量108.02。白色斜方晶体,密度
【硝酸】化学式HNO3,式量63.01。纯硝酸为无色透明油状液体,易挥发,有刺激性气味,密度
【亚硝酸】化学式HNO2,式量47.02。是三价氮的含氧酸,酸酐为三氧化二氮。亚硝酸仅存在于稀溶液中,溶液显微蓝色。很不稳定,受热即分解为NO2、NO和H2O。是弱酸(略强于醋酸)。既有氧化性又有还原性。用于有机合成中伯胺的重氮化反应。可将等摩尔的NO2和NO混和物通入冷水中制得。工业上用亚硝酸钠跟盐酸反应制得。
【氨】化学式NH3,式量17.03。分子中氮原子是以不等性sp3杂化的。在四个杂化轨道中有三个轨道和三个氢原子结合形成三个σ键,另一个轨道为不成键的孤电子对占有。由于孤电子对对成键电子对的排斥,N—H键间的夹角为106.6°,因此氨分子结构是三角锥形,氮原子位于锥顶,三个氢原子位于锥足,又因这一对孤电子对电子云较多地分布在氮原子的上部,因此使氨分子有很大的极性,同时表现出很强的加合性。氨分子的结构特点决定了氨分子的特性。液态和固态氨的分子间存在着氢键。氨是无色有强刺激性气味的气体。密度
![]()
液氨能溶解碱金属,生成深蓝色溶液,很浓的碱金属氨溶液是强还原剂。氨通常很稳定。高温时可分解为氢气和氮气。有还原性,在纯氧气中燃烧显黄色火焰,生成氮气和水。在铂催化作用下,加热时会被氧化生成一氧化氮。通过加热的氧化铜时,可夺取其中氧
![]()
在常温下,氨在水溶液中能被许多强氧化剂(Cl2、H2O2、KMnO4、NaClO等)氧化,如:
3Cl2+3NH3=N2+6NH4Cl
氨分子可发生取代反应,氨分子中的氢原子可被其它原子或原子团取代,生成氨基-NH2,亚氨基=NH和N≡的一系列氨的衍生物。取代反应的另一种形式是氨以氨基或亚氨基取代其它化合物中的原子或基团,如:
HgCl2+2NH3=Hg(NH2)Cl↓+NH4Cl(氨基氯化汞)
氨还能进行加合反应,氨分子中氮原子上的孤电子对能跟其它离子或分子形成共价配位键;氨跟酸反应,生成铵盐,氨跟许多金属离子(Ag+、Cu2+、Cr3+、Zn2+等)及BF3分子形成氨络离子和络合物:[Ag(NH3)2]+、[Cu(NH3)4]2+、[Cr(NH3)6]3+、BF3·NH3。氨有广泛用途,可用于制液氨、氨水、硝酸、尿素、铵盐、塑料、染料、及医药等。氨水和铵盐可作化肥、无水氨可作致冷剂。实验室用铵盐跟熟石灰混和共热制得。工业上用氢氮混合气体在加热、加压、催化剂作用下合成。
【氨水】氨的水溶液,无色有强烈刺激性气味。氨含量越多,密度越小。一般市售浓氨水的密度为
![]()
【联氨】别名肼,化学式NH2—NH2。无色油状液体,与水、乙醇互溶。熔点
N2H4(液)+O2(气)=N2(气)+2H2O(液)+624千焦
用作火箭燃料,医药原料,也常用作还原剂、显影剂。先用氯跟稀氨水反应制得氯氨NH2Cl,然后加过量氨即得联氨。
2NH3+Cl=NH2Cl=NH4Cl
2NH3+NH2Cl=N2H4+NH4Cl
【氯化铵】化学式NH4Cl,式量53.49。天然产物称“硇砂”。无色立方晶体,密度
痰药。是联合制碱法的副产物。
【硫酸铵】简称硫铵。化学式(NH4)2SO3,式量132.14,无色斜方晶体。密度
【硝酸铵】简称硝铵。化学式NH4NO3,式量为80.04。无色单斜或斜方晶体。密度
【碳酸铵】化学式(NH4)2CO3·H2O,式量114.10。无色晶体或白色粉末,有氨味。溶于冷水。在空气中逐渐失去氨而生成碳酸氢铵。
【碳酸氢铵】又称酸式碳酸铵或重碳酸铵。化学式NH4HCO3,式量79.06,无色单斜或斜方晶体。密度
【磷酸二氢铵】又称磷酸一铵。化学式NH4H2PO4,式量115.03。无色四方晶体,密度
【亚硝酸铵】化学式NH4NO2,式量64.048。浅黄色菱形晶体。密度
【重铬酸铵】别名红矾铵,化学式(NH4)2Cr2O7,式量252.06。橙红色晶体,溶于水,不溶于醇。密度
![]()
与多种有机物接触、摩擦、撞击引起燃烧或爆炸。有腐蚀性,有毒。用作分析试剂、媒染剂、氧化剂、香料合成、照像制版。将CrO3溶于水,控制温度在
【氢叠氮酸】化学式HN3,式量43.03。无色有刺激性气味的液体,沸点
2HN3=3N2+H2
稀溶液几乎不分解。HN3为弱酸Ka=1.9×10-5。用稀硫酸与叠氮化钠反应可制得叠氮酸。而叠氮化钠可从下列反应制得:
NaNH2+N2O=NaN3+H2O
【氰化氢】化学式HCN,式量27.028。又称甲腈。无色液体,有苦杏仁气味,气体密度
【氢氰酸】见氰化氢条。
【磷】元素符号P,原子序数15,原子量30.97。外围电子排布3s23p3,位于第3周期第ⅤA族。共价半径 110皮米,P3-半径212皮米,P+5半径为35皮米,第一电离能1011.8千焦/摩尔,电负性2.1。单质磷有几种同素异形体,其中白磷或黄磷是白色或淡黄色腊状晶体,是由P4分子组成的分子晶体,P4分子是四面体构型。密度
P4+3KOH+3H2O=PH3↑+3KH2PO2
白磷可跟金、银、铜、铅盐溶液反应。如:
2P+5CuSO4+8H2O=5Cu+2H3PO4+5H2SO4
11P+15CuSO4+24H2O=5Cu3P+6H3PO4+15H2SO4
白磷用于制磷酸、燃烧弹、烟雾弹、杀鼠药等。红磷用于制火柴和农药等。1669年德国的布兰特从人尿蒸馏和干馏后的物质中制得白磷。自然界中磷以磷酸盐的形式存在,主要矿石有磷灰石。磷也构成生物体的重要元素,存在于细胞、骨骼、蛋白质中。工业上将磷酸钙、二氧化硅和焦炭混和在电炉中反应制得白磷。
【五氧化二磷】化学式P2O5,式量141.94,化学式也可写作P4O10。白色粉末。密度
【磷化氢】化学式PH3,式量34.00。无色类似大蒜气味的剧毒气体。密度
PH3+2O2=H3PO4
受热易分解。与卤化氢化合生成卤化
,如PH4Cl。有较强的还原性,能跟Cu2+、Ag+、Au3+的盐溶液反应还原出金属。与过渡元素形成络合物。用于制备有机化合物。由磷化钙或其它磷化物水解生成。
【磷酸】也称正磷酸,化学式H3PO4,式量97.994。纯品为无色斜方晶体。密度
【偏磷酸】化学式HPO3,式量79.98,无色玻璃状体,易潮解,密度2.2~2
【磷酸酐】见五氧化二磷条。
【安福粉】是复合肥料磷酸铵的商品名称。
【砷】元素符号As,原子序数33,原子量74.93,外围电子排布4s24p3,共价半径121皮米,离子半径As3-222皮米,As+546皮米,第一电离能859.7千焦/摩尔,电负性2.0。位于第四周期第ⅤA族。主要氧化数有-3、+3、+5。俗名砒。有三种同素异形体:黄色的α体、黑色的β体和灰色的γ体。室温下最稳定的是γ体,有明显的金属性质,硬而脆,密度
3As+5HNO+2H2O=3H3AsO4+5NO
跟熔融氢氧化钠反应生成亚砷酸钠Na3AsO3并放出氢气。能溶于王水。砷及其化合物都有毒。砷在自然界分布很广,主要以化合态存在,少量以游离态存在。在地壳里丰度为5.0×10-4%,重要矿物有毒砂FeAsS、雄黄AsS、雌黄As2S3和白砷石As2O3等。1250年罗马的马格努斯用雄黄共热发现了砷。主要用途是与铅、铜、锌等制成合金,也用于制医药和杀虫剂以及半导体材料如砷化镓。由三氧化二砷跟碳反应制得。
【砷化氢】化学式AsH3,式量77.95。无色有恶臭的有剧毒的气体。密度
2AsH3+3O2=As2O3+3H2O
砷化氢也叫胂。由砷化锌Zn3As2与稀硫酸反应可制得。用活泼金属在酸性溶液中使砷化合物还原也可制得:
As2O3+6Zn+6H2SO4=2AsH3+6ZnSO4+3H2O
【砷化镓】化学式GaAs,式量144.64。是一种重要的化合物半导体材料,同锗、硅比,其禁带宽度和电子迁移率都比较大,用它制造的器件有较好的频率特性和耐高温特性。用来制造微波半导体器件和半导体激光器。由镓和砷在高温下合成,再制成单晶体。
【三氧化二砷】别名亚砷酸酐,俗称砒霜,化学式As2O3,式量197.84。白色粉末,微溶于水。两性氧化物,溶于盐酸生成三氯化砷,溶于氢氧化钠和碳酸钠溶液生成亚砷酸钠。约
【砷酸】化学式H3AsO4,式量141.94。无色透明晶体或白色粉末。有毒。有潮解性。溶于水、乙醇。溶于碱溶液生成砷酸盐。加热时可依次变为焦砷酸、偏砷酸。再变为五氧化二砷。主要用于制砷酸盐、杀虫剂和医药。用砷或三氧化二砷跟硝酸反应制得。
【砒霜】见三氧化二砷条。
【雄黄】矿物名。化学成分为AsS,也称鸡冠石。单斜晶系,晶体为柱状,大多成块状集合体。多数为桔红色。半透明,晶面有金刚光泽。密度
【雌黄】矿物名。化学成分为As2S3。单斜晶系,晶体常呈柱状。集合体呈短柱状,板状。柠檬黄色,有时微带浅褐色。有金刚光泽或珍珠光泽。质脆,解理完全。灼烧后发出强烈的蒜臭。用于提取三氧化二砷,制造玻璃、颜料等。
【锑】元素符号Sb,原子序数51,原子量121.75,外围电子排布5s25p3,位于第五周期第ⅤA族。共价半径141皮米,离子半径Sb-3245皮米,Sb+562皮米,第一电离能833.7千焦/摩尔,电负性1.9,主要氧化数(-3)、+3、+5。锑有几种同素异形体。通常最稳定的是灰锑,银白或银灰色菱形晶体,脆而硬,由液态凝固时体积膨胀,即有冷胀性,密度
6Sb+10HNO3+3xH2O=3Sb2O5·xH2O+10NO↑+5H2O
能溶于热的浓盐酸和硫酸生成氯化锑和硫酸锑。与强碱反应生成亚锑酸盐,主要用于制合金如印刷用的活字合金、硬质合金、巴氏合金。还用于制锑盐、医药、颜料及半导体材料等。古代已应用锑及其化合物。在自然界中有游离态和化合态两种形式存在,主要矿物有辉锑矿(Sb2S3)和方锑矿(Sb2O3)。在地壳中的丰度为1.0×10-4%。用辉锑矿跟铁屑共热,或用三氧化二锑与碳共热都可还原出锑。
【三氯化锑】化学式SbCl3,式量228.11。无色正交晶体,密度
【铋】元素符号Bi,原子序数83,原子量208.98,外围电子排布6s26p3,位于第六周期第ⅤA族,共价半径152皮米,离子半径Bi3+120皮米,Bi5+74皮米,第一电离能703.3千焦/摩尔,电负性1.9。银白色或微红色有金属光泽的晶体,熔点
七、第Ⅵ主族
【氧】元素符号O,原子序数8,原子量15.9994,外围电子排布2S22p4,位于第二周期第ⅥA族。原子共价半径66皮米,离子半径O2-132皮米,第一电离能1314千焦/摩尔,电负性3.5。氧元素有两种同素异形体,氧气O2和臭氧O3。氧分子有明显的顺磁性,这是因为O2分子是由一个σ键和两个三电子π键构成的,两个三电子π键有两个未成对电子,所以O2 是顺磁性的。氧气在通常状况下为无色、无臭、无味的气体,密度
【臭氧】化学式O3,式量47.998,氧元素的一种同素异形体。有鱼腥气味的淡蓝色气体。密度
【液氧炸药】由可燃性固体吸收剂跟液态氧组成的爆炸混合物。一般用炭黑、锯屑或金属粉等作吸收剂。先将吸收剂包裹成圆柱状,浸入液氧中,使吸收剂空隙充满液氧,即成液氧炸药。用雷汞或导火索起爆。广泛用于露天采矿和土木工程的爆破。是一种比较安全的炸药。空气中臭氧层使人类免受紫外线的伤害。
【硫】元素符号S,原子序数16,原子量32.06,外围电子排布3S23p4,位于第三周期第ⅥA族,主要氧化数-2、0、+2、+4、+6。原子共价半径104皮米,离子半径S-2184皮米,S+630皮米,第一电离能1000千焦/摩尔,电负性2.5。单质硫俗称硫磺。黄色晶体。有多种同素异形体,斜方硫又叫菱形硫或α-硫,在
3FeS2 +
【硫化氢】化学式H2S,式量34.08,有腐卵臭味的无色气体,有毒。分子结构与水相似,呈V形,有极性。密度
【氢硫酸】化学式H2S,式量34.08,硫化氢的水溶液叫氢硫酸,有腐卵臭味。是很弱的酸,在
【二氧化硫】化学式SO2
,式量64.08,又名亚硫酸酐。分子呈V形结构,有极性。无色有刺激性气味的气体,有毒。密度
【三氧化硫】又称硫酸酐,化学式SO3。式量为80.06。无色固体,易挥发。熔点
【硫酸】化学式H2SO4
,式量98.08。纯硫酸为无色油状液体。市售浓硫酸含H2SO4 96~98%,密度
![]()
![]()
铁、铝、铬等在冷、浓硫酸中发生钝化。浓硫酸将H2S氧化析出硫,将NaBr氧化生成溴,将KI氧化生成碘。跟苯等有机物发生磺化反应。硫酸是化学工业中最重要的产品之一,广泛用于生产化肥、农药、染料、炸药、人造纤维、精炼石油、冶金、金属加工、有机合成、铀矿加工等。工业上用接触法或铅室法制硫酸。接触法是以硫或黄铁矿(FeS2 )为原料,在空气中燃烧生成二氧化硫,在五氧化二钒催化剂作用下,二氧化硫被氧化生成三氧化硫,用98.3%的硫酸吸收三氧化硫,再用水稀释制得。
【焦硫酸】化学式H2S2O7,式量178.02。无色晶体,熔点
H2S2O7+H2 O=2H2SO4
焦硫酸具有比浓硫酸更强的氧化性,用于制染料,炸药和其它有机磺酸化合物。由等摩尔的SO3和纯硫酸化合而成:
H2SO4 +SO3=H2S2O7
当冷却发烟硫酸时可以析出焦硫酸晶体。
【硫酸酐】见三氧化硫条。
【亚硫酸酐】见二氧化硫条。
【硫华】硫升华得到的粉状硫,主要组分是斜方硫。用于橡胶硫化、配制药膏、制杀虫剂和杀菌剂等。
【亚硫酸】化学式H2SO3,式量82.08,二氧化硫的水溶液叫做亚硫酸。没有得到游离的纯亚硫酸,只存在于水溶液中,不稳定,易分解出二氧化硫,因而有刺激性嗅味。水溶液存在下列平衡:
![]()
亚硫酸是中等强度的二元酸。
【发烟硫酸】化学式H2SO4
·xSO3。将三氧化硫溶解在浓硫酸中所形成的溶液称为发烟硫酸。无色油状液体。其密度、熔点、沸点随着三氧化硫的含量不同而改变。通常以游离SO3的含量未标明不同浓度的发烟硫酸,如40%发烟硫酸即表示在发烟硫酸中含有40%游离的SO3。一般使用的有20%发烟硫酸,密度为
【硫代硫酸】化学式H2S2O3,式量114.14。仅存在溶液中。不稳定,
【硫氰酸】可能有两种同分异构体,一为硫氰酸H—S—C≡N,一为异硫氰酸H—N=C=S。游离酸还没有分离出来。大多数硫氰酸盐都溶于水。SCN-离子是一个很好的配位体。SCN-离子一个特殊灵敏的反应是与Fe3+形成多种红色络合物。因此硫氰酸钾或硫氰酸铵常用作检验Fe3+的试剂。
【硒】元素符号Se,原子序数34,原子量78.96,外围电子排布4S2
4p4,位于第四周期第ⅥA族。主要氧化数-2、+2、+4、+6。原子共价半径117皮米,离子半径Se-2191皮米,Se+642皮米。第一电离能941千焦/摩尔,电负性2.4。单质硒的组成和分子结构随着外界条件而变化,能形成多种同素异形体:α单斜晶体、β单斜晶体、有金属光泽的灰色三角晶体,还有红色、黑色的无定形玻璃状硒。灰黑色硒最稳定,通常称为金属硒。密度
【碲】元素符号Te,原子序数52,原子量127.60。外围电子排布5S25p4,位于第五周期第ⅥA族。主要氧化数-2、+2、+4、+6。原子共价半径137皮米,离子半径Te-2211皮米,Te+650皮米,第一电离能869千焦/摩尔,电负性2.1。有结晶形和无定形两种同素异形体。结晶碲具有银白色的金属外观,密度
【钋】元素符号Po,原子序数84,原子量210,外围电子排布6S26p4,位于第六周期第ⅥA族,原子共价半径167皮米,Po+667皮米,第一电离能 818千焦/摩尔,电负性2.0。金属单质,外观与铅相似,质软。所有钋的同位素都有放射性。有两种同素异形体,α-Po密度
八、第Ⅶ主族
【氟】元素符号F,原子序数9,原子量18.99。外围电子排布2s22p5,主要氧化数-1,0。位于第二周期第ⅦA族。原子半径64皮米,F-半径133皮米,第一电离能1682千焦/摩尔,电负4.0。单质氟由双原子分子F2组成。淡黄色气体,有令人不快的气味。密度
在加压、加热条件下氟能跟氙直接化合,生成二氟化氙、四氟化氙和六氟化氙。大量氟用来氟化有机物,如氟里昂——12CCl
![]()
【氟化氢】化学式HF,式量20.01。无色有刺激臭味气体或液体,极性分子,由于很强的氢键作用,常温下气体呈(HF)n(n=2~6)的缔合形式存在,
【氢氟酸】化学式HF,式量20.01。即氟化氢的水溶液。无色有刺激性气味。有强烈腐蚀性和毒性。浓度不高时酸性弱(室温下K=3.5×10-4),这是因为分子间易形成氢键,难电离出氢离子。浓溶液(5~15摩尔/升)酸性增强变成强酸,因为一部分F-通过氢键与HF形成缔合离子,如:
![]()
消耗了溶液中的F-,而使HF的电离度增大。能跟二氧化硅或硅酸盐反应生易挥发的SiF4,故易于腐蚀石英、玻璃及其它含硅物质。市售氢氟酸含氟化氢50%。用于制备高纯氟化物,刻蚀玻璃、镀件表面处理、酸洗铜、黄铜、不锈钢等。用水吸收氟化氢制得。
【氯】元素符号Cl,原子序数17,原子量35.453,外围电子排布3s23p5,位于第三周期3ⅦA族。原子半径99皮米,Cl-半径181皮米,第一电离能1251千焦/摩尔,电负性3.0,主要氧化数-1、0、+1、+3、+5、+7。单质氯以双原子分子Cl2组成。黄绿色有刺激性臭味的气体,有毒。密度
Cl2+2NaOH=NaCl+NaClO+H2O
加热时跟碱反应生成盐酸盐和氯酸盐,如:
![]()
跟饱和烃发生取代反应,跟不饱和烃发生加成反应。用于制漂白粉、盐酸、盐酸盐、农药、塑料、有机溶剂、染料、化学试剂,还用于漂白纸浆、布匹、饮水消毒、稀有金属和纯硅的提炼。1774年瑞典人舍勒用盐酸跟二氧化锰反应制得氯气,但不知道它是什么。1810年英国人戴维确定氯气是一种单质,确定了氯元素的存在。氯主要以氯化钠的形式存在于海水、盐湖和岩盐矿中。由35Cl和37Cl两种稳定同位素组成。在地壳中的丰度为0.14%。工业上用电解饱和食盐水制得,实验室常用浓盐酸跟二氧化锰共热制备。
【氯化氢】化学式HCl,式量36.46,无色有刺激性气味的气体。密度
【盐酸】化学式HCl,式量36.46。又称氢氯酸。是氯化氢的水溶液。市售浓盐酸含HCl37~38%,密度
【氯酸】化学式HClO3,正五价氯的含氧酸仅仅存在于溶液中,呈无色,水溶液在真空中可浓缩到密度为
【次氯酸】化学式HClO,正一价氯的含氧酸,仅存于溶液中。稀溶液无色,浓溶液呈黄色,有强刺鼻气味。是一种弱酸K=3.0×10-8,极不稳定,见光分解为盐酸和氧气。有氧化性和漂白性,有杀菌能力。将氯气的水溶液中加入氧化汞或碳酸钙。再经减压蒸馏可得低于5%的次氯酸溶液。将一氧化二氯Cl2O与水反应可得高于5摩尔/升的次氯酸。
【高氯酸】化学式HClO4,式量100.46,最高价氯的含氧酸。无色粘稠液体,密度
【王水】一体积浓硝酸与三体积浓盐酸的混合液(其摩尔比为1:3)。无色液体,但迅速变黄。具有比浓硝酸或浓盐酸更强烈的腐蚀性,能溶解铂和金。王水中含有硝酸、氯化亚硝基、氯等强氧化剂。
HNO3+3HCl=NOCl+Cl2+2H2O
王水中也含有高浓度的氯离子,能跟金属离子形成稳定的络离子,有利于向金、铂溶解方向进行:
Au+HNO3+3HCl=AuCl3+NO+2H2O
AuCl3+HCl=H[AuCl4]
3Pc+4HNO3+12HCl=3PtCl4+4NO+8H2O
PtCl4+2HCl=H2[PtCl6]
冶金工业和化学分析用于溶解金属。
【溴】元素符号Br,原子序数35,原子量79.909,外围电子排布4s24p5,位于第四周期第ⅦA族。原子半径114皮米,Br-半径196皮米,第一电离能1141千焦/摩尔,电负性2.8。主要氧化数-1、+1、+3、+5、+7。溴单质由双原子分子Br2组成。棕红色易挥发有强烈刺激性臭味的液体。密度
【溴化氢】化学式HBr,式量80.92。无色有刺激性气味的气体,密度
【氢溴酸】化学式HBr,式量80.92。氢溴酸是溴化氢的水溶液。无色,有刺激性的酸味,酸性强。有强腐蚀性。有还原性。用于医药、化学分析和有机合成。将溴化氢通入冷水中制得。
【溴酸】化学式HBrO3,式量128.92。仅存于溶液中。在
【碘】元素符号I,原子序数53,原子量126.9,外围电子排布5s2p5,位于第五周期ⅦA族,原子半径133皮米,I-半径220皮米,第一电离能1008千焦/摩尔,电负性2.5,主要氧化数-1、+1、+3、+5、+7。单质由双原子分子组成。紫黑色晶体,密度
2IO3-+5HSO3-=5SO42-+H2O+3H++I2
实验室中用碘化物与二氧化锰和浓硫酸混合制取:
2NaI+3H2SO4+MnO2=2NaHSO4+MnSO4+2H2O+I2
【碘化氢】化学式HI,式量127.91。无色有刺激性气体。密度
【氢碘酸】化学式HI,式量127.91。氢碘酸是碘化氢的水溶液。无色液体。饱和溶液在
【碘酸】化学式HIO3,式量175.91。无色正交晶体,密度
I2+10HNO3(浓)=2HIO3+10NO2↑+4H2O
【砹】元素符号At,原子序数85,原子量210(最稳定的同位素的质量数),外围电子排布6s26p5,位于第六周期第ⅦA族。是极不稳定的元素,约有25种同位素,都有放射性,其中最稳定的210At半衰期最长,只有8.3小时。金属性较其它卤族元素强。熔点
九、零族
【氦】元素符号He,原子序数2,原子量4.0026,外围电子排布1s2,位于第一周期0族。单质由单原子分子组成,是一种稀有气体,无色、无臭、无味。密度
【氖】元素符号Ne,原子序数10、原子量20.183,外围电子排布2s22p6,位于第二周期第0族。原子范氏半径160皮米,第一电离能2038千焦/摩尔。单质由单原子分子组成,是一种稀有气体。无色、无嗅、无味,气体密度
【氩】元素符号Ar,原子序数18,原子量39.948,外围电子排布3s23p6,位于第三周期0族。原子范氏半径191皮米,第一电离能1523千焦/摩尔。单质由单原子分子组成,是一种稀有气体。无色、无嗅、无味气体,密度
【氪】元素符号Kr,原子序数36,原子量83.80,外围电子排布4s24p6,位于第六周期0族。单质由单原子分子组成,稀有气体,无色、无嗅、无味。密度
【氙】元素符号Xe,原子序数54,原子量131.30,外围电子排布5s25p6,位于第五周期0族,原子共价半径209皮米,第一电离能1172千焦/摩尔。单质由单原子分子组成。稀有气体、无色、无嗅、无味,密度
【氡】元素符号Rn,原子序数86,原子量222.02,外围电子排布6s26p6,位于第六周期0族。原子共价半径214pm,第一电离能1038千焦/摩尔。单质由单原子分子组成,稀有气体,有放射性,衰变时释放出高能量的α粒子,寿命最长的同位素222Rn的半衰期为3.82天。无色气体,密度
【稀有气体】又称惰性气体,指周期系零族元素,包括氦、氖、氩、氪、氙、氡六种元素。这些气体存在于大气中但含量很低。
十、过渡元素
【铁】元素符号Fe,原子序数26,原子量55.847,外围电子排布3d64s2,位于第四周期第Ⅷ族。原子半径124.1皮米,离子半径Fe2+74皮米,Fe3+64皮米,第一电离能764千焦/摩尔,电负性1.8。银白色金属,密度
【钢】指含碳量小于2%的铁碳合金。根据成分不同,又可分为碳素钢和合金钢。根据性能和用途不同,又可分为结构钢、工具钢和特殊性能钢。
【氧化铁】通常指三氧化二铁,化学式Fe2O3,式量159.69,棕红色粉末,俗称铁红。密度
【氧化亚铁】化学式FeO,式量71.85。黑色粉末,密度
FeC2O4=FeO+CO+CO2
【四氧化三铁】化学式Fe3O4,式量231.54。铁在四氧化三铁中有两种化合价,经研究证明了Fe3O4是一种铁(Ⅲ)酸盐,即FeⅡFeⅢ[FeⅢO4]。黑色晶体,密度
【氢氧化铁】化学式Fe(OH)3,式量106.87。红棕色无定形粉末,密度3.44~3
【氯化铁】化学式FeCl3,式量162.61。亦称三氯化铁。棕黑色六方晶体,密度
【氯化亚铁】化学式FeCl2,式量126.75。绿黄色六方晶体,密度
【硫酸亚铁】化学式FeSO4,常见的是含七个结晶水的硫酸亚铁FeSO4·7H2O,俗称绿矾。浅蓝绿色单斜晶体,密度
4FeSO4+2H2O+O2=4Fe(OH)SO4
强热时,分解为Fe2O3、SO2和SO3。用作还原剂、媒染剂、除草剂、木材防腐剂、净水剂、煤气净化剂、缺铁性贫血的补血剂、植物的杀菌剂、还可用于制备氧化铁、蓝黑墨水等。由铁跟稀硫酸反应制得。
【绿矾】见硫酸亚铁条。
【黄铁矿】矿物名。又称硫铁矿。主要化学成分为FeS2。等轴晶系,晶体多呈八面体、立方体或五角十二面体。晶面上有条纹。淡黄铜色,有金属光泽,条痕绿黑色。硬度6~6.5,密度4.9~5
【硫铁矿】见黄铁矿条。
【氢氧化亚铁】化学式Fe(OH)2,式量89.866。白色固体,难溶于水。密度
【硫酸铁】化学式Fe2(SO4)3,式量399.7。浅黄色粉末,密度
【硝酸铁】化学式Fe(NO3)3·9H2O,式量404.02。无色或浅紫色单斜晶体。密度
【硫化亚铁】化学式FeS,式量87.91。深棕色或黑色固体。密度
【铁钾矾】化学式K2SO4·Fe2(SO4)3·24H2O,或写作KFe(SO4)2·12H2O。又称硫酸铁钾,俗称铁矾。硫酸铁和硫酸钾的复盐。无色或淡紫色晶体。密度
【铁矾】见铁钾矾条。
【硫酸亚铁铵】化学式(NH4)2SO4·FeSO4·6H2O,式量392.18。俗称莫尔盐。是一种复盐。透明淡蓝绿色单斜晶体。密度
【莫尔盐】见硫酸亚铁铵条。
【铁锈】铁和铁基合金在含有二氧化碳的潮湿空气中受腐蚀生成的红褐色疏松多孔物质。是一种成分不定的混和物,主要成分有氧化铁、水合氧化铁(Fe2O3·xH2O)、水合氧化亚铁等。不溶于水,可溶于酸。
【铁铵矾】化学式(NH4)2SO4·Fe2(SO4)3·24H2O,即硫酸铁铵。式量968.42。无色或淡紫色晶体。密度
【铁合金】炼钢用原料。在炼钢时作为脱氧剂与合金元素添加剂加入钢水中。常用的有硅铁、锰铁、铬铁等。铁合金比纯金属熔点低,比重大,容易加入钢水中。同时生产铁合金比生产纯金属简单经济。所以生产熔炼合金钢时,各合金元素多以铁合金状态加入。
【生铁】铁碳合金。一般把含碳量在2~4.3%的铁碳合金叫做生铁。在高炉冶炼过程中,常将铁矿石和焦炭中的硫、磷、硅等带入生铁内。因而使生铁有脆性。生铁产量的90%用于炼钢,10%用于铸造。
【白口铁】生铁中的一种。含碳量约2.5%,硅在1%以下。白口铁中的碳以碳化铁Fe
【灰口铁】生铁中的一种。含碳量约3%,含硅约2%。灰口铁中碳以片状石墨状态存在。断面呈深灰色。质较软,可进行切削加工。热时容易流动,铸造性能好。较耐磨。强度及延展性差。主要用于铸造。
【球墨铸铁】生铁中的一种。球墨铸铁中碳形成球状石墨。它的抗张强度,延展性都优于灰口铁。硬度高。因此,球墨铸铁可代替一部钢制造内燃机汽缸、汽缸套、大齿轮、金),再加入硅铁、使石墨完全球化。
【合金钢】又叫特种钢。除铁、碳以外,还含有一种或多种一定量的合金元素的钢。合金元素有硅、锰、钼、镍、铬、钒、钛、铌、硼,钨和稀土元素等。按照合金元素种类可分为:镍钢、铬钢、锰钢、钨钢、镍铬钢、硅钢等。按照合金元素的多少可分为:高合金钢(含合金元素10%以上),中合金钢(含5~10%)和低合金钢(含3~5%)。根据用途不同可分为:合金工具钢、合金结构钢和特种合金钢(如不锈钢)等。不同的合金钢具有不同的特性。
【不锈钢】能抵抗空气、水及一般酸、碱、盐等腐蚀作用的合金钢的总称。主要是含铬合金钢。常用的有铬不锈钢(含铬12%以上)和镍铬不锈钢(含铬18%和镍8%)两类。铬在钢中能提高钢的硬度、耐热性和耐腐蚀性,镍在钢中能提高钢的强度和韧性。所以镍铬不锈钢的耐腐蚀性和机械加工性能更优良。广泛用于制汽轮机和化工设备。
【特种钢】见合金钢条。
【赤铁矿】矿物名。主要化学成分为Fe2O3。三方晶系,晶体呈片状或菱面体状集合体,常呈致密块状或肾状。结晶质的赤铁矿呈铁黑至钢灰色;有金属或半金属光泽。胶态赤铁矿呈赭红色,无光泽。条痕均呈樱红色。硬度5.5~6.0。密度5~5
【磁铁矿】矿物名。主要化学成分是Fe3O4。等轴晶系,晶体常呈八面体和菱形十二面体、集合体呈粒状或块状。铁黑色,条痕呈黑色。金属光泽或半金属光泽。硬度5.6~6。密度4.9~5
【钛铁矿】矿物名。主要化学成分为FeTiO3。三方晶系,晶体呈厚板状、菱面体状或不规则粒状。铁黑色或钢灰色。条痕黑色至棕红色。半金属光泽。微带磁性。硬度5~6,密度4.7~5
【钴】元素符号Co,原子序数27,原子量58.93,外围电子排布3d74s2,位于第四周期Ⅷ族。金属半径125.3皮米,第一电离能763千焦/摩尔,电负性1.8。主要氧化数+1、+3、+4。银白色金属,硬而有延展性,具有铁磁性,密度
【氯化钴】别名氯化亚钴或二氯化钴。化学式CoCl2,式量129.83。无水物为蓝色六方晶体,结晶水合物中由于结晶水数不同而呈不同颜色。它们的相互转变温度及特征颜色如下:
![]()
易潮解,易溶于水、乙醇,水溶液呈粉红色。密度
【硝酸钴】别名硝酸亚钴。化学式Co(NO3)2·6H2O,式量291.03。红色晶体。有潮解性。易溶于水和乙醇,微溶于氨水。有强氧化性,与有机物摩擦和撞击能引起燃烧和爆炸。
【氧化高钴】别名三氧化二钴,化学式Co2O3,式量165.86。灰黑色结晶性粉末。溶于热盐酸或热稀硫酸,分别放出氯气和氧气。不溶于水和醇。熔点
【三氧化二钴】见氧化高钴条。
【镍】元素符号Ni,原子序数28,原子量58.71,外围电子排布3d84s2,位于第四周期第Ⅷ族。金属半径124.6皮米,第一电离能741.1千焦/摩尔,电负性1.8,主要氧化数+2、+3、+4。银白色金属,有良好延展性,具有中等硬度,有铁磁性。密度
【一氧化镍】别名氧化镍或氧化亚镍,化学式NiO,式量74.71。绿色立方晶体或绿色粉末,密度
【氧化镍】见一氧化镍条。
【氧化亚镍】见一氧化镍条。
【硫酸镍】化学式NiSO4·7H2O,式量280.88。亮绿色菱形晶体,俗称翠矾。密度
【硝酸镍】化学式Ni(NO3)2·6H2O,式量290.81。绿色单斜晶体。有潮解性,在干燥空气中微风化。易溶于水,水溶液呈酸性。溶于乙醇。密度
【钌】元素符号Ru,原子序数44,原子量101.1,外围电子排布4d75s1,位于第五周期第Ⅷ族。银白色有金属光泽金属,很硬,冷时延展性小。密度
【铑】元素符号Rh,原子序数45,原子量102.9,外围电子排布4d85s1,位于第五周期第Ⅷ族,第一电离能724千焦/摩尔,电负性2.2。主要氧化数+2、+4、+6。银白色金属,很硬,但有相当的延展性,密度
【锇】元素符号Os,原子序数76,原子量190.2,外围电子排布5d66s2,位于第六周期Ⅷ族。蓝灰色金属,六方密堆积晶体。非常硬,密度为
【铱】元素符号Ir,原子序数77,原子量192.22,外围电子排布5d76s2,位于第六周期第Ⅷ族。原子半径135.7皮米,第一电离能885千焦/摩尔,电负性2.2,主要氧化数+3、+4、+6。银白色金属,硬度很大,质脆,加热时有良好延展性。密度
【铂】元素符号Pt,原子序数78,原子量195.09,外围电子排布5d96s1,位于第六周期第Ⅷ族。原子半径138皮米,第一电离能868.4千焦/摩尔,电负性2.2,主要氧化数+2、+4。俗称白金,银白色金属,面心立方体晶体,质柔软,有良好的延展性,密度
【白金】见铂条。
【四氯化铂】化学式PtCl,式量336.9。棕红色晶体,密度
【氯铂酸】也叫氢氯铂酸,化学式HPtCl6。一般为含六个结晶水的晶体H2PtCl6·6H2O,式量517.92。红棕色晶体,密度
【铂黑】元素符号Pt,原子量195.05。黑色粉末。在
【铂石棉】附有铂的灰黑色石棉纤维。能液于王水。用作催化剂,气体分析中用作氢的吸收剂。将石棉浸入氯铂酸或氯铂酸铵溶液中取出灼烧即得铂石棉。
【钯】元素符号Pd,原子序数46,原子量106.4,外围电子排布4d105s0,位于第五周期第Ⅷ族。原子半径137.6皮米,第一电离能809千焦/摩尔,电负性2.2,主要氧化数+2,+4。银白色金属,柔软,有延展性,密度
【铜】元素符号Cu,原子序数29,原子量63.55,外围电子排布3d104s1,位于第四周期IB族。原子半径127.8皮米,Cu2+半径72皮米,第一电离能为750千焦/摩尔,电负性1.9,常见氧化数+1、+2。紫红色有光泽的金属,有良好的延展性和传热、导电性。密度
【氧化铜】化学式CuO,式量79.54。黑色立方晶体,密度
【氢氧化铜】化学式Cu(OH)2,式量97.56。淡蓝色粉末状晶体,密度
Cu(OH)2+2NaOH=Na2[Cu(OH)4]
Cu(OH)2+4NH3=[Cu(NH3)4](OH)*
用作媒染剂、颜料、纸张着色。由铜盐溶液和碱溶液反应制得。
【硫酸铜】化学式CuSO4,式量159.6。白色粉末,密度
【胆矾】见硫酸铜条。
【氯化铜】化学式CuCl2,式量134.44。棕黄色粉状结晶。共价化合物。密度
【硝酸铜】常见的是三水合硝酸铜Cu(NO3)2·3H2O,式量241.60。蓝色柱状晶体,密度
【碱式碳酸铜】化学式Cu2(OH)2CO3,式量221.11。俗称碳酸铜或铜绿,是铜锈的主要成分。绿色无定形粉末,密度
【碳酸铜】见碱式碳酸铜条。
【氧化亚铜】化学式Cu2O,式量143.08。由于晶体微粒大小不同,呈现多种颜色,如橙黄、鲜红、深棕色。密度
Cu2O+H2SO4=Cu2SO4+H2O
Cu2SO4=CuSO4+Cu
溶于氢卤酸生成无色络合物H[CuX2]。溶于氨水生成无色的二氨合铜Cu(NH3)2]+,很快被空气中氧气氧化成蓝色的[Cu(NH3)4]2+。用作玻璃或陶瓷的红色颜料,制作整流器材料,有机合成用催化剂,农业用作催化剂。实验室由含酒石酸钾钠的硫酸铜溶液用葡萄糖还原制得。
【硫化铜】化学式CuS,式量95.612。黑色单斜或六方晶体。有金属光泽。密度
通入硫酸铜溶液制得。
【硫化亚铜】化学式Cu2S,式量159.15。灰黑色有光泽的结晶或粉末。对热稳定。导电性好。不溶于水和稀酸。溶于氨水。跟硝酸反应生成硝酸铜、硫和一氧化氮。熔点
【孔雀石】化学式Cu2(OH)2CO3或CuCO3·Cu(OH)2。由铜的碱式盐组成。单斜晶系,晶体呈针状,通常为放射状或钟乳状集合体。绿色。有玻璃光泽或金刚光泽,硬度3.5~4;性脆,密度3.9~4
【自然铜】矿物名。化学成分为Cu。等轴晶系。晶体少见,集合体常为不规的则树枝状,鳞片状及粒状。铜红色。富延展性,有良好导电导热性。自然铜为各种地质作用中还原条件下的产物,与赤铜矿,孔雀石矿共生。是一种铜矿石。
【黄铜矿】含铜的主要矿石。化学成分CuFeS2。常以黄铜色块状存在。具有强烈金属光泽。正方晶系。性脆。解理不完全。密度4.1~4
【黄铜】铜与锌形成的合金。含铜64~67%,含锌33~36%,杂质少于0.3%。有良好可塑性和耐腐蚀性。如还含有一种或几种其它合金元素(如镍、锰、铝、硅等)叫特种黄铜。具有较高的硬度、强度、耐磨性、耐腐蚀性。用于铸造机器零件、制造管材、板材、棒材等,军工用于制枪弹弹壳等。
【青铜】通常指锡青铜。铜、锡为主形成的合金。含铜81~87%,含锡3~4.5%,锌5~7%,铅4~6%。有良好的铸造性能、抗磨性、抗腐蚀性。用于制轴承、阀门、小齿轮、钟表弹簧、热交换器等。此外,铜与铍、铝、锰、硅、磷等组成的二元或多元合金通常称为特种青铜,如铍青铜、磷青铜等。一般有良好的润滑性、高导电性、耐腐蚀性。用于制轴承、齿轮、连杆、仪器零件、板材、管材、棒材以及艺术器等。
【白铜】铜、镍为主形成的合金。含铜78.5~80.5%,镍和钴18~20%。银白色,耐磨性和耐腐蚀性能好。用作医疗器械、精密机械、化工设备零件、日用品等。
【铜绿】铜与含有二氧化碳的潮湿空气接触时,表面生成的绿锈。主要成分是碱式碳酸铜Cu2(OH)2CO3。有毒。易溶于酸和氨水。
【银】元素符号Ag,原子序数47,原子量107.9,外围电子排布4d105s1,位于第五周期IB族。原子半径144.4皮米,Ag半径126皮米,第一电离能735千焦/摩尔,电负性1.9。银白色有光泽金属,柔软,有良好延展性和传热导电性。密度
【硝酸银】化学式AgNO3,式量 169.87。无色晶体,密度
【溴化银】化学式AgBr,式量187.78。黄色立方晶体。密度
【氯化银】化学式AgCl,式量143.32。白色立方晶体,熔点
【氧化银】化学式Ag2O,式量231.74。褐色固体,密度
【碘化银】化学式AgI,式量234.77。有α黄色立方和β橙色立方两种晶体。α晶体密度
【硫酸银】化学式Ag2SO4,式量311.8。无色结晶或白色结晶性粉末。密度
【碳酸银】化学式Ag2CO3,式量275.75。新制得的为浅黄色粉末。久置色变暗。感光性很强。不溶于水和醇。溶于氨水、稀硝酸、氰化钾和硫代硫酸钠溶液。用作分析试剂、镀银。
【磷酸银】化学式Ag3PO4,式量418.58。黄色立方晶体。密度
【硫化银】化学式Ag2S,式量247.8。黑色立方晶体。不溶于水和氨水。溶于浓硝酸。用于制陶瓷。将硫化氢通入硝酸银溶液可制得。
【金】元素符号Au,原子序数79,原子量197.0,外围电子排布5d106s1,位于第六周期IB族,原子半径144.2皮米,第一电离能895千焦/摩尔,电负性2.4。金黄色有光泽金属,质柔软,富有延展性,1克金可拉成
4Au+8NaCN+2H2O+O2=4Na[Au(CN)2]+4NaOH
跟溴在常温下反应,与氟、氯、碘和碲在高温下反应。古代已发现并应用金。用作晶体管的部件、电接触合金、医药、装饰合金,大部用于货币和工艺品。在地球上分布广而稀少,多以游离态自然金形式存在,也有化合态的如碲金矿AuTe2。主要从岩脉金和冲积金矿提取。
【三氯化金】也称氯化金,化学式AuCl3,式量303.33。紫红色晶体。密度
【氯金酸】化学式AuCl3·HCl·4H2O,式量411.85。金黄色或橙黄色针状晶体。易潮解。在干燥空气中失去一个水分子。溶于水也溶于乙醇和乙醚。见光出现黑色斑点。有腐蚀性。从乙醇溶液中可结晶出无水氯金酸(三氯化金)。用作分析试剂、铷、铯的微量分析;制备红色玻璃。还用于镀金、照像材料。将金溶于王水,蒸发除去盐酸而制得。
【氢氧化金】化学式Au(OH)3,式量248.02。黄棕色固体,不溶于水。两性氢氧化物。溶于大多数酸;溶于过量强碱溶液,形成络合氢氧金酸盐。微热时分解生成三氧化二金。易还原成金属金。用于镀金、陶瓷着色等。由氯化金溶液跟氢氧化钠溶液反应制得。
【氧化金】别名三氧化二金。化学式Au2O3,式量495.98。棕色粉末,不溶于水。两性氧化物。溶于盐酸和氢氧化钠溶液。见光逐渐分解,
【锌】元素符号Zn,原子序数30,原子量65.38,外围电子排布3d104s2,位于第四周期ⅡB族。原子半径125皮米,第一电离能915千焦/摩尔,电负性1.6。主要氧化数+2。银白略带蓝色有光泽金属,硬度2.5,有延展性,良好的传热、导电性,密度为
Zn+2NaOH=Na2ZnO2+H2↑
溶于氨水和铵盐溶液中,如:
Zn+2NH4Cl=Zn(NH3)2Cl2+H2↑
主要用于制合金、金属表面镀锌,还用于制于电池、焰火、作催化剂和还原剂。我国明代以前已发现并使用锌。主要矿物有闪锌矿ZnS、菱锌矿ZnCO3等。先将矿石煅烧变成氧化锌,再用焦炭还原氧化锌制得。
【氧化锌】化学式ZnO,式量81.37。俗名锌白。白色六方晶体或粉末。密度
【硫酸锌】常见的是七水合硫酸锌ZnSO4·7H2O,俗称皓矾,式量287.54。无色晶体,密度
【氯化锌】化学式 ZnCl2,式量136.28。白色固体,密度
【氢氧化锌】化学式Zn(OH)2,式量99.38。无色斜方晶体。密度
Zn(OH)2+4NH3=[Zn(NH3)4]2++2OH-
常用作橡胶填加剂、外科药膏。由锌盐溶液加入适量强碱溶液制得。
【锌白】见氧化锌条。
【硫化锌】化学式ZnS,式量97.43。白色或微黄色粉末。α变体为无色六方晶体,密度
【磷化锌】化学式Zn3P2,式量258.08。深灰色四方晶体。有恶臭。密度
【硝酸锌】化学式Zn(NO3)2·6H2O,式量297.47。无色晶体。易潮解,易溶于水和乙醇,水溶液显酸性。
【锌钡白】俗称立德粉。是硫化锌跟硫酸钡的混合晶体。是一种优良的白色颜料。由硫酸锌溶液跟硫化钡溶液混合制得:
ZnSO4(溶液)+BaS(溶液)=ZnS·BaSO4↓
【皓矾】见硫酸锌条。
【镉】元素符号Cd,原子序数48,原子量112.4,外围电子排布4d105s2,位于第五周期ⅡB族,原子半径141皮米,第一电离能873千焦/摩尔,电负性1.69。微带蓝色的银白色金属,粉末状的呈灰白色。较软,有延展性。密度
【硫化镉】化学式CdS,式量144.46。晶体有两种,α-式呈柠檬黄色粉末,β-式呈桔红色粉末。微溶于水,溶于酸,极易溶于氨水。可用于制焰火、玻璃釉、瓷釉、发光材料、颜料。高纯度硫化镉是良好的半导体,对可见光有强烈的光电效应,可用于制光电管、太阳能电池。将硫化氢通入镉盐的酸溶液中制取。
【硝酸镉】化学式Cd(NO3)2·4H2O,式量308.47。白色针状或棱状晶体。密度
【氯化镉】化学式CdCl3,式量183.32。无色六方晶体。密度
【硫酸镉】化学式3CdSO4·8H2O,式量769.49。无色单斜晶系柱状结晶。密度
【汞】元素符号Hg,原子序数80,原子量200.59,外围电子排布5d106s2,位于第六周期ⅡB族。原子半径144皮米,第一电离能1013千焦/摩尔,电负性1.9。俗名水银。常温下唯一以液态存在的金属,银白色,熔点
【汞齐】又称汞合金。汞溶解其它金属形成的合金。汞量多时为液态,汞量少时为固体。有广泛用途,如钠汞齐作还原剂、锌汞齐制电池、银汞齐补牙、锡汞齐制镜。
【氧化汞】化学式HgO,式量216.59。俗名三仙丹。有两种变体,红色晶体粉末,黄色晶体粉末。难溶于水。加热至
【硝酸汞】化学式Hg(NO3)2·1/2H2O,式量333.61。淡黄色晶体,有毒,密度
【氯化汞】俗称升汞化学式HgCl2,式量271.50。无色晶体。密度
【氯化亚汞】因略带甜味俗称甘汞。化学式为Hg2Cl2,式量472.09。白色正方或四方晶体。密度
【硫化汞】化学式HgS,式量232.65。有红色六角晶体,有金属光泽,密度
【三仙丹】见氧化汞条。
【升汞】见氯化汞条。
【甘汞】见氯化亚汞条。
【朱砂】天然产的硫化汞俗称,呈红褐色。
【雷汞】又称雷酸汞。化学式Hg(ONC)2,式量284.62。白色或灰色结晶粉末。密度
【雷酸汞】见雷汞条。
【钪】元素符号Sc,原子序数21,原子量44.96,外围电子排布3d14s2,位于第四周期ⅢB族。原子半径160.6皮米,第一电离能632千焦/摩尔,电负性1.3,主要氧化数+3。较软的银白色金属,密度
【钇】元素符号Y,原子序数39,原子量88.91,外围电子排布4d15s2,位于第五周期ⅢB族。原子半径181皮米,第一电离能615.6千焦/摩尔,电负性1.2,主要氧化数+3。稀土元素之一。灰色有光泽金属,熔点
【钛】元素符号Ti,原子序数22,原子量47.90,外围电子排布3d24s2,位于第四周期ⅣB族,原子半径144.8皮米,第一电离能 662千焦/摩尔,电负性1.5,主要氧化数+2、+3、+4。银白色有光泽金属,有良好的延展性,密度
【二氧化钛】俗称钛白或钛白粉。化学式TiO2。式量79.90。白色无定形粉末,加热时变黄色,受高温变棕色,冷时再呈白色。不溶于水。化学性质相当稳定,不溶于盐酸、硝酸和稀硫酸。溶于热浓硫酸、氢氟酸。是弱的两性氧化物,与硫酸氢钾熔融生成硫酸钛;与氢氧化钠熔融生成钛酸钠。用作重要的白色颜料和瓷器釉药,还用于制金属钛、钛铁合金、硬质合金。橡胶、造纸用作填料。电机工业用于制绝缘体、电瓷等。工业上用硫酸分解钛铁矿,除铁后再经水解制得。
【钛白】见二氧化钛条。
【四氯化钛】化学式TiCl4,式量189.91。无色或淡黄色液体,易挥发,密度
TiCl4+3H2O=H2TiO3+4HCl↑
是制备金属钛的中间产物,在
TiO2+
【锆】元素符号Zr,原子序数40,原子量91.22,外围电子排布4d25s2,位于第五周期ⅣB族。原子半径160皮米,第一电离能664千焦/摩,电负性1.4。浅灰色,硬而脆。密度
【铪】元素符号Hf,原子序数72,原子量178.49,外围电子排布5d26s2,位于第六周期ⅣB族。原子半径156.4皮米,第一电离能533千焦/摩尔,电负性1.3,主要氧化数+4。银白色有光泽金属。密度
【钒】元素符号V,原子序数23,原子量50.94,外围电子排布3d34s2,位于第四周期VB族。原子半径132.1皮米,第一电离能654千焦/摩尔,电负性1.6。银白色金属,有良好的延展性。密度
【五氧化二钒】化学式V2O5。黄色正交晶体。微溶于水,能溶于酸或碱溶液。在有机合成和硫酸工业上用它做催化剂。灼烧钒酸铵制得。
【铌】元素符号Nb,原子序数41,原子量92.91,外围电子排布4d45s1,位于第五周期 V B族。原子半径142.9皮米,第一电离能667千焦/摩尔,电负性1.6,主要氧化数+2、+3、+4、+5。钢灰色有光泽金属。硬而有延展性。密度
【钽】元素符号 Ta,原子序数73,原子量 180.95,外围电子排布5d36s2,位于第六周期VB族。原子半径143皮米,第一电离能745千焦/摩尔,电负性1.5。银白色有光泽金属,有延展性。密度为
【铬】元素符号Cr,原子序数24,原子量51.996,外围电子排布3d54s1,位于第四周期ⅥB族。原子金属半径124.9皮米,第一电离能657千焦/摩尔,电负性1.6,主要氧化数+2、+3、+6。银白色有光泽金属,含有杂质的铬硬而脆,高纯铬有延展性。耐腐蚀性强,不溶于水,在空气中即便是在高温下氧化也很缓慢。高温下,铬能与卤素、硫、氮、碳等化合,也能跟水蒸气反应。能慢慢地溶于稀盐酸、稀硫酸、生成二价铬盐(蓝色),与空气接触时很快被氧化成三价铬盐(绿色)。铬能与浓硫酸反应,但不溶于浓硝酸,因表面生成致密氧化膜而呈钝态。能被熔融碱侵蚀。与氢反应生成CrH2。主要用于制不锈钢及耐高温耐腐蚀的高强度的合金,制电阻合金,还用于电镀。1797年法国人沃克兰发现了铬。主要矿物有铬铁矿Fe(CrO2)2。由电解铬氨钒溶液或铬酸溶液制得,也可用铝粉还原氧化铬制得。
【三氧化二铬】亦称氧化铬。化学式Cr2O3,式量151.99。绿色六方晶体或无定形粉末。密度
![]()
【三氧化铬】亦称铬酸酐。化学式CrO3,式量99.99。红色正交晶体,常呈针状或柱状结晶。密度
【铬酐】铬酸酐的简称,见三氧化铬条。
【氯化铬】别名三氯化铬。化学式CrCl3,式量158.38。无水氯化铬为强烈发光的紫色六角晶系的片状结晶。密度
【钼】元素符号Mo,原子序数42,原子量95.94,外围电子排布4d55s1,位于五周期ⅥB族。原子半径136.2皮米,第一电离能689千焦/摩尔,电负性1.8。主要氧化数+2、+3、+4、+5、+6。银灰色有光泽的金属。质硬而有延展性。密度
【三氧化钼】化学式MoO3,式量143.94。白色透明斜方晶体,加热时转为黄色,冷却后恢复原来颜色。密度
【钨】元素符号W,原子序数74,原子量183.85,外围电子排布5d46s2,位于第六周期ⅥB族。原子半径137皮米,第一电离能775千焦/摩尔。电负性1.7,主要氧化数+2、+3、+4、+5、+6。银灰色有光泽金属,硬度很大,密度
【三氧化钨】化学式WO3,式量231.85。黄色正交结晶或橙黄色粉末。密度
【钨酸】化学式H2WO4,式量249.88。黄色或黄绿色粉末。密度
【锰】元素符号Mn,原子序数25,原子量54.94,外围电子排布3d54s2,位于第四周期ⅦB族。原子半径124皮米,第一电离能727千焦/摩尔,电负性1.5。主要氧化数+2、+4、+6、+7。银白色金属,硬而脆,密度
【二氧化锰】化学式MnO2,式量86.94。钢灰色块状固体或黑色粉末。天然产的称软锰矿。密度
【硫酸锰】化学式MnSO4·4H2O,式量223.08。微红色细小晶体。密度
【锝】元素符号Tc,原子序数43、原子量98.9,外围电子排市4d55s2位于第五周期ⅦB族。原子半径135.8皮米,第一电离能708千焦/摩尔,电负性1.9,主要氧化数+4、+7。银灰色金属,密度
【铼】元素符号Re,原子序数75,原子量186.2,外围电子排布5d56s2,位于第6周期ⅦB族。原子半径137皮米,第一电离能765千焦/摩尔,电负性1.9,主要氧化数+3、+4、+7。银白色有光泽金属,质软,有良好延展性,电阻大。密度
【镧】元素符号La,原子序数57,原子量138.9,外围电子排布5d16s2,位于第六周期ⅢB族。原子半径187.7皮米,电负性1.1,主要氧化数+3。银白色金属,柔软,有延展性,密度
【铈】元素符号Ce,原子序数58,原子量140.12,外围电子排布
【镨】无素符号Pr,原子序数59,原子量140.9,外围电子排布
【钕】元素符号Nd,原子序数60,原子量144.24,外围电子排布
【钷】元素符号Pm,原子序数61,原子量147。外围电子排布
【钐】元素符号Sm,原子序数62,原子量150.35,外围电子排布
【铕】元素符号Eu,原子序数63,原子量151.96,外围电子排布
【钆】元素符号Gd,原子序数64,原子量157.25,外围电子排布
【铽】元素符号Tb,原子序数65,原子量158.9254,外围电子排布
【镝】元素符号Dy,原子序数66,原子量162.50,外围电子排布
【钬】元素符号Ho,原子序数67,原子量164.93,外围电子排布
【铒】元素符号Er,原子序数68,原子量167.26,外围电子排布
【铥】元素符号Tm,原子序数69,原子量168.934,外围电子排布
1879年瑞典人克利夫发现了铥。用钙还原三氟化铥制得。
【镱】元素符号Yb,原子序数70,原子量173.04,外围电子排布
【镥】元素符号Lu,原子序数71,原子量174.97,外围电子排布
【锕】元素符号Ac,原子序数89,原子量227,外围电子排布6d17s2,位于第七周期ⅢB族。原子半径187.8皮米,电负性1.1,主要氧化数+3。银白色金属,密度
【钍】元素符号Th,原子序数90,原子量232.04,外围电子排布6d27s2,位于第七周期ⅢB族(也可列为ⅣB族)。原子半径179.8皮米(α),电负性1.3,主要氧化数+3、+4。银白色金属,有光泽,较软,有延展性。密度
【镤】元素符号Pa,原子序数91,原子量231,外围电子排布
【铀】元素符号U,原子序数92,原子量238,外围电子排布
【镎】元素符号Np,原子序数93,原子量237.04,外围电子排布
【钚】元素符号Pu,原子序数94,原子量242,外围电子排布
【镅】元素符号Am,原子序数95,原子量243,核外电子排布
【锔】元素符号Cm,原子序数96,原子量247,外围电子排布
【锫】元素符号Bk,原子序数97,原子量247,核外电子排布
【锎】元素符号Cf,原子序数98,原子量251,核外电子排布
【锿】元素符号Es,原子序数99,原子量254,核外电子排布式
【镄】元素符号Fm,原子序数100,原子量257,外围电子排布
【钔】元素符号Md,原子序数101,原子量258,外围电子排布
【锘】元素符号No,原子序数102,原子量259,外围电子排布
【铹】元素符号Lr,原子序数103,原子量260,外围电子排布
【104号元素】元素符号暂用Unq表示,即104号元素。1964年苏联费列罗夫等人用氖离子轰击钚,得到质量数为260的104号元素。1969年美国乔索等人用碳离子轰击锎,用氧离子轰击锿等方法也合成了104号元素的同位素。都有放射性。半衰期分别为0.3秒到4.5秒。在水溶液中的氧化态为+4。是第一个人工合成的超锕系元素。国际上还没有公认的名称。
【105号元素】元素符号暂用Unp表示,原子序数105,是第二个人造超锕系元素。1970年美国人乔索等用氮离子轰击锎,合成了质量数为260的105号元素,半衰期1.6秒。同年苏联人费列罗夫等用氖离子轰击镅也发现了105号元素。目前没有公认的名称。
【106号元素】元素符号暂用Unh,原子序数106,人工合成的第三个超锕系元素。1974年苏联杜布纳实验室和美国乔索等人分别用氧离子轰击锎,用铬离子轰击铅获得半衰期仅为7毫秒的106号元素的同位素。
【107号元素】元素符号暂用Uns表示,原子序数107。人工合成的第四个超锕系元素。苏联杜布纳实验室在1976年用铬离子轰击铋,得到107号元素的同位素。1981年联邦德国报导用铬离子轰击铋也得到107号元素的同位素。半衰期为2微秒(质量数为261)。
【108号元素】原子序数108。1984年联邦德国达姆施塔特重离子研究协会在粒子加速器中用铁元素和铅元素合成的。半衰期极短。
【109号元素】原子序数109。人工合成的第六个超锕系元素。1982年8月联邦德国达姆施塔重离子研究协会用铁-58跟铋-209在粒子加速器中合成了109号元素。半衰期约为五千分之一秒。
【独居石】又称磷铈镧矿。是稀土、钍的磷酸盐矿物。以轻稀土为主,单斜晶系。褐色、黄褐色、黄绿色或红褐色。性脆。有放射性。在紫外线中呈鲜绿色荧光。用以提取稀土元素、放射性元素钍和铀等。
一、有机物的结构
【杂化轨道理论】同一原子中能量相近的原子轨道,在成键时组合成成键能力更强的新轨道的过程,称作原子轨道的杂化。形成的新轨道称作杂化轨道。有几条原子轨道参加杂化就能得到几条杂化轨道。杂化轨道理论是在电子配对为基础的价键理论上提出并发展的。杂化轨道理论能很好地解释有机化合物的分子空间结构问题。例如,碳原子最外层的电子排布为2s22p2,有两个未成对电子,按电子配对法只能形成两个共价键,而两个共价键的键角应是90°,但实际上甲烷分子中4个C-H键完全相同,键角是109°28′。杂化理论认为,碳原子成键时2s中的1个电子吸收能量被激发到2p轨道,形成4个未成对电子,然后1个s轨道和3个p轨道组合形成4个等价的sp3杂化轨道,分别与4个氢原子形成4个共价键,键角都是109°28′,是正四面体构型。
【σ键】两个原子轨道沿键轴方向重叠而形成的一种以两个原子核之间的直线为对称轴的共价键叫σ键。构成σ键的电子叫σ电子。σ键是原子轨道沿轴向重叠的,具有较大的重叠程度,因而比较稳定。σ键可以自由旋转,而不影响电子云的分布。
【π键】成键原子的未杂化的p轨道,通过平行侧向重叠所形成的共价键叫π键。两个p轨道侧向重叠,其重叠程度比轴向重叠的σ键小,稳定性不如σ键,两个p轨道在平行时才能较大地重叠,当形成π键的两个原子以核间轴为轴相对旋转时,会使p轨道重叠程度减小,导致π键的破坏,π键电子云密集在核间轴平面的上面和下面两部分,受两核的吸引力较弱,有较大的流动性。
【大π键】大π键通常是指苯环的6个成环碳原子各以1个未杂化的2p轨道彼此重叠(侧向)形成的封闭的共轭π键。
【单键】分子中两个成键原子各以1个未成对电子形成一对共用电子对,这样的共价键叫单键。单键通常都是σ键。
【双键】分子中两个原子间共用两对电子所形成的共价键叫双键。双键不是单键的简单加和,通常都是由1个σ键和1个π键构成的。如乙烯“C=C”键键能是598千焦/摩尔,小于乙烷“C—C”键键能(347千焦/摩尔)的两倍。乙烯分子中的两个碳原子各形成3个sp2杂化轨道,两个碳原子间形成1个σ键,两个碳原子各以σ键再结合两个氢原子,这些σ键同处于一个平面上,各σ键间的键角约120°,而两个未杂化的p轨道垂直于该平面并侧向重叠形成π键。双键中的σ键不能象单键的σ键那样自由旋转。其中的π键易被破坏发生加成反应。
【叁键】分子中两个原子间共用三对电子所形成的共价键叫叁键。参键不是单键或单键与双键的简单加和。叁键通常是由1个σ键和2个π键构成。如乙炔分子中两个碳原子各形成两个sp杂化轨道,两个碳原子间形成1个σ键,两个碳原子各以σ键再结合1个氢原子,这些σ键同处于一条直线上。两个碳原子各以两个未杂化而且相互垂直的P轨道,平行地侧向重叠形成两个π键,π键易被破坏发生加成反应。
【苯环结构】苯环中每个碳原子各以3个电子按sp3杂化而形成三个σ键(1个C—H键和两个C—C键)这三个σ键之间均为120°,6个碳原子处于同一平面上并形成正六边形。每个碳原子各剩余1个未杂化的p轨道,垂直于苯环的平面,彼此平行侧向重叠,形成一个π电子云完全平均化的闭合π键,这种大π键在通常情况下是稳定的。
【诱导效应】分子中两个电负性不同的原子或原子团成键时,由于它们吸引电子的能力不同,就会产生永久偶极,这种极化作用可以沿σ键传递下去,这种作用叫诱导效应。诱导效应的传递由一个原子传至下一个原子,向同一方向,由近及远,明显减弱,超过三个原子时可以忽略不计。如氯乙
的电负性强,产生诱导效应,导致生成物酸性增强:

【共轭效应】由一个单键隔开的两个双键,如1,3-丁二烯CH2=CH-CH=CH2,叫共轭双键。含共轭双键的分子体系称为共轭体系。由于相邻的p轨道电子云互相发生作用,使键电子云分布趋于平均化,形成统一的整体。这种电子云分布平均化的结果,使得单键和双键的性质发生变化,与单独存在的单键和双键不同。这种变化叫共轭效应。共轭效应主要是通过π键传递,能从共轭体系的一端传递到较远的另一端,例如对硝基苯酚。

羟基中的氧原子上的负电荷能分散到包括硝基在内的共轭体系中,使得羟基的H—O键易断裂,其酸性比苯酚强得多。如2,4,6—三硝基苯酚,由于苯环上引入了3个硝基,使其酸性与无机强酸相近。取代基对有机物的影响往往同时具有共轭效应和诱导效应,这两种效应的方向可以一致,也可以不一致。如对氯苯酚中氯原子的诱导效应和把p电子云分散到整个共轭体系中的共轭效应在方向上是不一致的。
【定位效应】苯环上原有取代基对新引入取代基位置的影响叫定位效应。苯环取代基的定位效应,可用诱导效应和共轭效应解释。取代基对苯环的诱导效应,导致苯环上与带取代基的碳原子上的π键电子云发生移动,使一些电子云分布相对较大的位置上活性较大,亲电取代反应主要发生在这些部位上,即为新导入的取代基确定了位置。苯环上原有取代基也叫定位基,邻对位定位基一般使苯环活化,取代反应比苯易于进行。常见的邻对位定位基有:-NH2、-OH、-NHCOCH3、-CH3(-R)、-X。一般邻对位定位基与苯环直接相连的原子具有未共用电子对(如O、N、卤素)或烷基。间位定位基一般使苯环钝化,取代反应比苯难于进行。取代反应主要发生在间位上。常见的间位定位基有-NO2、-CN、-SO3H、-CHO-COOH、-NR3+等。这类取代基直接和苯环相连的原子上一般有重键或带有正电荷。
【同分异构】分子组成相同,但分子结构和性质不同的化合物叫做同分异构体。这种现象称为同分异构现象。
【碳架异构】分子组成相同,但分子中碳原子相互连接的顺序不同的化合物叫碳架异构体。如C5H12有三种异构体:

碳架异构只涉及到碳原子的结合顺序,不涉及到分子中各原子在空间的排列和定向。随分子中碳原子数的增多,碳架异构的数目也随之增多。
【位置异构】分子组成相同,但分子中的取代基或官能团(包括C≡C和C≡C键)在碳链或碳环上的位置不同的化合物叫做位置异构体。如丙醇有两种异构体:
![]()
位置异构只涉及到取代基或官能团的位置,通常是对碳架结构相同的化合物而言的。
【类别异构】分子组成相同,但由于分子中各种原子结合的方式或顺序不同,因而具有不同官能团的化合物叫类别异构体。如乙醇和甲醚,乙酸和甲酸甲酯,丙醛和丙酮等互称为类别异构体。类别异构体与碳架异构体和位置异构体有很大的不同。类别异构体在化学性质上往往有本质的差别。
【顺反异构】顺反异构即几何异构。通常存在于含有双键或环架结构的分子中,双键中的π键不能旋转,环架结构也阻碍了C-C单键的旋转,不同取代基在空间可形成不同的分布而产生异构,顺反异构分顺式和反式两种。若相同的原子或取代基在双键或碳架规定平面的同一侧叫顺式,若位于两侧叫反式。如含C=C双键和ab两种原子团

具体的物质象丁烯二酸,有顺丁烯二酸和反丁烯二酸

含环架结构的象1,4一二甲基环乙烷:

【对映异构】对映异构即旋光异构。在分子中,与四个不同原子或原子团直接相连的碳原子叫做不对称碳原子,如乳酸分子中,与甲基、羟基、羧基、氢原子直接相连的碳原子,不对称碳原子周围的四个不同原子或原子团可以有两种互为镜象关系,但不能彼此重合的四面体空间构型,这两种构型互为对映异构体。对映异构体的物理及化学性质都相同,但在一定条件下的旋光方向相反。使偏振光左旋的为“左旋体”,使偏振光右旋的为“右旋体”,左旋体用L-或(-)-表示,右旋体用D-或(+)-表示。乳酸对映异构体费歇尔投影式可表示如下:

若将乳酸的左旋体和右旋体等量混和后,用“(±)-乳酸”表示。由于它们对偏振光的作用相互抵消,故不再有旋光性,叫外消旋体。
【官能团】具有特定结构和性质,在有机物分子中容易发生化学反应并能决定有机化合物主要化学性质的原子或原子团。
【烃基】烃分子中去掉一个或几个氢原子剩余的原子团叫做烃基。根据去掉的氢原子的数目,可将烃基分为一价基、二价基、三价基等;根据烃基对应的烃可分为烷基、乙烯基、苯基等。
【烷基】从烷烃分子中去掉一个氢原子后得到的烃基叫烷基。烷基是一价基,可用通式CnH2n+1来表示,习惯上用字母R代表,常见的有:

【碳碳双键】
它的结构参见“双键”条,可以看作烯烃的官能团,双键中的π键容易打开,发生加成反应,也可以发生聚合反应。
【碳碳三键】它的结构参见“三键”条,“-C≡C-”可以看作炔烃的官能团,炔烃的不饱和性比烯烃更大,叁键中的两个π键可分两步打开,发生加成反应,最后得到饱和的化合物。炔烃也可以发生聚合反应。
【乙烯基】乙烯分子中去掉一个氢原子剩余的部分叫做乙烯基(CH2=CH-),如乙烯基乙炔(CH2=CH-C=CH)、苯乙烯(C6H5CH=CH2)等分子中都含有乙烯基。
【苯基】苯分子去掉一个氢原子剩余的部分(C6H5-)叫做苯基,如硝基苯(
)、苯酚(
)、溴苯(
)等分子中都含有苯基。
【苯甲基】亦称“苄基”。甲苯分子中甲基上去掉一个氢原子剩余的部分(
)叫苯甲基,如苯甲醇(
)和苄氯(
)等分子中都含有苯甲基。
【苄基】见苯甲基条。
【羟基】亦称“氢氧基”,由H和O组成的一价原子团(-OH)。在无机碱类、无机含氧酸及有机化合物的醇类、芳香醇类、酚类、羧酸等分子中都含有这种官能团。
【氢硫基】见巯基条。
【巯基】亦称“氢硫基”,由H和S组成的一价原子团(-SH),如甲硫醇(CH3-SH)、硫酚(C6H5SH)等分子中含有这种原子团。
【氢硫基】见巯基条。
【醛基】羰基(
)和一个氢原子结合而成的原子团(
)叫做醛基,是醛类的官能团,如乙醛(
)。
【羰基】系由C和O组成的原子团(
),在醛类(
)和酮类(
)分子中都含有该原子团。碳氧双键在一定条件下能发生加成反应。如丙醛与氢气加成生成1—丙醇,丙酮与氢气加成生成2—丙醇等。
【羧基】羧基是羧酸分子中的官能团(
)。羧基可以看成是羰基(
)和羟基(-OH)结合而成的一价原子团。
【酰基】无机含氧酸或羧酸分子中去掉羟基(-OH)后剩余的部分。如磺酸基(-SO3H)、硝基(-NO2)、乙酰基(
)、苯甲基酰(
)等。
【硝基】亦称“硝酰基”(-NO2)。硝基可以看成是硝酸(HO-NO2)分子中去掉一个羟基(-OH)后剩余的部分,也可以用
来表示,它是硝基物如硝基甲烷(CH3NO2)、硝基苯(
)等的官能团。
【磺酸基】亦称“磺基”。是硫酸分子中去掉一个羟基后剩余的部分,用-SO3H来表示。磺酸基与烃基的碳原子直接相连时叫做磺酸(RSO3H),R可以是烷基,也可以是苯基。如苯磺酸(
)。有机化合物分子中引入磺酸基后可增加其酸性,又因为磺酸基是亲水性基团,可增加其水溶性。
【氨基】氨分子中去掉一个氢原子后剩余的一价原子团,用-NH2来表示。有机化合物如乙二胺(
)、苯胺(
)、乙酰胺(
)、α-氨基乙酸(
)、尿素(
)等分子中都含有氨基。有些有机物分子中引入氨基后,其碱性增强。
【氰基】亦称“氰根”。由碳、氮两种原子构成的一价原子团,用-C≡N或-CN来表示。无机氰化物及有机腈类物质如丙烯腈(
)、己二腈(
)等分子中都含有氰基官能团。
【偶氮基】系基团-N=N-两端都与烃基的碳原子相连的原子团。有机化合物如偶氮苯(
)、对-羟基偶氮苯(
)等分子中都含有偶氮基。偶氮化合物都有颜色,有的可用作染料。
【卤原子】卤原子通常是指F、Cl、Br、I等元素。有机化合物如卤代烃、酰卤等分子中都含有卤原子。象溴乙烷(CH3-CH2Br)和乙酰氯(
)等。
二、有机物的分类
【同系列】结构相似,分子组成上相差一个或若干个“CH2”原子团的一系列化合物称为同系列。同系列中的各个成员称为同系物。由于结构相似,同系物的化学性质相似;它们的物理性质,常随分子量的增大而有规律性的变化。
【同系物】结构相似,分子组成上相差一个或若干个“CH2”原子团,通式相同的化合物互称为同系物。如烷烃系列中的甲烷、乙烷、丙烷、正丁烷等互称为同系物。
【烃】由碳和氢两种元素构成的一类有机化合物,亦称“碳氢化合物”。种类很多,按结构和性质,可以分类如下:

【开链烃】分子中碳原子彼此结合成链状,而无环状结构的烃,称为开链烃。根据分子中碳和氢的含量,链烃又可分为饱和链烃(烷烃)和不饱和链烃(烯烃、炔烃)。
【脂肪烃】亦称“链烃”。因为脂肪是链烃的衍生物,故链烃又称为脂肪烃。
【饱和烃】饱和烃可分为链状饱和烃即烷烃(亦称石蜡烃)和另一类含有碳碳单键而呈环状的饱和烃即环烷烃(参见闭链烃)。
【烷烃】即饱和链烃,亦称石蜡烃。通式为CnH2n+2(n≥1),烷烃中的含氢量已达到饱和。烷烃中最简单的是甲烷,是天然气和沼气的主要成分,烷烃主要来源是石油、天然气和沼气。
【不饱和烃】系分子中含有“C=C”或“C≡C”的烃。这类烃也可分为不饱和链烃和不饱和环烃。不饱和链烃所含氢原子数比对应的烷烃少,化学性质活动,易发生加成反应和聚合反应。不饱和链烃又可分为烯烃和炔烃。不饱和环烃可分为环烯烃(如环戊二烯)和环炔烃(如苯炔)。
【烯烃】系分子中含“C=C”的烃。根据分子中含“C=C”的数目,可分为单烯烃和二烯烃。单烯烃分子中含一个“C=C”,通式为CnH2n,其中n≥2。最重要的单烯烃是乙烯H
【二烯烃】系含有两个“C=C”的链烃或环烃。如1,3-丁二烯。2-甲基-1,3-丁二烯、环戊二烯等。二烯烃中含共轭双键体系的最为重要,如1,3-丁二烯、2-甲基-1,3-丁二烯等是合成橡胶的单体。
【炔烃】系分子中含有“C≡C”的不饱和链烃。根据分子中碳碳叁键的数目,可分为单炔烃和多炔烃,单炔烃的通式为CnH2n-2,其中n≥2。炔烃和二烯烃是同分异构体。最简单、最重要的炔烃是乙炔HC≡CH,乙炔可由电石和水反应制得。
【闭键烃】亦称“环烃”。是具有环状结构的烃。可分为两大类,一类是脂环烃(或称脂肪族环烃)具有脂肪族类的性质,脂环烃又分为饱和环烷烃和不饱和环烯烃,如环戊烷(
)、环戊烯(
)。环烷烃的通式为CnH2n,其中n≥3。环烷烃和烯烃是同分异构体。环烷烃存在于某些石油中,环烯烃常存在于植物精油中。环烃的另一类是芳香烃,大多数芳香烃是有苯环结构和芳香族化合物的性质。
【环烷烃】在环烃分子中,碳原子间以单键相互结合的叫环烷烃,是饱和脂环烃。具有三环和四环的环烷烃,稳定性较差,在一定条件下容易开环。五环以上的环烷烃较稳定,其性质与烷烃相似。常见的环烷烃有环丙烷、环丁烷、环戊烷、环己烷等。
【芳香烃】一般是指分子中含有苯环结构的烃。根据分子中所含苯环的数目以及苯环间的联结方式,可分为单环芳香烃、多环芳香烃、稠环芳香烃等。单环芳香烃的通式为CnH2n-6,其中n≥6,单环芳香烃中重要的有苯(
)、甲苯(
)、二甲苯(
)等。
【稠环芳香烃】分子中含有两个或多个苯环,苯环间通过共用两个相邻的碳原子形成的芳香烃称作稠环芳香烃。如萘(
)等。
【杂环化合物】分子中含有碳原子和氧、氮、硫等其它原子形成环状结构的化合物叫杂环化合物。其中以五原子和六原子的杂环较稳定。具有芳香性的称作芳杂环,如呋喃(
)、噻吩(
)、吡咯(
)等。无芳香性的称作非芳杂环,如四氢呋喃(
)、六氢吡啶(
)等。
【卤代烃】烃分子中一个或多个氢原子被卤素原子取代而形成的化合物称为卤代烃。根据取代上去的不同卤素原子可分为氟代烃、氯代烃、溴代烃、碘代烃等。根据分子中卤素原子的数目,可分为一卤代烃和多卤代烃。根据烃基种类的不同,可分为饱和卤代烃即卤代烷烃、不饱和卤代烃即卤代烯烃和卤代炔烃、卤代芳香烃等,例如氯乙烷(
)、氯乙烯(
)、溴苯(
)、1,2-二溴丙烷(CH3-CHBr-CH2Br)等。
【醇】烃分子中的一个或几个氢原子被羟基取代后的产物称为醇(若苯环上的氢原子被羟基取代后的生成物属于酚类)。根据醇分子中羟基的数目,可分为一元醇、二元醇、三元醇等,根据醇分子中烃基的不同,可分为饱和醇不饱和醇和芳香醇。由于跟羟基所连接的碳原子的位置,又可分为伯醇如乙醇(C2H5OH)、仲醇如异丙醇(
)、叔醇如叔丁醇[(CH3)3COH]。醇类一般呈中性,低级醇易溶于水,多元醇带甜味。醇类的化学性质主要有氧化反应、酯化反应、脱水反应、与氢卤酸反应、与活动金属反应等。
【芳香醇】系芳香烃分子中苯环的侧键上的氢原子被羟基取代而成的物质。如苯甲醇(亦称苄醇)。
【酚】芳香烃分子中苯环上的氢原子被羟基取代而成的化合物称作酚类。根据酚分子中所含羟基的数目,可分为一元酚,二元酚和多元酚等,如苯酚(
)、对苯二酚(
)、1,3,5-苯三酚(
)。酚类大都是无色晶体,易溶于乙醇,某些酚遇三氯化铁水溶液呈变色反应。酚具有较弱的酸性,能与碱反应生成酚盐。酚分子中的苯环受羟基的影响容易发生卤化、硝化、磺化等取代反应。
【醚】两个烃基通过一个氧原子连结而成的化合物称作醚。可用通式R-O-R'表示。若R与R'相同,叫简单醚,如甲醚CH3-O-CH3、乙醚C2H5-O-C2H5等;若R与R'不同,叫混和醚,如甲乙醚CH3-O-C2H5。若二元醇分子内或分子间脱水可形成环状醚,如环氧乙烷(
)。若两个芳烃基通过一个氧原子连接而形成的醚,称作芳香醚,如二苯醚(
)。
【醛】醛基(
)与烃基(或氢)相连而形成的化合物称作醛。耕具分子中醛基的数目,可分为一元醛、二元醛等;根据分子中烃基的不同,可分为饱和醛、不饱和醛和芳香醛等。饱和醛如甲醛(
)、乙醛(
)等,不饱和醛如丙烯醛(
),芳香醛如苯甲醛(
)。醛一般可由相应的伯醇氧化制得。醛类中羰基可发生加成反应,易被较弱的氧化剂如费林试剂、多伦试剂氧化成相应的羧酸。重要的醛有甲醛、乙醛等。
【芳香醛】分子中醛基与苯环直接相连而形成的醛,称作芳香醛。如苯甲醛。
【酮】羰基
的两个单键与两个烃基相连形成化合物称为酮。根据分子中羰基的数目,可分为一元酮和二元酮,一元酮的通式为
。又分为单一酮和混合酮,单一酮如丙酮(
),混合酮如甲乙酮(
)。根据分子中烃基的不同,分为饱和酮如丙酮、不饱和酮如甲基乙烯酮(
),此外,还有环酮、芳香酮、醌等。
【羧酸】烃基或氢原子与羧基连结而形成的化合物称为羧酸,根据羧酸分子中羧基的数目,可分为一元酸、二元酸、多元酸等。一元酸如乙酸(
),二元酸如乙二酸(
,即草酸)。根据烃基是否饱和可分为饱和酸如丙酸CH3CH2COOH、不饱和酸如丙烯酸CH2=CH-COOH等。羧酸还可以分为脂肪酸、脂环酸和芳香酸等。脂肪酸中,饱和的如硬脂酸C17H35COOH、软脂酸C15H29COOH,不饱和的如油酸C17H33COOH,芳香酸如苯甲酸
等。
【羧酸衍生物】羧酸分子中羧基里的羟基被其它原子或原子团取代而形成的化合物叫羧酸衍生物。如酰卤、酰胺、酸酐等。
【酰卤】系羧酸分子中羧基上的羟基被卤素原子取代而形成的化合物,可用通式
表示,R表示烃基,X表示卤原子。如乙酰氯
。
【酰胺】系羧酸分子中羧基上的羟基被氨基-NH2或者是被取代过的氨基
所取代而形成的化合物,酰胺的通式为
,如乙酰胺
等。
【酸酐】两个分子的一元羧酸分子间失水或者二元羧酸分子内失水而形成的化合物,称作酸酐。如两个乙酸分子失去一个水分子形成乙酸酐(
),邻苯二甲酸分子内失水形成邻苯二甲酸酐
等。
【酯】羧酸分子中羧基上的羟基被烷氧基-O-R'取代而形成的化合物称作酯,酯的通式为
,其中R和R’可以相同,也可以不同,R也可以是氢原子。低级酯如乙酸乙酯(
)等具有果香味。羧酸和酯是同分异构体,如丙酸(
)、甲酸乙酯(
)和乙酸甲酯(
)互为同分异构体。特殊的酯有交酯和内酯等。
【油脂】系高级脂肪酸甘油酯的总称。在室温下呈液态的叫油,呈固态的叫作脂肪。可用通式表示:若R、R'、R″相同,称为单甘油酯;若R、R'、R″不同,称为混甘油酯。天然油脂大都是混甘油酯。

【硝基化合物】系烃分子中的氢原子被硝基-NO2取代而形成的化合物,可用通式R-NO2表示,R可以是烷基,也可以是苯环。如硝基乙烷(CH3CH2NO2)、硝基苯(
)、2,4,6-三硝基甲苯(
)等。
【胺】系氨分子中的氢原子被烃基取代后而形成的有机化合物。根据取代烃基的数目可分为三类:伯胺
、仲胺
、叔胺
。根据烃基结构的不同,可分为脂肪胺如甲胺CH3NH2、二甲胺CH3-NH-CH3和芳香胺如苯胺C6H5-NH2、二苯胺(C6H5)2NH等。也可以根据氨基的数目分为一元胺、二元胺、多元胺。一元胺如乙胺CH3CH2NH2,二元胺如乙二胺H2N—CH2—CH2—NH2,多元胺如六亚甲基四胺(C6H2)6N4。胺类大都具有弱碱性,能与酸反应生成盐。苯胺是胺类中重要的物质,是合成染料,合成药物的原料。
【腈】系烃基与氰基(-CN)相连而成的化合物。通式为R-CN,如乙腈CH3CN。
【重氮化合物】大多是通式为R—N2—X的有机化合物,分子中含有重氮基(
),R表示烃基,X表示酸根或羟基。根据分子中N的结构可以分为
和
两类。后者叫重氮盐。
【重氮盐】是一种重氮化合物,其中以芳香族重氮盐最为重要。可用
表示,其中Ar表示芳香烃,X表示卤素。如氯化重氮苯(C6H5Cl),化学性质活动,是制取偶氮染料的中间体。
【偶氮化合物】分子中含有偶氮基(-N=N-)的有机化合物。用通式R-N=N-R表示,其中R是烃基,偶氮化合物都有颜色,有的可作染料。如偶氮苯
、对羟基偶氮苯
。
【磺酸】系烃分子中的氢原子被磺酸基-SO3H取代而形成的化合物,可用RSO3H表示。脂肪族磺酸的制备常用间接法,而芳香族磺酸可通过磺化反应直接制得。磺酸是强酸,易溶于水,芳香族磺酸是合成染料、合成药物的重要中间体。
【氨基酸】系羧酸分子中烃基上的氢原子被氨基取代而形成的化合物。根据氨基取代的位置可分为α-氨基酸、β-氨基酸、γ-氨基酸等。α-氨基酸中的氨基在羟基相邻的碳原子上。α-氨基酸是组成蛋白质的基本单位。蛋白质经水解可得到二十多种α-氨基酸,如甘氨酸、丙氨酸、谷氨酸等,大多是L-型a-氨基酸。在人体所需要的氨基酸中,由食物中的蛋白质供给的,如赖氨酸、色氨酸、苯丙氨酸、苏氨酸等称为“必需氨基酸”,象甘氨酸、丝氨酸、丙氨酸、谷氨酸等可以从其它有机物在人体中转化而得到,故称为“非必需氨基酸”。
【肽】系一分子氨基酸中的氨基与另一分子氨基酸中的羧基缩合失去水分子后而形成的化合物。两个氨基酸分子形成的肽叫二肽,如两个分子氨基乙酸形成的二肽是
。
【多肽】由多个a-氨基酸分子缩合消去水分子而形成含有多个肽键
的化合物称为多肽。多肽的分子量大于10000的,可认为是蛋白质。-
【蛋白质】亦称朊。一般分子量大于10000。蛋白质是生物体的一种主要组成物质,是生命活动的基础。各种蛋白质中氨基酸的组成、排列顺序、肽链的立体结构都不相同。目前已有多种蛋白质的氨基酸排列顺序和立体结构搞清楚了。蛋白质按分子形状可分为纤维状蛋白和球状蛋白。纤维蛋白如丝、毛、发、皮、角、蹄等,球蛋白如酶、蛋白激素等。按溶解度的大小可分为白蛋白、球蛋白、醇溶蛋白和不溶性的硬蛋白等。按组成可分为简单蛋白和复合蛋白,简单蛋白是由氨基酸组成,复合蛋白是由简单蛋白和其它物质结合而成的,如蛋白质和核酸结合生成核酸蛋白,蛋白质与糖结合生成糖蛋白,蛋白质与血红素结合生成血红蛋白等。
【糖】亦称碳水化合物。多羟基醛或多羟基酮以及经过水解可生成多羟基醛或多羟基酮的化合物的总称。糖可分为单糖、低聚糖、多糖等。
【单糖】系不能水解的最简单的糖,如葡萄糖(醛糖)

【低聚糖】在水解时能生成2~10个分子单糖的糖叫低聚糖。其中以二糖最重要,如蔗糖、麦芽糖、乳糖等。
【多聚糖】亦称多糖。一个分子多聚糖水解时能生成10个分子以上单糖的糖叫多聚糖,如淀粉和纤维素,可用通式(C6H10O5)n表示。n可以是几百到几千。
【高分子化合物】亦称“大分子化合物”或“高聚物”。分子量可高达数千乃至数百万以上。可分为天然高分子化合物和合成高分子化合物两大类。天然高分子化合物如蛋白质、核酸、淀粉、纤维素、天然橡胶等。合成高分子化合物如合成橡胶、合成树脂、合成纤维、塑料等。按结构可分为链状的线型高分子化合物(如橡胶、纤维、热塑性塑料)及网状的体型高分子化合物(如酚醛塑料、硫化橡胶)。合成高分子化合物根据其合成时所经反应的不同,又可分为加聚物和缩聚物。加聚物是经加聚反应生成的高分子化合物。如聚乙烯
、聚氯乙烯
聚丙烯
等。缩聚物是经缩聚反应生成的高分子化合物。如酚醛塑料、尼龙66等。
三、有机化学的反应类型
【自由基反应】化合物中键的断裂以对称的方式(即均裂),产生带有单个价电子的原子或基团称作自由基(即游离基)这个阶段叫“引发”。由“引发”阶段产生的自由基与反应体系中电子完全配对的分子反应,生成新的分子和新的自由基。如甲烷和卤素生成一卤甲烷的取代反应:
链引发:X∶X
X·+·X
链锁反应:X·+H∶CH3→·CH3+H∶X
X∶X+·CH3→X∶CH3+·X
终止:X·+·X→X∶X
H
X·+·CH3→X∶CH3
自由基反应通常在气相、高温或光照下进行。若在液相进行,不受反应介质的影响。
【离子型反应】通过共价键的异裂而发生的反应叫离子型反应。如:
R∶X+OH-→R-OH+∶X-
卤代烷水解,醇的卤代,芳香烃及其衍生物的硝化、磺化、卤代反应等。烯烃双键上的加成,酯的水解,醛和酮的加成等多是离子型反应。如取代反应:
(CH3)3CBr
(CH3)
(CH3)3COH
在离子型反应中,不一定形成碳正(或负)离子中间产物。另外,在不同条件下,许多反应既可以按离子型历程进行,也可以按自由基历程进行。如乙烯和氯气反应:在温度363~403K的气相条件下,该反应按自由基历程进行。CH2=CH2+ Cl· →CH2Cl—CH2·CH2Cl—CH2· +Cl2→CH2ClCH2Cl+Cl·若用CH2ClCH2Cl作溶剂,FeCl3为催化剂,在温度约343K的液相条件下,这个反应按离子型历程进行:
![]()
【亲电反应】缺电子试剂(亲电试剂)进攻反应物电子云密度较大的部位而引起的反应叫亲电反应。如:
![]()
【亲核反应】亲核试剂与有机物的反应叫做亲核反应。如丙酮和氢氰酸的加成反应。

【取代反应】有机物分子中的一种原子或原子团被其它原子或原子团所代替的反应叫取代反应。根据反应历程,可将取代反应分成以下几类:
自由基反应:H
亲核反应:CH3-CH2-OH+Br-
CH3-CH2-Br+OH-
亲电反应:C6H6+N
C6H5NO2+H+
【硝化反应】简称硝化,一般是指向有机物分子中引入硝基的反应。通常是合成炸药、合成染料、合成药物的重要反应。硝化剂常用浓硝酸和浓硫酸的混和物。苯及其衍生物的硝化是常见的重要的硝化反应。
C6H6+HO-NO2
C6H5-NO2+H2O
甲基是邻对位定位基,所以甲苯的硝化生成2,4,6-三硝基甲苯,而且比苯的硝化容易进行。

【卤化反应】简称卤化,通常是指向有机物分子中引入卤素原子,形成C-X键的反应。卤化可以通过取代反应卤代反应来进行,也可以通过加成反应来进行。很多烃及其衍生物都能发生卤化反应。例如:

【磺化反应】简称磺化,通常是指向有机物分子中引入磺酸基的反应。磺化可分为直接磺化和间接磺化两种。直接磺化法如苯的磺化。
![]()
高级烷烃与发烟硫酸或三氧化硫共热,也可发生磺化反应:
R─H+HO-SO3H→R─SO3H+H2O
间接磺化法是指有机物分子中的活泼的取代基被磺酸基取代。如卤代烃与亚硫酸钠在高温高压下反应,生成磺酸盐。
R─X+Na2SO3→R─SO3Na+NaX
【氨化反应】简称氨化,系指向有机物分子中引入氨基的反应。引入氨基有还原法和氨解法。还原法如硝基苯经还原生成苯胺:
![]()
氨解法如氯苯与氨作用:
![]()
【酰化反应】向有机物分子中羰基
的碳原子上引入其它原子或基团(非烃基和羟基)的反应叫酰化。酰化的结果是酰基
与其它原子或基团直接相连。最常见的酰化反应是羧酸分子中羧基上的羟基被卤素、氨基等取代。如羧酸与氨反应

【氰化反应】简称氰化。向有机物分子中引入氰基的反应叫氰化。它可以通过取代或加成反应来实现,
如:

四、有机化合物
【甲烷】分子式CH4,分子量16.04。是最简单的有机化合物。在自然界分布很广,是天然气、煤气等的主要成分,无色无味、难溶于水的可燃性气体,和空气组成适当比例时,遇火花会发生爆炸。
甲烷的化学性质稳定,在一般条件下不与其它物质反应,但在适当条件下能发生氧化、卤代、热解等反应。工业上主要用于制造乙炔、或经转化制取氢气、合成氨及有机合成的原料。也用来制备炭黑、一氯甲烷、二氯甲烷、氯仿、四氯化碳等。甲烷可直接用作燃料。工业上主要由天然气获得。实验室中可用无水醋酸钠和碱石灰共热制得。
【乙烷】分子式C2H6,结构简式CH3CH3,分子量30.068无色无味气体,密度是1.357。微溶于水。与空气形成爆炸性混和物,爆炸极限为:3.2~12.5%(体积)。在石化工业中,乙烷主要作为生产乙烯的原料,也可作为燃料。
【丙烷】分子式C3H8,结构简式CH3CH2CH3,分子量:44.094,无色气体。微溶于水。化学性质很稳定,不易发生化学反应。与空气形成爆炸性混和物,爆炸极限2.4~9.5%(体积)。丙烷经裂解可制取乙烯和丙烯等有机合成的原料。也可用作燃料。
【丁烷】分子式C4H10分子量:58.12。有正丁烷和异丁烷两种异构体。
【正丁烷】结构简式CH3CH2CH2CH3。存在于石油气、天然气和催化裂化气中、无色气体。与空气形成爆炸性混和物,爆炸极限1.6~8.5%(体积)。主要用途是经脱氢制取丁二烯。
【异丁烷】结构简式
。存在于石油、天然气及裂化气中。正丁烷经异构化也可生成异丁烷。无色气体。微溶于水,化学性质稳定、与空气形成爆炸性混和物,爆炸极限为1.9~8.4%(体积)。主要用于与异丁烯经烃化制取异辛烷,作为汽油辛烷值的改进剂。也可做冷冻剂。
【戊烷】分子式C5H12分子量:72.146。有正戊烷、异戊烷、新戊烷三种异构体。
【正戊烷】结构简式CH3CH2CH2CH2CH3。无色易燃液体,熔点
【异戊烷】结构简式
,亦称2-甲基丁烷。无色易燃液体。熔点
【新戊烷】结构简式
,亦称四甲基甲烷。无色气体或易挥发液体。熔点
戊烷存在于石油和天然气中,是汽油的主要成分。正戊烷在氯化铝和氯化氢存在下经异构化生成异戊烷,异戊烷经脱氢可制异戊二烯,异戊二烯是重要的有机合成原料。
【庚烷】分子式C7H16。分子量:100.2,有九种同分异构体。正庚烷CH3CH2CH2CH2CH2CH2CH3,无色可燃液体,在气缸里燃烧爆炸时震动很剧烈。它的辛烷值假定为零,它和异辛烷(辛烷值假定为100)的混和物常用作测定汽油的辛烷值的标准。
【辛烷】分子式C8H18,分子量,114.22。有十八种同分异构体。其中以异辛烷最重要。
【异辛烷】亦称

【2,2,3-三甲基丁烷】是庚烷的一种异构体。无色易燃液体,其结构简式:熔点

【环丙烷】分子式C3H6,分子量42.08,无色易燃气体,有石油醚的气味。熔点

【环丁烷】分子式C4H8,分子量56.10,无色气体,燃烧时有火焰。熔点为

【环戊烷】分子式C5H10,分子量70.13,存在于某些石油裂化副产物的馏分中。无色流动液体,是性质最稳定的环烷烃。熔点
【环己烷】分子式C6H12,分子量84.16,无色流动性液体,有汽油气味。存在于某些石油中。熔点

【乙烯】分子式C2H4,分子量28.05,是最简单的烯烃。结构简式CH2=CH2,存在于成熟的水果、焦炉煤气及热裂石油气中。是无色带有甜香味的气体。熔点
可由裂化石油气或由乙醇用氧化铝催化脱水制成。
【丙烯】分子式C3H6,分子量42.08,结构简式CH2=CH—CH3。无色气体,带有甜味。熔点
一般由石油热裂化和催化裂化气体中分出,也是轻油裂解制乙烯时的副产物。
【丁烯】分子式C4H8,分子量56.10,有三种异构体,均是无色气体。存在于煤气中,与空气能形成爆炸性混和物。不溶于水,溶于乙醇、乙醚等。
【1-丁烯】结构简式CH3—CH2—CH=CH2。熔点为
【2-丁烯】结构简式CH3—CH=CH—CH3。无色气体有顺式和反式两种异构体(见结构简式)。顺式:熔点

【异丁烯】结构简式(CH3)
1-丁烯和2-丁烯主要用于经过去氢制得丁二烯。也可以经过水合分别制得正丁醇和仲丁醇。异丁烯加水则生成叔丁醇,若经氧化可生成甲基丙烯醛和甲基丙烯酸,异丁烯还可用于生产丁基橡胶。
【1-戊烯】分子式C5H10,分子量70.13,是戊烯六种异构体中最重要的一种,结构简式CH3CH2CH2CH=CH2。无色可燃性液体,熔点
【1,3-丁二烯】分子式C4H6,分子量54.09,具有共轭双键的最简单二烯烃,结构简式CH2=CH—CH=CH2。无色有特殊气味的气体,有麻醉性。易液化。熔点

【2-甲基-1,3-丁二烯】分子式C5H8,分子量68.11,亦称异戊二烯,结构简式。无色刺激性液体。熔点
【丙二烯】分子式C3H4,分子量40.07,结构简式H
【环戊烯】分子式C5H8,分子量68.11,无色液体。熔点
可由环戊二烯选择氢化制得,也可由环戊醇脱水而制得。
【环戊二烯】亦称茂。分子式C5H6,分子量66.10,结构简式无色液体。熔点
【环己烯】分子式C6H10,分子量82.14。无色液体。熔点为
【乙炔】分子式C2H2,分子量26.04,结构简式HC≡CH。俗称电石气。纯净的乙炔是无色 无味气体,通常因含有磷化氢而有特殊的刺激性气味。乙炔是最简单的炔烃。熔点
乙炔分子中含有碳碳叁键,其中含有一个σ键和两个π键。C≡C健长为1.207×10-
【丙炔】分子式C3H4,分子量40.06。又称甲基乙炔,结构简式CH3—C≡CH。无色气体,存在于石油气的碳三馏分中。熔点
【乙烯基乙炔】分子式C4H4,分子量52.04,无色气体。结构简式CH2=CH—C≡CH。有麻醉性和毒性,刺激粘膜。沸点
【苯】分子式C6H6,结构简式
或
。无色、易燃、有芳香气味的挥发性液体。有毒。密度(20/4℃)
工业上可由焦炉气和煤焦油中的轻油部分中分出,或由催化重整石油馏分分馏得到。
【甲苯】分子式C7H8,分子量92.13。结构简式
。无色、易燃、有芳香气味的挥发性液体。熔点
【乙苯】分子式C8H10,分子量106.16。结构简式
。无色液体。易燃。沸点为
【二甲苯】分子式C8H10,分子量106.16。一般是三种异构体(邻二甲苯、间二甲苯、对二甲苯)体的混和物,亦称混和二甲苯。可分离。工业用的二甲苯中还含有甲苯和乙苯。无色。易挥发、有芳香气味的有毒液体。不溶于水,溶于乙醇、乙醚等有机溶剂。
【邻二甲苯】结构简式
,熔点-
【间二甲苯】结构简式
,熔点-
【对二甲苯】结构简式
,熔点
由分馏煤焦油的轻油部分或催化重整轻汽油经分馏而制取。也可由甲苯经歧化而制得。

【异丙苯】分子式C9H12,分子量120.19。亦称枯烯。无色液体有芳香气味。熔点
【苯乙烯】分子式C8H8,分子量104.14。结构简式
。无色易燃液体。有方向气味和强折射性。熔点
由乙苯经催化脱氢制取,或由裂解焦油碳八馏分经萃取蒸馏制得。
【乙烯基甲苯】分子式C9H10,分子量118.7,其异构体为:商品乙烯基甲苯是对位和间位异构体的混和物、熔点

【萘】分子式C10H8,分子量128.16。结构简式
。是最简单的稠环化合物,易升华的无色片状晶体,具有特殊的气味。熔点

【芪】分子式C14H12,分子量130.24。学名为1.2-二苯乙烯。无色晶体。有反式和顺式两种异构体。芪通常指反式,顺式则称作异芪。反式:熔点

【联苯】分子式C12H10,分子量154.20。结构简式
。无色或黄色片状晶体。熔点
![]()
【苊】分子式C12H10分子量154.20。结构简式。无色针状晶体。熔点
![]()
【二氢茚】分子式C9H10,分子量118.17。结构简式。无色液体。存在于煤焦油内。熔点
【蒽】分子式C14H10。分子量178.22。结构简式。单斜片状晶体,可升华。纯品无色,具有紫色荧光。熔点
【菲】分子式C14H10分子量178.22。结构简式。蒽的异构体,无色有荧光的晶体。存在于煤焦油中。熔点100~
不溶于水,溶于乙醇、乙醚、无水乙酸、苯、四氯化碳等。溶液有蓝色荧光。用于制造染料和农药等,并用作无烟火药的稳定剂。可由煤焦油的蒽油中分离出来。
【甲醇】分子式CH4O,分子量32.04。结构简式CH3OH。亦称木醇或木精。是最简单的饱和一元醇。无色易燃液体。易挥发。有毒!熔点
【乙醇】分子式C2H6O,分子量46.07。结构简式CH3CH2OH。俗称酒精。无色液体,易挥发,有特殊气味,易燃烧。熔点
【丙醇】分子式C3H8O,分子量60.09。有正丙醇和异丙醇两种异构体。
【正丙醇】结构简式CH3CH2CH2OH。无色透明液体,有乙醇的气味。熔点
【异丙醇】结构简式如右图。无色透明液体。有乙醇的气味。熔点
【正丁醇】分子式C4H10O,分子量74.12。结构简式CH3CH2CH2CH2OH。无色液体,有乙醇的气味,蒸气有刺激性,能引起咳嗽。熔点

【异丁醇】分子式C4H10O,分子量74.12。结构简式如右图,无色透明液体,有特殊气味。熔点
【正戊醇】分子式C5H12O,分子量88.15。亦称伯正戊醇。结构简式CH3CH2CH2CH2CH2OH。无色透明液体。有特殊气味。凝固点
![]()
【异戊醇】分子式C5H12O,分子量88.15。亦称伯异戊醇。结构简式如右图。无色液体。有不愉快气味。蒸气有毒。熔点

【新戊醇】分子式 C5H12O,分子量88.15。结构简式如右图。具有挥发性的结晶。有薄荷油味。熔点
![]()
【环己醇】分子式C6H12O,分子量100.16。结构简式如右图,无色晶体或液体。有樟脑和杂醇油的气味。熔点
【乙二醇】分子式C2H6O2。分子量62.07,结构简式HO—CH2—CH2—OH。俗称甘醇。有甜味的无色粘稠液体。凝固点
![]()
【丙三醇】分子式C3H8O3,分子量92.09,结构简式如右图。俗称甘油。无色粘稠有甜味的液体。熔点
【苯甲醇】分子式C7H8O,分子量108.13,亦称苄醇。结构简式如右图。稍有芳香气味的无色液体,熔点-
![]()
【苯乙醇】分子式C8H10O分子量122.16。又称2-苯基乙醇。无色粘稠液体。略有玫瑰香气味。熔点
【苯酚】分子式C6H6O分子量94.11。结构简式如右图。俗称石炭酸,无色晶体,有特殊气味。有毒!有腐蚀性。在空气中变粉红色。纯苯酚的熔点
【甲酚】分子式C7H8O,分子量108.13。亦称甲苯酚。通常甲酚是三种异构体的混和物。无色或呈黄棕色液体。溶于大量水中,溶于乙醇、乙醚、苯、石油醚和甘油。由煤焦油中提取。
![]()
【间甲苯酚】结构简式如右图。是甲酚三种异构体中含量最大的。无色液体。熔点11~

【邻甲苯酚】是甲酚的第二种异构体。结构简式如右图。低熔点结晶,熔点
![]()
【对甲苯酚】是甲酚的第三种异构体。结构简式。晶体。熔点
【对苯二酚】分子式C6H6O2,分子量110.11。结构简式如右图。俗称氢醌,又沉湎感几奴尼。无色晶体,熔点
![]()
【邻苯二酚】分子式C6H6O2,分子量110.11。结构简式如右图。俗名儿茶酚或焦儿酚。单斜晶片状结晶。熔点
![]()
【间苯二酚】分子式C6H6O2,分子量110.11。结构简式俗各雷锁辛。无色晶体。在光及潮湿空气的作用下变为红色。熔点109~
![]()
【均苯三酚】分子式C6H6O3,分子量126.11。结构简式亦称间苯三酚或1,3,5-苯三酚,俗名根皮酚。白色品体。有甜味。在光照下颜色变深。水溶液中结晶时常含有两个分子结晶水。熔点

【连苯三酚】分子式C6H6O3,分子量126.11。结构简式。俗称焦性没食子酸或焦棓酚。学名1,2,3-苯三酚。白色晶体。在空气和光照下颜色变深。有毒。熔点131~
【α-萘酚】分子式C10H8O,分子量144.16。又称1-萘酚。白色棱柱状结晶。经光照后结晶颜色变深。须避光保存。熔点

【β-萘酚】分子式C10H8O,分子量144.16。又称2-萘酚。白色或略带黄色的片状结晶。久置于在空气中颜色会变暗。有苯酚的气味,熔点121~
![]()
【双酚A】分子式C15H16O2分子量228.28。学名2.2-二(对羟基苯基)丙烷。片状结晶。熔点150~

【氯乙醇】分子式C2H5ClO,分子量80.52。无色液体,有毒。HO—CH2—CH2—Cl。凝固点
【二氯甲烷】分子式CH2Cl2分子量84.94。又称甲叉二氯。无色挥发性液体,有刺激性芳香气味。凝固点
【氯仿】分子式CHCl3分子量119.39,亦称三氯甲烷。无色透明易挥发的液体,稍有甜味。熔点
【碘仿】分子式CHI3分子量:393.72。学名三碘甲烷。黄色晶体或粉末,有特殊气味。熔点
【四氯化碳】分子式CCl4,分子量153.84。亦称四氯甲烷。无色液体,有特殊气味。熔点
【氯乙烷】分子式C2H5Cl,分子量64.52。又称乙基氯。无色气体,易液化。熔点—
【1,2-二氯乙烷】分子式C2H4Cl2,分子量98.95。亦称二氯化乙烯。无色或浅黄色透明液体。易挥发,有象氯仿的气味。有剧毒。熔点

【1,1-二氟乙烯】分子式C2H
【1,1-二氯乙烯】分子式C2H2Cl2分子量96.94。亦称偏二氯乙烯。无色易挥发液体。熔点
【1,2-二溴乙烷】分子式C2H4Br2,分子量187.85。亦称溴化乙烯CH2Br—CH2Br。无色液体,有挥发性,有毒。凝固点
【1-氯丁烷】分子式C4H9Cl,结构简式CH3CH2CH2CH2Cl。分子量92.56亦称(正)丁基氯。无色易燃液体。凝固点
【氯乙烯】分子式C2H3Cl。结构简式CH2=CHCl分子量62.49。无色气体,较易液化。熔点
【氯苯】分子式C6H5Cl,分子量112.55。结构简式如右图。无色透明液体,有类似苯的气味,熔点-
【苄基氯】分子式C7H7Cl,分子量126.58结构简式。无色液体,有刺激性气味,有折光性。熔点
![]()
【氟利昂】亦称氟氯烷。是甲烷和乙烷的氟和氯的衍生物的混和物。化学性质不活泼,常温下与金属酸和氧化剂不反应,有水存在时与碱缓慢反应。可由氟化氢作用于四氯化碳、氯仿、六氯乙烷等制成。主要用作致冷剂。比较常用的有氟利昂-11、氟利昂-12、氟利昂-13等。
【氟利昂-11】分子式CCl
【氟利昂-12】分子式CC
【氟利昂-13】分子式CClF3,分子量104.46。学名三氟一氯甲烷。熔点
【氟利昂-14】分子式CF4,分子量88.01。学名四氟甲烷或四氟化碳。熔点
【氟利昂-114】分子式C2Cl
【甲醚】分子式C2H6O,分子量46.07。亦称二甲醚。结构简式CH3—O—CH3,无色可燃性气体或压缩液体。有乙醚气味,熔点
【乙醚】分子式C4H10O,分子量74.12。亦称二乙醚,结构简式C2H5—O—C2H5。无色透明液体,有特殊气味。极易挥发,易燃烧。熔点
【乙烯基甲醚】分子式C3H6O,分子量58.07,亦称乙烯基甲基醚CH2=CH—O—CH3。无色液体,易液化。熔点
【乙烯基乙醚】分子式C4H8O,分子量72.10,无色液体,易燃,结构简式CH2=CH—O—CH2—CH3。熔点
【乙烯醚】分子式C4H6O,结构简式CH2=CH—O—CH=CH2,分子量70.09,无色液体,易挥发,易燃烧。沸点
【乙二醇-乙醚】分子式C4H10O2分子量90.12。俗称溶纤剂。结构简式CH3—CH2—O—CH2—CH2—OH。亦称β-羟基乙醚。无色液体。几乎无臭。熔点
【乙二醇-甲醚】分子式C3H8O2,结构简式:CH3—O—CH2—CH2—OH,分子量76.09俗称甲基溶纤剂无色液体。有愉快气味。沸点
【乙二醇-苯醚】C8H10O2,分子量138.16结构简式如右图。俗称苯基溶纤剂。无色液体,略有芳香气味。沸点240~
![]()
【乙二醇二甲醚】分子式C4H10O2,结构简式CH3—O—CH2—CH2—O—CH3,分子量90.12,俗称二甲基溶纤剂。无色液体。略有乙醚气味。熔点
【二苯醚】分子式C12H10O,结构简式如右图,分子量170.20。亦称联苯醚或苯基醚。无色晶体,有洋海棠的气味。熔点
![]()
【苯甲醚】分子式C7H8O,结构简式如右图,分子量108.13,俗称茴香醚。无色液体,有芳香气味。熔点
【环氧乙烷】分子式C2H4O,分子量44.05,亦称氧化乙烯或恶烷。是最简单的环醚。常温常压下是无色气体,易燃烧。
![]()
【1,2-环氧丙烷】分子式C3H6O,分子量58.08。亦称氧化丙烯或甲基环氧乙烷。无色液体,有乙醚气味。极易燃烧。熔点

【甲醛】分子式CH2O,分子量30.03。无色气体,具有强烈刺激性气味。能燃烧。熔点
![]()
【乙醛】分子式C2H4O分子量44.05,无色液体,有刺激味气味,易挥发,易燃烧。熔点
![]()
【丙醛】分子式C3H6O,无色液体,易燃烧,有刺激性气味。熔点
![]()
【正庚醛】分子式C7H14O,分子量114.18,结构简式CH3(CH2)5-CHO,无色油状液体,有果子香气味。沸点
【正辛醛】分子式C8H16O,分子量128.21结构简式CH3(CH2)6-CHO,无色或淡黄色液体。存在于柠檬草油、柠檬油、甜橙油和其它许多天然精油中。沸点167~170℃密度(20/4℃)
【乙二醛】分子式C2H2O2分子量:58.04。黄色晶体或淡黄色液体。熔点
![]()
【丙烯醛】分子式C3H4O,CH2=CHCHO,分子量56.06,无色液体,易挥发,有强烈刺激性气味,特别是对眼睛有刺激作用。易燃烧。熔点
【巴豆醛】分子式C4H6O分子量70.09,学名β-甲基丙烯醛,有顺式和反式两种异构体。属于不饱和醛。是无色可燃性液体,易挥发,有刺激性和催泪作用。在空气中或阳光中放置时逐渐变淡黄色。熔点

【苯甲醛】分子式C7H6O分子量:106.12。略带苦杏仁味的无色的无色液体。凝固点

【肉桂醛】分子式C9H8O分子量132.15,又称β-苯丙烯醛。淡黄色油状液体,有香味。是桂皮油和肉桂油的主要成分。熔点

【水杨醛】分子式C7H6O2,分子量112.12,又称邻羟基苯甲醛。无色或深红色油状液体。具有苦杏仁气味。熔点
【香草醛】分子式C8H8O3,分子量152.14,学名3-甲氧基-4-羟基苯甲醛,又称香兰素,亦称香茅醛。是香草豆的香味成分。存在于甜菜、香草豆、安息香胶、秘鲁香脂、妥卢香脂等中。是一种重要的香料。白色针状结晶。熔点80~
【糠醛】分子式C5H4O2,分子量96.08。又称呋喃甲醛。无色油状液体、有特殊香味。在光照、受热、空气氧化及无机酸作用下颜色很快变为黄褐色,也容易发生聚合而呈树脂状。熔点
【三氯乙醛】分子式C2HCl3O,分子量147.38。无色油状液体,有刺激性气味。溶点

【丙酮】分子式C3H6O分子量58.08。亦称二甲酮。无色液体,易挥发,有微香气味。是最简单的饱和酮。熔点
【丁酮】分子式C4H8O,分子量72.10。又称甲乙酮。无色液体,有丙酮气味,易燃烧。熔点
【丁二酮】分子式C4H6O2,分子量86.09。亦称双乙酰酮或2,3-丁二酮,黄色油状液体,有苯醌气味,稀溶液有奶油气味,存在于茴香油和奶油中。熔点-3~
【乙酰丙酮】分子式C5H8O2,分子量100.11,亦称2,4-戊二酮。无色液体,易燃烧,有酯的气味。熔点
【环己酮】分子式C6H10O,分子量98.14。无色液体,有丙酮气味。蒸气有毒。熔点
![]()
【苯乙酮】分子式C8H8O分子量:120.14。亦称乙酰苯,俗称安眠酮。无色晶体,或浅黄色油状液体。有象山楂的气味。熔点
![]()
【乙烯酮】分子式C2H2O,结构简式CH2=C=O,分子量42.04,无色气体,有强烈刺激性气味,有毒。熔点
【蒽醌】分子式C14H8O2,分子量208.20,淡黄色晶体。熔点为

【苯醌】分子式C6H4O2,分子量108.09,亦称对苯醌,简称醌。是醌类中最重要的一种。黄色晶体,有特殊刺激气味。熔点
【甲酸】分子式CH2O2,分子量46.03,俗称蚁酸。是醌最简单的羧酸。无色液体,有刺激性气味。熔点
![]()
【乙酸】分子式C2H4O2分子量:60.05。俗称醋酸。无色液体,有刺激性气味。熔点
【丙酸】分子式C3H6O2,分子量74.08。无色液体,有刺激性气味。熔点
![]()
【丁酸】分子式C4H8O2,分子量88.10。俗称酪酸。是干酪的发酵产物,在牛奶中以甘油酯的形式存在。无色油状液体,有味。熔点
![]()
【正戊酸】分子式C5H10O2,分子量102.13。无色液体,有刺激性气味。熔点

【正癸酸】分子式C10H20O2,分子量172.26。白色晶体,有不愉快的气味。熔点
![]()
【软脂酸】分子式C16H32O2分子量:256.42。俗称棕榈酸,学名十六烷酸、白色带有珠光的鳞片,在许多油和脂肪中以甘油酯的形式存在。熔点63~
![]()
【硬脂酸】分子式C18H36O2,分子量284.47。学名十八烷酸。纯品为带有光泽的白色柔软小片。以甘油酯的形式存在于牛脂、羊脂或其它动物脂中。熔点70~

【油酸】分子式C18H34O2分子量:282.45。学名顺式-9-十八烯酸,系分子中含有一个碳碳双键的不饱和脂肪酸。双键两端的碳链呈顺式结构。室温下为无色液体。长期暴露在空气中会变为黄至棕色,有味。熔点
【亚油酸】分子式C18H32O2,分子量280.44。学名顺式-9,12-十八碳二烯酸。分子中含有两个碳碳双键的不饱和脂肪酸。以甘油酯的形式存在于许多植物油内,如棉籽油、大豆油、花生油、玉米油、向日癸籽油和亚麻子油等。无色油状液体。熔点-5.27~
【丙烯酸】分子式C3H4O2,分子量72.06。无色液体,有刺激性气味,有腐蚀性,酸性较强。溶于水、乙醇和乙醚,还溶于苯、丙酮、氯仿等。熔点

【乙二酸】分子式C2H2O4,分子量90.04。俗称草酸。是最简单的二元羧酸。存在于酢浆草、酸模草和大黄等植物体内。通常以二水合物的形式存在。有毒。其二水合物熔点101~
【丙二酸】分子式C3H4O4,分子量104.06白色晶体。熔点
【丁二酸】分子式C4H6O4。分子量118.09俗称琥珀酸。无色晶体,有酸味。熔点185~
【己二酸】分子式C6H10O4,分子量146.14。俗称肥酸。白色结晶粉末。熔点
【马来酸】分子式C4H4O2,分子量116.07。学名顺-丁烯二酸,又称失水苹果酸。白色粉末。由水溶液中制得的晶体,其熔点138~
【延胡索酸】分子式C4H4O4,分子量116.07。学名反-丁烯二酸,又称富马酸。最初是由延胡索中得到
的,故俗称延胡索酸。白色针状晶体。熔点
![]()
【乙醇酸】分子式C2H4O3,分子量76.05。又称羟基醋酸。最简单的醇酸。无色易潮解的晶体。存在于甜菜汁、甘蔗汁及未成熟的葡萄汁内。熔点79~
【乳酸】分子式C3H6O3,分子量90.08。又称2-羟基丙酸。分子中有一个不对称的碳原子,因而有旋光性。结构简式如右图。
【左旋乳酸】[L(-)]溶于水、乙醇、乙醚、丙酮、甘油等。可由外消旋乳酸分离得到,也可由葡萄糖发酵制得。

左旋乳酸 右旋乳酸
【右旋乳酸】[D(+)]在人和动物的血液和肌肉流体内少量存在,是人体中糖代谢的重要中间体。可由外消旋乳酸分离得到。
【外消旋乳酸】[DL]白色晶体。熔点
【柠檬酸】分子式C6H8O7,分子量192.12。学名2-羟基丙烷-1,2,3-三羧酸。又称枸橼酸。广泛分布于植物体中,如在柠檬、醋栗、覆盆子、葡萄汁中。有两种形式:一种是一水合物。无色半透明晶体,约
【水杨酸】分子式C7H6O3,分子量138.12。又名邻羟基苯甲酸。白色针状晶体或单斜晶体。熔点
【苯甲酸】分子式C7H6O2,分子量122.12。最初由安息香胶制得,故称安息香酸。熔点
【苯乙酸】分子式C8H8O2,分子量136.14。亦称苯醋酸。白色粉末。熔点为
【肉桂酸】分子式C9H8O2,分子量148.15。亦称β-苯丙烯酸。有顺式和反式两种异构体。一般是反式。无色针状晶体。熔点

【邻苯二甲酸】分子式C8H6O4,分子量166.13。无色晶体。熔点
【对苯二甲酸】分子式C8H6O4分子量166.13。白色晶体。约在
【对氨基苯甲酸】分子式C7H7NO2分子量137.13。无色针状晶体。熔点为187~
【苯磺酸】分子式C6H6O3S分子量158.17。无色针状或片状晶体。含有1.5分子结晶水的苯磺酸易潮解,其熔点43~44℃。无水物的熔点50~51℃。是强酸,酸性近于硫酸,在分离和保存时常变为钠盐。加热会分解,易溶于水、乙醇,微溶于苯,不溶于乙醚和二硫化碳。与氢氧化钠混和加热熔融制取苯酚,也用来制取间苯二酚;用作酯化反应和脱水反应中的催化剂。可由苯与发烟硫酸发生磺化反应制备。
【乙二胺四乙酸】分子式C10H16N2O8分子量:292.24。俗称乙底酸,简称为EDTA,白色晶体。在
【三氯乙酸】分子式C2HCl3O2分子量163.38。白色晶体,易潮解,有腐蚀性。熔点57~
【甲酸甲酯】分子式C2H4O2分子量60.05。无色液体,有挥发性,有愉快气味。熔点
![]()
【甲酸乙酯】分子式C3H6O2分子量74.08。无色液体,易挥发,有果香味。熔点
![]()
【乙酸甲酯】分子式C3H6O2分子量74.08。无色液体,易挥发,有果香味。熔点
【乙酸乙酯】分子式C4H8O2,分子量88.10。无色液体,易挥发,有果香味。熔点
【乙酸正丁酯】分子式C6H12O2分子量116.16。亦称醋酸正丁酯、无色液体,有香味,熔点
【乙酸异丁酯】分子式C6H12O2,分子量116.16。亦称醋酸异丁酯。无色液体,沸点
【乙酸戊酯】分子式C7H14O2,分子量130.18。无色液体,有香味,熔点
【乙酸异戊酯】分子式C7H14O2,分子量130.18,无色液体,有香蕉和梨的气味。熔点
【醋酸乙烯酯】分子式C4H6O2,分子量86.09。亦称乙烯基醋酸酯。无色易燃液体,有刺激气味。熔点
【水杨酸甲酯】分子式C8H8O3,分子量152.14。俗名冬青油。无色液体,有香味。熔点
【水杨酸苯酯】分子式C13H10O3,分子量214.21。俗名萨罗。白色粉末,略带冬青油的气味。熔点41~

【三硝酸甘油酯】分子式C3H5N3O9,分子量227.09。亦称硝化甘油或硝酸甘油。无色或淡黄色粘稠液体,有两种晶型:稳定式,熔点
【乙酰乙酸乙酯】分子式C6H10O3,分子量130.14。无色液体,有果香味。亦称乙酰醋酸乙酯,是酮式和烯醇式的平衡混和物:
熔点
【乙酸酐】分子式C4H6O3,分子量102.09。俗称醋酸酐,简称醋酐。无色液体,有醋酸味。易燃烧,有折射性。熔点

【马来酸酐】分子式C4H2O3,分子量98.06。学名顺丁烯二酸酐,俗称失水苹果酸酐。白色针状晶体,有强烈刺激性气味,易升华。熔点


【邻苯二甲酸酐】分子式C8H4O3,分子量148.11。俗称苯酐,白色针状晶体。熔点
【硝基甲烷】分子式CH3NO2,分子量61.04。无色易流动液体。有毒。熔点
【硝基苯】分子式C6H5NO2,分子量123.11。俗称人造苦杏仁油。纯品是无色或淡黄色油状液体,有苦杏仁味,有剧毒。熔点
【2,4,6-三硝基甲苯】分子式C7H5N3O6,分子量227.11。俗称梯恩梯(TNT)。黄色单斜晶体。熔点
【2,4,6-三硝基苯酚】分子式C6H3N3O7,分子量229.08。俗称苦味酸。淡黄色晶体。味苦,有毒。熔点
味酸盐。保存时应放于阴凉处而且远离火源,其爆炸力虽比TNT强,但使用时不安全,能与各种有机碱性物质形成难溶性的晶体盐类,常用于有机碱的离析和提纯。苦味酸是一种酸性染料,可用于制其它染料和照象药品,医药上用作外科收敛剂。制法很多,可将苯酚磺化后再用硝酸处理;将三硝基苯氧化;或将二硝基氯化苯经水解和硝化制成。
【甲胺】分子式,CH5N,结构简式CH3—NH2,分子量31.06,无色气体,有氨的气味。熔点
【乙胺】分子式C2H7N,结构简式CH3—CH2—NH2,分子量45.08,亦称-乙胺。无色液体,极易挥发,有氨的气味。熔点
【乙二胺】分子式C2H8N2,分子量60.08。无色粘稠液体。有氨的气味。沸点

【二甲胺】分子式C2H7N,结构简式(CH3)2NH,分子量45.08。室温下是气体,有氨的气味。熔点
【二苯胺】分子式C12H11N,结构简式(C6H5)2NH,分子量169.21。无色晶体,在空气中易变黄色。熔点53~54℃、沸点
【苯胺】分子式C6H7N,分子量93.12。俗称阿尼林油。无色油状液体,有特殊气味,有毒,易燃烧。在空气中或光照下颜色逐渐变深,最终变为棕黑色。熔点
【尿素】分子式CH4N2O,分子量60.04。又称脲或碳酰胺。无色晶体。大量存在于人类和哺乳动物的尿中,是蛋白质的代谢产物。熔点
【ε-己内酰胺】分子式C6H11NO,分子量:113.15。简称已内酰胺。白色晶体或结晶性粉末。熔点68~
【糖精】分子式C7H5NO3S,分子量183.18。又称邻磺酰苯酰亚胺。白色结晶粉末。熔点228.8~
【肼】分子式N2H4,结构简式H2N-NH2,分子量32.05,又称联氨。无色油状液体,有类似于氨的刺激性气味,有剧毒!对皮肤和粘膜有强腐蚀作用。熔点
【苯肼】分子式C6H8N2,分子量108.14。淡黄色晶体或油状液体(冷却时凝固成晶体)。在空气中变黄或红棕色。有毒。熔点
【乙腈】分子式CH3CN,分子量41.05。又称甲基氰。无色液体,有芳香气味。有毒!熔点
【己二腈】分子式C6H8N2,分子量108.12。无色油状液体,稍有甜气味。熔点
【丙烯腈】分子式C3H3N,分子量53.05,结构简式CH2=CH-CN。无色易流动的液体,蒸气有毒!熔点-83~
【重氮丝氨酸】分子式C5H7N3O4,分子量173.11,一种抗菌素。淡黄色或绿色晶体。熔点146~
【重氮氨基苯】分子式C12H11N3,分子量197.21。金黄色有光泽的鳞状晶体。熔点98~
![]()
【对氨基苯磺酸】分子式C6H7O3NS,分子量173.84。亦称磺胺酸。白色或灰白色晶体。从水溶液中结晶出来的是一水合物,热至

【硫脲】分子式CH4N2S,分子量76.12。白色晶体,有苦味。熔点176~
【甘氨酸】分子式C2H5NO2,分子量75.07,学名氨基乙酸或氨基醋酸。结构简式H2N—CH2—COOH,白色晶晶体或结晶性粉末。有甜味。熔点232~236℃(分解)。溶于水,不溶于乙醇和乙醚。是组成蛋白质的氨基酸中,没有旋光性的最简单的一种。分子中含有羧基和氨基,具有两性,既能和碱反应又能和酸反应。存在于低级动物的筋肉中。营养学上属于人体非必需的氨基酸。用于药物的合成,可直接用以治疗各种肌肉麻痹和抗胃酸剂等,也用作金霉素的缓冲剂。可由一氯乙酸在碳酸铵存在下氨解制备,也可由明胶水解后精制而成。
【丙氨酸】分子式C3H7NO2。有a-丙氨酸和β-丙氨酸两种异构体。
【a-丙氨酸】亦称2-氨基丙酸。
【β-丙氨酸】亦称3-氨基丙酸,无色晶体。熔点
【精氨酸】分子式C6H14N4O2,分子量174.20。学名2-氨基-5-胍基戊酸。天然精氨酸是L-型,从水中结晶的产物含两分子结晶水,
【半胱氨酸】分子式C3H7NO2S,分子量121.16。学名巯基丙氨酸。无色晶体。溶于水、乙醇、乙酸和氨水,不溶于乙醚、丙酮、乙酸乙酯、苯、二硫化碳和四氯化碳。在中性和弱碱性溶液中能被空气氧化成胱氨酸。用于药物的制造;直接可用于毛发的生长,还用于治疗肝炎、肝性中毒、锑剂中毒、放射性药物的中毒和过敏性病等;也用于生物化学和营养学方面的研究。先由a-角蛋白水解分离出胱氨酸,再经还原得半胱氨酸。
【胱氨酸】分子式C6H12N2O4S2,分子量240.30,学名双巯丙氨酸。白色晶体或结晶粉末。是蛋白质中主要含有二硫键的氨基酸。溶于水,不溶于乙醇。有三种异构体,熔点:左旋体258~
【谷氨酸】分子式C5H9NO4,分子量147.13,学名a-氨基戊二酸。由于分子中有不对称的碳原子,因此有几种立体异构体。
【左旋谷氨酸】又称L-谷氨酸。白色或无色鳞片状晶体,呈微酸性。
【亮氨酸】分子式C6H13NO2,分子量113.17。学名2-氨基-4-甲基戊酸。是蛋白质的一种组成。属L-型,是营养必需的氨基酸。145~
【赖氨酸】分子式C6H14N2O2,分子量146.19。又称溶氨酸。分子中含有两个氨基,一个羧基,呈碱性,属于碱性氨基酸。存在于蛋白质中的为L-型赖氨酸。是人体营养所必需。在动物蛋白质中含量较多。植物蛋白质中一般较少,难于满足人体生长发育的需要,由于赖氨酸的不足,常使食品中其它氨基酸的利用率降低。因此L-赖氨酸成为目前食品(饲料)中最重要的添加剂,而且谷物中L-赖氨酸的含量已成为评价谷类作用的重要标准。L-赖氨酸,无色晶体,熔点
【蛋氨酸】分子式C5H11NO2S,分子量149.21。学名甲硫基丁氨酸。天然为L-型,是构成蛋白质的一种组成。白色片状晶体或结晶性粉末。左旋体熔点280~
【苯丙氨酸】分子式C9H11NO2,分子量:165.19。存在于蛋白质中,为L-型。属营养必需的氨基酸。L-苯丙氨酸,片状结晶,
【缬氨酸】分子式C5H11NO2,分子量117.15。学名a-氨基异戊酸。白色晶体或结晶性粉末。是组成蛋白质的一种成分,天然品为L-型。是营养必需的氨基酸。左旋体密度为
【色氨酸】分子式C11H12N2O2,分子量204.22。学名β-吲哚基丙氨酸。是组成蛋白质一种成分。有三种异构体。消旋体是白色晶体,微溶于水,在碱性溶液中稳定,能被强酸分解。左旋体为片状晶体,快速加热至

【酪氨酸】分子式C9H11NO3,分子量181.19。是蛋白质的组分之一,天然品为L-型。属非必需氨基酸。能溶于水。在342~
【甘露糖】分子式C6H12O6,分子量180.16。是单糖中醛己糖之一,在自然界中主要以甘露聚糖的形式存在的一种单糖。白色晶体或结晶粉末,味酸略带苦。熔点
【山梨糖】分子式C6H12O6,分子量180.16。属于单糖中酮糖之一。白色结晶粉末。与蔗糖具有同样的甜味。存在于果实中。熔点
用于制取维生素C。也用于动物和微生物的代谢研究。可由山梨醇经细菌氧化制得。
【核糖】分子式C5H10O5,分子量150.13。是单糖中最重要的醛戊糖之一。是核糖核酸的组成部分,存在于细胞中。熔点
【阿拉伯糖】分子式C5H10O5,分子量150.13。是单糖中醛戊糖之一。有D-型,L-型和DL-型三种旋光异构体。通常以结合方式作为植物胶质、半纤维素、果胶质配糖体等的成分,广泛存在于植物体内。通常以吡喃型环状形式存在时较稳定,游离的阿拉伯糖以β-形式存在。熔点
可由各种植物胶质制备,也可由右旋葡萄糖酸钙与过氧化氢作用制得。
【木糖】分子式C5H10O5,分子量150.13。是醛戊糖之一。自然界无游离木糖存在,多以木聚糖形式广泛存在于植物体中。白色结晶粉末。熔点
【葡萄糖】分子式C6H12O6,分子量180.07。亦称右旋糖。最普通的一种醛已糖。广泛分布在植物和动物体内。如蜂蜜、葡萄、甜水果、种子、根、叶、花,以及动物血液、淋巴液,内均含有葡萄糖,是人体新陈代谢不可缺少的重要营养物质。无色或白色结晶粉末。甜度约为蔗糖的70%。熔点
【果糖】分子式C6H12O6,分子量180.07。亦称左旋糖。存在于水果和蜂蜜中。白色晶体或结晶粉末,是普通糖类中最甜的糖。熔点103~
【蔗糖】分子式C12H22O11,分子量342.30。即普通食糖。是非还原性二糖。白色晶体。有甜味、易溶于水,溶于甘油,难溶于乙醇。熔点160~
【麦芽糖】分子式C12H22O11,分子量342.31。由两分子吡喃型D-葡萄糖经1,4位结合而成的糖,是还原性糖,是构成淀粉的基本单位。从水溶液中结晶时带有一分子结晶水。白色晶体或结晶粉末,甜度为蔗糖的40%,熔点102~103℃。密度(
【乳糖】分子式C12H22O11,分子量342.3。是D-葡萄糖的4位与半乳糖结合而成的β-葡萄糖苷,是乳汁中的特有成分。牛乳中含4~5%,人乳中含5~8%。从水溶液中结晶时带有一分子结晶水。白色晶体或结晶粉末,甜度为蔗糖的70%。密度(
【淀粉】(C6H10O5)n。属多糖类。是右旋葡萄糖的聚合物,是绿色植物光合作用的产物。白色粉末,无臭无味,不溶于一般溶剂。淀粉的颗粒、形状和大小根据来源的不同而异。密度1.499~1
【纤维素】(C6H10O5)n。一种天然有机高分子化合物。由许多个D-(+)葡萄糖通过β-1,4糖甙键结合成的多糖,是构成植物细胞壁的主要成分。纤维素和淀粉一样无还原性,不溶于水和一般有机溶剂,但溶于氢氧化铜的氨溶液、浓的氯化锌溶液、硫氰酸钙和某些盐类的饱和溶液。棉花是最纯的天然纤维素,约含90%。亚麻中约含80%,木材中约含50%。纤维素加热到
【聚乙烯】由乙烯聚合而成的高分子合成材料。根据聚合方法的不同分为高压、中压和低压三种聚乙烯。高压聚乙烯又称低密度聚乙烯(占聚乙烯总生产量的70%左右),中压和低压的统称为低压聚乙烯,是高密度的。聚乙烯分子中无极性基因、吸水性低、稳定性好。常温下不溶于普通溶剂,对醇、醚、酮、酯、弱酸、弱碱都很稳定。但在脂肪烃、芳香和卤代烃中能发生溶胀,能被强含氧酸浸蚀,在空气中加热或光照时发生氧化作用。低压聚乙烯软化温度(125~
![]()
【聚丙烯】由丙烯聚合而成的一种热塑性树脂。由于聚合催化剂和反应条件的不同,得到的聚合物的结构也不同,有无规聚丙烯、间规聚丙烯和等规聚丙烯等三种。最有价值的是等规聚丙烯,工业生产的等规聚丙烯系白色固体,无臭无味。熔点
【聚氯乙烯】由单体氯乙烯经加聚反应生成的热塑性线型树脂。工业品为白色或浅黄色粉末。密度(20/

【聚苯乙烯】由苯乙烯经加聚反应生成的高分子化合物。是无色、无臭、无味而有光泽的白色固体。软化点
【酚醛树脂】由苯酚及其同系物与醛缩合而成的树脂状物质的总称。通常是指苯酚(或甲酚)与甲醛的缩合产物。采用不同结构的酚、不同的催化剂和原料配比,可制得热塑性和热固性两种酚醛树脂。热塑性树脂在常温下较稳定、耐热性和机械强度高。热固性树脂稳定性较差,但其电绝缘性、耐水性、化学稳定性好。热塑性树脂加入固化剂(六次甲基四胺)可变为热固性树脂。用酚醛树脂可制成酚醛清漆(红褐色液体),涂在铁器和木器表面,漆膜光洁坚韧,耐久性、耐水性和耐酸性都好。在酚醛树脂中加入有机或无机填料可制成酚醛塑料,有层压和非层压两种塑料。非层压塑料又可分为铸塑酚醛塑料和压制酚醛塑料,广泛用作电绝缘材料、家俱、日用品、工艺品等。以石棉为填料的酚醛塑料,耐酸碱性能好,常用作化工材料。以木粉为填料的压塑粉(电木粉),有良好的电绝缘性和机械强度,此外,还可制作绝缘用的涂胶纸、涂胶布,作绝热隔音用的酚醛泡沫塑料等。
【聚甲基丙烯酸甲酯】由甲基丙烯酸甲酯经加聚反应而生成的高分子化合物。由本体聚合而成的无色透明的固体,俗称有机玻璃。密度
【聚乙烯醇】由聚乙酸乙烯酯经皂化反应而制得的高分子化合物。白色粉末。软化点为
【聚四氟乙烯】俗称塑料王。由四氟乙烯经加聚而成的高分子化合物。有粒状、粉末和分散液三种。固体的密度

【对苯二甲酸乙二醇酯】商品名称涤纶,俗称的确良。是用途广泛、用量最大的一种聚酯。熔点约
【聚丙烯腈纤维】俗称腈纶,白色固体。加热
【聚乙烯醇缩甲醛纤维】商品名称维尼纶,微带草黄色的热塑性物质。软化点
【聚己内酰胺纤维】商品名称尼龙-6;卡普隆。是绵纶的一种。熔点
【聚酰胺-66纤维】一种聚酰胺纤维。熔点约
【环氧树脂】含有环氧基团的树脂的总称。主要是指环氧氯丙烷与双酚A缩合而成的含羟基的聚合物。采取不同原料配比和制法,可得不同分子量的产品。低分子量(350左右)的是黄色或琥珀色高粘度透明液体。高分子量(8000左右)的是固体,熔点是145~
【聚砜】分子中含有砜基(-SO2-)的一类较新型的热塑型工程塑料。密度
【粘胶纤维】亦称粘纤。人造纤维的主要品种,用木材、棉子绒等为原料,经稀氢氧化钠溶液浸渍处理,再与二硫化碳作用成纤维素黄原酸钠,再溶解于稀氢氧化钠溶液得到粘胶溶液,然后通过喷丝头的细孔进入由硫酸、硫酸钠、硫酸锌等组成的凝固浴中成为纤维。经洗涤、脱硫、漂白、干燥等工序制成成品。成品是乳白色或蓝白色,光泽好,密度1.52~
【丁苯橡胶】由1,3-丁二烯和苯乙烯通过乳液共聚合得到的一种无规聚合物。是产量最大、用途最广的一种合成橡胶。有很多品种,按聚合温度不同,有高温丁苯橡胶和低温丁苯橡胶。目前以低温为主,工艺性能较好,发展很快。按加入苯乙烯含量的多少,又可分为各种牌号的丁苯橡胶,目前生产的大都是含苯乙烯30%以下的一类低温丁苯橡胶。微红色或淡褐色,有苯乙烯的特殊气味,密度0.90~0
【顺丁橡胶】由1,4-丁二烯经顺式定向聚合而成的高分子化合物,其中顺式1,4-丁二烯含95%以上。它具有弹性大、发热少、耐磨性好、耐低温等优点,温度低到
【丁基橡胶】又称异丁橡胶。是异丁烯和异戊二烯经共聚而形成的线性聚合物,再经硫化交联成网状结构。其中,异戊二烯含量一般是1.5~4.5%,白色或淡灰色,无臭无味。密度
【氯丁橡胶】由2-氯-1,3-丁二烯经加聚反应生成的一种合成橡胶。是氯丁二烯的α-聚合体。淡黄色,密度1.23~1
【丁腈橡胶】一种合成橡胶。是丁二烯与丙烯腈的共聚物。淡黄色。密度0.91~0
【硅橡胶】含有硅原子的特种合成橡胶的总体。分子中主要是甲基、部分是乙基、乙烯基、苯基或其它特种有机基因,用以改进生胶的性能。由有机硅单体部分水解后缩聚而成。种类很多,具有不同的技术性能和用途。一般在
【安眠酮】分子式C16H14N2O。分子量250.29。又称甲苯喹啉酮。白色结晶粉末。无臭、微苦。熔点
【安定】分子式C16H13ClN2O分子量284.76。白色结晶粉末。熔点125~126℃。几乎不溶于水,溶于丙酮。作用与利眠宁相似,适用于精神抑郁性焦虑、紧张、不安、失眠等症。对抗惊厥和对顽固性癫痫抑制作用很显著。可由对氯苯胺和苯甲酰氯等合成。
【安乃近】分子式C13H18N3NaO5S分子量351.35。又名诺瓦经。白色或微黄色结晶粉末。易溶于水,难溶于乙醇,不溶于乙醚、苯、丙酮和氯仿等。有解毒、镇痛、抗风湿作用。适用于急性关节炎、风湿性神经痛、肌肉痛、头痛等。可做成针剂供注射用。其疗效比安替比林好且毒性小。可由安替比林经亚硝基化、还原、甲基化等反应后,再与甲醛和亚硫酸氢钠反应制得。
【安宁】又称眠尔通分子式C9H18N2O4分子量218.23白色结晶性粉末、无臭、微苦。熔点104~106℃。微溶于水,易溶于丙酮、乙醇、氯仿等。在稀酸、稀碱中稳定。适用于精神焦虑紧张、精神不安等,也作为镇静安眠药物。可由2-甲基戊醛与甲醛制成2-甲基-2-正丙基-l,3丙二醇,再与尿素或氨基甲酸乙酯缩合而成。
【安替比林】分子式C11H12N2O分子量188.12无色晶体或白色结晶粉末。无臭、微苦。熔点110~113℃。溶于水、乙醇、氯仿,易溶于乙醚。水溶液呈中性。能解热镇痛,但毒性较安乃近和氨基比林要大。可由苯肼与双乙烯酮缩合而成。
【氨基比林】分子式C13H17N3O分子量:231.29。又称匹拉米洞。白色晶体或粉末。无臭微苦。熔点107~109℃,在空气中稳定,遇日光逐渐变质。稍溶于水,易溶于乙醇,也溶于其它有机溶剂。能解热镇痛,用于头痛、关节痛、月经痛等,与巴比妥类药物合用,疗效更佳。可由4-氨基安替比林经硫酸二甲酯甲基化制得。
【阿斯匹林】分子式C9H8O4分子量180.15。学名乙酰水杨酸。白色针状或结晶性粉末,无臭、略有酸味。熔点135℃~
【心得安】分子式C16H21NO2,分子量259.34又称恩特来。由环己烷重结晶者,熔点
【巴比妥】分子式C8H12N2O3,分子量184.19。又称佛罗那。白色结晶粉末。无臭微苦。熔点189~191℃。在空气中稳定。微溶于水,溶于热水和乙醇,易溶于碱性溶液。用作镇静和催眠药物,适用于治疗神经过度兴奋引起的失眠症,能引起安稳的睡眠。但不宜长期服用,因其会引起全身无力、呕吐、头痛等副作用。可由二乙基丙二酸酯与尿素在乙醇钠存在下经缩合反应制得。
【苯巴比妥】分子式C12H12N2O3,分子量232.22。又称鲁米那。白色结晶粉末。无臭微苦。熔点174~178℃。微溶于水,溶于热水,乙醇、乙醚、氯仿、氢氧化钠和碳酸钠溶液。水溶液呈酸性。是持续时间较长的镇静安眠药,还用于高血压、恶心、呕吐、甲状腺机能亢进等病的治疗,还有抗惊厥作用,可治疗癫痫和焦虑症等。可由乙基苯基丙二酸二乙酯与尿素在乙醇钠作用下经缩合反应制得。
【普鲁卡因】分子式C13H20N2O2,分子量236.31。其二水物是针状晶体,熔点
【异烟肼】分子式C6H7N3O,分子量137.15。又称4-吡啶甲酸酰肼,俗称雷米封。白色晶体或结晶性粉末。无臭微苦。熔点

【对氨基水杨酸】分子式C7H7NO3,分子量153.14。简称PAS。白色粉末,略有丙酮气味。熔点150~
【磺胺嘧啶】分子式C10H10N4O2S,分子量250.28。俗称SD。又称对氨基-N-2-嘧啶基苯磺酸胺。白色或微黄色结晶粉末。无臭。熔点252~256℃。在空气中稳定,光照时易变成深色,难溶于水,微溶于乙醇、丙酮和乙醚。易溶于稀无机酸和苛性碱溶液。能治疗肺炎球菌、溶血性链球菌、脑膜炎球菌等的感染。适宜于小儿用药。也常制成水溶性的钠盐,用作注射针剂。可由对乙酰氨基苯磺酰氯与2-氨基嘧啶反应,然后再经水解制得。
【磺胺甲氧基哒嗪】分子式C11H12N4O3S。分子量280.25。俗称长效磺胺,简称SMP。淡黄色结晶,遇光易变色。熔点182~183℃。可溶于热水,微溶于乙醇,溶于丙酮。抗菌效能和磺胺嘧啶相当,但作用时间长,给药一次,可维持药效廿四小时。可由顺丁烯二酸酐与硫酸肼环合后,经氯化、与磺胺缩合,再经甲氧基化制得。
【磺胺脒】分子式C7H10N4O2S,分子量214.19。又称磺胺胍或氨苯磺酰胍。简称SG。白色针状结晶粉末。无臭无味,遇日光照射颜色逐渐变深。熔点190~
![]()
【磺胺噻唑】分子式C9H9N3O2S2,分子量259.19。简名ST,商品名消治龙。白色晶体或结晶粉末。在空气中稳定,遇光变色。熔点200~
【痢特灵】分子式C8H7N3O5,分子量225.17,又名呋喃唑酮,黄色粉末,几乎无味。可溶于水。对大肠杆菌、痢疾杆菌等最敏感,但口服时肠道不易吸收。用于治疗痢疾和肠炎,也用于治疗泌尿道感染。可由β-羟基乙基肼与碳酸二乙酯经环合、缩合制得。
【甲硫咪唑】分子式C4H6N2S,分子量114.17。俗称地巴唑。白色结晶性粉末。熔点146~148℃,沸点
【保泰松】分子式C19H20N2O2,分子量308.37。学名1,2-二苯基-4-丁基-3,5-吡唑烷酮。白色或乳白色结晶性粉末。无臭微苦。熔点
【咳必清】分子式C20H31NO3,分子量333.46。又称维静宁,其枸橼酸盐,白色结晶粉末。熔点90~95℃,极易溶于水、氯仿,溶于乙醇、丙酮、乙酸乙酯,不溶于乙醚。有选择性的抑制咳嗽反射中枢的作用。毒性很小。可用于治疗上呼吸道等感染引起的急性咳嗽。可由四氢呋喃、苄基氰和枸橼酸合成。
【安络血】分子式C10H12N4O3·H2O,分子量254.24。又称安特诺斯。桔红色结晶粉末或片状晶体。无臭无味。熔点
【盐酸哌替啶】分子式C15H22ClNO2,分子量283.85。俗称度冷丁。白色细小结晶,无臭微苦。熔点186~189℃。在空气中稳定。易溶于水和乙醇,溶于氯仿,不溶于乙醚。是中枢抑制药,具有镇痛作用,用于某些剧烈内脏痛、创口痛和作为麻醉辅助药。是吗啡的良好代用品。可由N-二氯乙基甲胺和苄基氰化物反应,经水解、酯化,再用盐酸处理制得。
【盐酸氯丙嗪】分子式C17H22Cl2N2S,分子量355.25。又称冬眠灵或氯普马嗪,白色或微黄色结晶性粉末。有微臭,味极苦,有吸湿性。熔点l90~196℃。长期爆光颜色变深。易溶于水、乙醇和氯仿,不溶于乙醚和苯。有中枢性安定、止吐、抗惊厥、抗肾上腺素等作用。用于治疗精神分裂症、狂燥症。焦虑症以及精神失常、恶心、呕吐等。并可用于人工冬眠和低温麻醉等。可由2-氯苯噻嗪与1-氯-3-二甲胺基氯丙烷缩合制得氯丙嗪,再用盐酸处理制得。
【异丙嗪】分子式C17H20N2S,分子量284.41。又称非那根、白色晶体。熔点
【扑尔敏】分子式C20H23N2ClO4,分子量390.85。学名马来酸氯苯吡胺。白色结晶性粉末。无臭味苦。熔点130~135℃。能溶于水、乙醇和氯仿,水溶液呈酸性。见光易变质。对各种过敏性疾病有良好疗效,能治过敏性气喘、荨麻症等。与复方阿斯匹林同时服用,治疗伤风效果良好。可由吡啶、对氯甲苯与二甲酰胺等缩合后再用马来酸处理制得。
【呋喃坦丁】分子式C8H6N4O5,分子量238.17。又称呋喃妥因。黄色针状晶体。有微臭和苦味。熔点270~272℃(分解)。对革兰氏阴性和阳性菌都有抑制作用。用于泌尿道感染,特别对大肠杆菌、变形杆菌引起的急性尿路感染疗效较好。可由水合肼与尿素等制成氨基乙内酰脲,再与硝基呋喃二乙酯缩合制得。
【金鸡纳霜】分子式C20H24N2O2,分子量324.41。又称喹宁。存在于金鸡纳树皮中的一种主要生物碱,白色结晶性粉末。味极苦。三水合物熔点
【小檗碱】分子式[C20H18NO4]Cl,分子量336。又称黄连素。存在于黄连以及其它小檗属植物中。黄色针状结晶。熔点
【四环素】分子式C20H24N2O8,分子量444.45。一种广谱抗菌素。黄色晶体,熔点170~175℃(分解)。微溶于水,溶于乙醇和丙酮,在空气中稳定,但易吸收水分,受强日光照射变色。对革兰氏阳性和阴性细菌,各种立克次氏体、螺旋体、大型病毒等有抑制作用。用于治疗肺炎、斑疹伤寒、阿米巴痢等。供口服。但有呕吐、恶心、腹泻等副作用。可由金霉素脱氯制得,或由培养能产生四环素的放线菌的发酵液中提取。
【土霉素】分子式C22H24N2O9,分子量460.45。又称地霉素、氧四环素。是一种广谱抗菌素,黄色结晶性粉末,无臭微苦。有二个分子结晶水。熔点181~182℃(分解)。微溶于水,溶于乙醇、丙酮和乙二醇,不溶于氯仿和乙醚。在空气中稳定,遇强光颜色变深。抗菌作用和医疗效果与四环素相似。供口服、可由土壤链丝菌的发酵液中提取得到。
【金霉素】分子式C22H23ClN2O8,分子量478.87。又称氯四环素,是一种广谱抗菌素,金黄色结晶。无臭味苦。熔点168~169℃。一般医药上用其盐酸盐。熔点
【苄青霉素】分子式C16H17N2O4SNa(或K)。一种主要的青霉素,一般是钠盐或钾盐。白色结晶性粉末、无臭。有吸湿性,易溶于水、生理盐水或葡萄糖溶液中。微溶于乙醇,遇酸、碱、氧化剂、重金属等易失效。水溶液极不稳定,干粉可密封于小瓶内保存,临用前配成溶液。适于治疗葡萄球菌、链球菌、肺炎球菌、淋球菌、脑膜炎球菌等引起的疾病,如肺炎、败血症、化脓性关节炎、细菌性心内膜炎等。工业上用培养青霉素的发酵液经提炼、精制、干燥而制得。
【强力霉素】分子式C22H24N2O8,分子量444.45。化学名称2,6-脱氧土霉素盐酸盐。由土霉素脱氧而得的一种广谱半合成四环素族抗菌素。黄色结晶粉末,无臭味苦。熔点约
可由土霉素经氯化、氢化等反应在6-α-位脱氧制得。
【灰黄霉素】分子式C17H17ClO6,分子量352.76。学名7-氯-4,6,2'一三甲氧基-6'-甲-基-2'-灰黄霉素-3,4'一二酮。白色或类白色粉末。无臭。熔点218~224℃,不溶于水,微溶于乙醇、乙醚,易溶于丙酮、二甲基甲酰胺和含氯的有机溶剂。杀灭体表霉菌的作用很强,主治头癣、手脚指甲癣(灰指甲)等。可由灰黄霉素的发酵液中分离而得到。
【维生素A】分子式C20H30O,分子量286.44。亦称抗干眼醇。其前身是胡萝卜素,存在于多种植物中如胡萝卜。青菜等。动物能将胡萝卜素转化为维生素A并贮存在肝脏中,鱼肝油中含量特别高。黄色晶体,熔点62~64℃。不溶于水和甘油,溶于无水乙醇、乙醚、氯仿和油脂。受紫外线照射易失效,在空气中易被氧化。但其油溶液很稳定。主要用于防治儿童发育不良、干眼症、夜盲病及皮肤干裂等症。可由鱼肝油中提取,也可由β-紫罗兰酮、一氯乙酸乙酯和甲基乙烯酮等合成。
【维生素B1】分子式C12H17ClN4OS·HCl,分子量337.29。又称盐酸硫胺。白色结晶性粉末。有微弱特臭、味苦,有潮解性。熔点
【维生素B2】分子式C17H20N4O6,分子量376.38。又称维生素G或核黄素。橙黄色结晶。微臭味苦。熔点
【维生素B4】分子式C5H5N5·H3PO4,分子量233.14。学名6-氨基嘌呤磷酸盐。存在于茶叶和甜菜汁中。白色粉末或针状结晶。无味。熔点
【维生素C】分子式C6H8O6,分子量176.13。又称抗坏血酸。一种水溶性维生素。无色晶体,无臭有酸味。存在于新鲜蔬菜和某些水果中。熔点190~192℃(分解)。溶于水和乙醇。易被光和空气氧化,在贮存、腌渍或烹调中易破坏。能参加人体的某些代谢作用,对生物氧化有重要作用,可增强机体抗病力和解毒作用等。用于治疗维生素C缺乏引起的病症如坏血病等。维生素C的主要来源是新鲜水果和蔬菜;工业上由d-山梨醇经发酵成山梨糖,再进一步发酵制成。
【维生素E】又名生育酚。一种脂溶性维生素。自然界存在的有维生素E作用的物质有八种。一般所指维生素E是α-生育酚。药用的主要是乙酸酯广泛存在于绿色植物中,在小麦胚芽油中含量最高。浅黄色粘稠油状液体。无臭无味。密度(25/4℃)
【维生素D2】分子式C28H44O,分子量396.66。又名抗佝偻病维生素、骨化醇。无色针状结晶,无臭无味。熔点115~118℃。在空气和日光下都不稳定。不溶于水,易溶于乙醇、乙醚或氯仿中。遇无机酸、醛类,或者温度过高时,都易分解。主要用于防治佝偻病和骨质软化病。可由麦固醇经紫外光照射转化而成。
【维生素K3】分子式C11H8O2,分子量172.2。又称甲萘醌,亮黄色晶体,有特殊的刺激性气味。熔点105~107℃。不溶于水,溶于乙醇、氯仿、苯、四氯化碳和植物油等。遇光或铁质分解变质,是防治缺乏凝血酶原症的特效药,主要作用是促进血液凝固。可由β-甲基萘在冰醋酸中用铬酐氧化成甲萘醌,然后与亚硫酸氢钠生成加成物使用。
【维生素U】分子式C6H14NO2IS,分子量291.2。学名碘甲基甲硫基丁氨酸。存在于甘蓝、莴苣、苜蓿和其它绿叶蔬菜中。有特殊气味,味咸苦。光照或久置空气中都不稳定。易溶于水,不溶于乙醇和乙醚。水溶液呈酸性。主要用于治疗胃溃疡和十二指肠溃疡。可由蛋氨酸与碘甲烷反应制得。
【维生素B12】分子式C63H88N14O14PCo,分子量1355。又称钴维生素或钴胺素。是含钴的一类卟啉化合物。动物肝脏中含量较丰富。暗红色针状晶体或结晶粉末。在空气略有吸湿性。溶于水、乙酸,不溶于氯仿。易溶于混和溶剂,如甲酚-四氯化碳或甲酚-丁醇。遇碱或强酸则变质,是抗恶性贫血药物。对维持正常生长和营养,上皮组织细胞的正常新生,对神经系统髓磷脂的正常活动和红细胞的产生都有极其重要的作用。可由丙酸菌发酵制得,或由抗菌素发酵液中提取。
【甲基橙】分子式C14H14N3O3SNa,分子量327.34。橙红色鳞状晶体或粉末。微溶于水,较易溶于热水,不溶于乙醇。0.1%的水溶液是常用的测定pH值的指示剂,变色范围为pH3.1~4.4,由红色变黄色。也用作酸碱滴定的指示剂和测定水的碱度。也用于印染纺织品。可由对氨基苯磺酸钠经重氮化后与二甲苯胺偶合制成。
【酚酞】分子式C20H16O4,分子量320.33。学名2-[双-(4-羟苯基)甲基]苯甲酸。无色或微黄色晶体。熔斓*257~259℃。密度
【品红】分子式C20H19N3,分子量301.38。又称碱性品红。棕红色晶体。微溶于水,水溶液呈红色。溶于乙醇和酸。用于棉、人造纤维、纸张、皮革的印染,也用于喷漆、墨水等。品红可与二氧化硫结合成不稳定的无色物质,经较长时间或受热时又可分解,出现红色。品红还可作为区别醛和酮的一种试剂。可由苯胺、邻甲苯胺、对甲苯胺与硝基苯在铁和氯化锌存在时加热制成。
【龙胆紫】分子式C25H30ClN3,分子量408.00。又称结晶紫或甲基紫,学名氯化六甲基对品红碱,是一种碱性染料,深绿紫色有金属光泽的块状物质。略溶于水,溶于乙醇、氯仿,不溶于乙醚。医药上用作局部抗感染药,杀菌药。其水溶液(
【阴丹士林】分子式C28H14N2O4。分子量442.41。一种瓮染染料的商品名称。蓝色粉末。当加热到470~500℃时分解。不溶于有机溶剂,不溶于水,溶于浓硫酸或稀碱溶液。它是一种重要的棉织品染料。可由2-氨基蒽醌与氢氧化钾和乙酸钾共融制得。
【敌百虫】分子式C4H3Cl3O4P,分子量257.45。学名二甲基-2,2,2-三氯-1-羟基乙基磷酸酯。白色晶体。属有机磷杀虫剂。熔点83~84℃。沸点
【敌敌畏】分子式C4H7Cl2O4P,分子量220.98。简称DDVP。是一种有机磷杀虫剂。无色液体,不易燃烧。沸点
【一六零五】分子式C10H14NO5PS,分子量291.27。学名二乙基-4-硝基苯基硫代磷酸酯。有机磷杀虫剂。浅黄色油状液体,有大蒜味。纯品无色无味,熔点
【乐果】分子式C5H12O3NS2P,分子量229.13。亦称乐戈。是一种有机磷内吸杀虫剂。白色固体。熔点51~52℃,工业品为褐色液体,有恶臭。微溶于水,能溶于大多数有机溶剂。农业上主要用于防治蚜虫和螨类,对蚜虫和红蜘蛛特别有效。杀虫力强,但对人畜毒性低,主要用于蔬菜、果树、棉、粮和多种经济作物的害虫防治。可由0,0-二甲基二硫代磷酸钠和卤代乙酰甲胺在溶剂中作用制得。
【灭蚜净】分子式C8H15O6P,分子量238.17。无色液体,有酯的香味。沸点110~132℃(399.9~533.2帕——3~4mmHg)。微溶于水,溶于有机溶剂。有良好的触杀和内吸作用,也有一定的胃毒和熏蒸作用。特别对棉蚜、红蜘蛛、水稻螟虫等效果明显。可由乙酰乙酸乙酯经氯化生成α-氯代乙酰乙酸乙酯,再和亚磷酸三甲酯作用制得。
【灭草隆】分子式C9H11N2OCl,分子量198.68。学名N-对-氯苯基-N',N'-二甲基脲。白色鳞状晶体。熔点176~177℃。不溶于水,难溶于乙醇、苯等有机溶剂,易溶于卤代烷。农业上主要用于土壤处理,防除葡萄、甘蔗、棉花和大田作物中的单子叶和双子叶杂草。可由对氯苯胺、光气和二甲胺为原料合成制得。
【除草醚】分子式C12H7NO3Cl2,分子量284.09。学名2,4-二氯苯基-4'-硝基苯基醚。淡黄色晶体。熔点70~71℃。微溶于水,溶于乙醇等。可配成乳剂和粉剂。用于稻田除草,效果很好。在各种土质、气温条件下均适用。可防治稗草、莎草、鸭舌草、虻眼草及牛毛草等。可由2,4-二氯苯酚钾和对硝基氯苯反应缩合制成。
【敌稗】分子式C9H9NOCl2,分子量218.07。学名3,4-二氯丙酰替苯胺。简称DCPA。白色晶体。熔点92~93℃。是选择性很强的除草剂,特别是防治稻田中的稗草、驴耳菜等,用于水稻田和直播田。通常配成20%乳油,使用时加入稀释剂后再喷洒。
【稻瘟净】分子式C11H17SO3P,分子量260.28。无色透明液体。沸点
【叶蝉散】分子式C11H15NO2,分子量193.24。又称扑灭威。学名甲胺基甲酸-2-异丙基苯酯。系兼有触杀性和内吸性的杀虫剂。白色晶体。熔点96~97℃、沸点128°~
【2,4-滴】分子式C8H6Cl2O3,分子量221.03。又称
【特屈儿】分子式C7H5N5O8,分子式287.11。学名2,4,6-三硝基苯甲硝基胺。是一种爆炸力强大的猛烈炸药。淡黄色晶体。熔点130°~
【特塔森】分子式C2H8N10O,分子量188.08。学名4-脒基-1亚硝氨基脒基四氮烷。是起爆药。淡黄色结晶粉末。不溶于水和多数普通有机溶剂。遇沸水和烧碱溶液分解。对撞击和摩擦很敏感。可由氨基胍碳酸盐或硫酸盐与亚硝酸钠反应制得。
【太恩】分子式C5H8N4O12,分子量316.11。亦称对称戊四醇四硝酸酯。是爆炸力极强的猛性炸药。无色晶体。熔点138°~
【有机金属化合物】有机基团与金属原子直接相连的一种有机物的总称,可分为两大类:(1)一般金属有机化合物,可用通式R-M和R-M-X(R-烃基,X-卤素。 M-金属)表示。大都有毒,化学性能活泼。在实验室和工业上有广泛的应用。如四乙基铅,格氏试剂等。(2)过渡金属的有机络合物、如四羰基镍、二茂铁、π-烯丙基镍等。主要用作有机合成和催化剂。
【四乙基铅】分子式C8H20Pb,结构简式,Pb(C2H5),分子量323.45是有机铅化合物。无色油状液体,有芳香气味,剧毒。易被皮肤吸收。在室温下分解较慢,在日光下或受热时会分解。沸点
【格林尼亚试剂】通式RMgX(R-烃基,X-卤素)。简称格氏试剂:是由法国V·格林尼亚首先于1901年用卤代烃和镁屑在无水乙醚中反应制得的。格氏试剂是用途极广的有机合成试剂,能与醛、酮、酯、腈、环氧化合物等发生加成反应;能与一些金属卤代物反应生成金属有机化合物。
【二茂铁】分子式C10H10Fe,分子量186.03。学名二聚环戊二烯铁,是亚铁和环异戊二烯的络合物。橙色针状结晶。有象樟脑的气味。熔点173~174℃、沸点
【有机锂化合物】通式RLi(R-烃基)。如丁基锂C4H9Li、苯基锂C6H5Li等。可溶于乙醚、苯、石油醚等非极性溶剂。化学性质类似烷基卤化镁,但更活泼。可与金属卤化物、含羰基物质、卤代烃和含有活泼氢化合物反应。是重要的有机合成试剂。能与醛、酮(含有羰基)等反应生成相应的醇等。可由卤代烃与金属锂在无水乙醚或苯中反应制得。
【烷基铝】通式AlR3,又称三烷基铝。是一大类金属铝有机化合物。室温下都是无色液体,化学性质很活泼,如三乙基铝在空气中能自燃,极易被氧化,遇水即爆炸。三甲基铝和三乙基铝一般形成二聚体存在:[(CH3)3Al]2、[(C2H5)3Al]2,带支链的烷基铝主要以单体形式存在。工业上重要的有三乙基铝:系无色粘稠液体,沸点
【有机铝聚合物】分子中含有铝原子的有机聚合物的总称。主链含有
链节的称为有机铝氧烷,用铝粉作填料可制得耐
【有机锡聚合物】分子中含有锡原子的有机聚合物的总称。锡原子在主链上的,可用作聚氯乙烯的稳定剂,有机硅涂料的常温熟化剂和海洋设备的防腐杀菌涂层。可由有机锡二醇酯或三醇酯部分水解后缩聚而成。锡原子在侧链上的,可由不饱和的有机锡化合物聚合或与其它不饱和有机物共聚而成。其中有的具有弹性,有的能抗X-射线。
【有机钛聚合物】分子链中含有钛原子的有机聚合物的总称。主链含有
链节的称为聚有机钛氧烷。有些可作表面活性剂、分散剂、抗水剂和防锈剂等,有些可用作涂料;若用铝粉作填料,涂层可耐600~700℃高温。可由原钛酸酯Ti(OR)4经部分水解后缩聚而成。
【有机铑化合物】如二氯四羰基二铑,分子式C4Cl2O4Rh2,分子量388.74,系桔红色结晶状晶体。熔点124~125℃。可溶于有机溶剂。在空气中易分解。是重要的加氢催化剂。目前较新的一种有机铑化合物是反式-(三苯基磷)羰基铑的氢化物,式中L代表的是三苯基磷。是烯烃加氢反应的极好催化剂。类似的还有反式-(三苯基磷)氯化铑。它既是烯烃加氢催化剂,同时还是醛类脱羰基化反应的催化剂。
【四羰基镍】分子式C4O4Ni,结构简式Ni(CO)4,分子量170.73。无色或黄色流动易挥发液体。蒸气有剧毒!熔点
【二(π-烯丙基)镍配合物】烯丙基溴化镁与二溴化镍在无水乙醚中反应,得到具有反式结构的二(π-烯丙基)镍配合物。这是一种化学性质非常活泼的催化剂。当它与1,3-丁二烯反应时,能生成全反式-1,5,9-十二碳环三烯。
【乙酰丙酮镍】分子式C10H16O4Ni分子量:258.92。又称双-(2,4-戊二酮基—)镍,翡翠绿色结晶。熔点229~230℃。
2沸点220~235℃(1466.3帕——11mmHg),密度(
【齐格勒-纳塔催化剂】由三氯化钛与三烷基铝组成的一类催化剂。它是由三氯化钛与三烷基铝作用,生成具有活性中心的烷基钛氯化物,具有缺电子空穴的八面体结构。当它与烯烃单体配位后,第二个烯烃单体只能在一定方位上与第一个烯烃单体结合,即只发生定向聚合。故又称作烯烃定向聚合催化剂。
【三丁基氧化锡】分子式C24H54OSn2,分子量596.07。无色液体,沸点220~230℃(1333帕——10mmHg)。不溶于水,溶于普通有机溶剂。无腐蚀性。用作杀菌剂,毒性低,杀菌力强。广泛用作木材、造纸、纺织等工业中的防护剂,还用作聚合反应的催化剂。由无水四氯化锡与丁基溴化镁反应生成四丁基锡,再与四氯化锡发生重分解反应生成三丁基氯化锡,最后与氢氧化钾反应得到三丁基氧化锡。
【有机硼化物】分子中含有B-C键或者说含有硼原子的有机化合物,叫有机硼化物。主要的有硼烷、烃基取代硼烷和含氮的硼化物。硼烷(即硼氢化合物)又可分为硼烷和氢化硼烷。烷基硼:由硼烷与不对称烯烃按照马氏规则进行加成,生成三取代烷基硼。三烷基硼是有机合成的重要试剂和中间体,在有机合成方面用途广泛。如与烯烃进行硼氢化—氧化反应制取相应的醇类;它还能与α-卤代羰基化合物(酮或酯)反应,烷基置换卤素,使反应物分子上接上一个需要的烷基。烷基硼与炔烃、炔酮、环氧乙烷和一氧化碳等反应,分别生成相应的烃、酮、醇等化合物。
除硼烷、烷基硼外,有机硼化物还有硼氢阴离子化合物和碳硼烷(亦称卡硼烷)等。
【有机硼聚合物】分子链中含有硼原子的有机聚合物。一般对热稳定,但容易水解。其中重要的有硼氮高分子,即含有
链的硼氮化合物,它们具有较好的耐热性。
【有机硅化合物】简称有机硅。碳和硅在周期表中同属第ⅣA族,生成的有机C—Si键化合物与C—C键化合物比较相似,其中包括:硅烷。通式SinH2n+2。如甲硅烷、乙硅烷……卤代硅烷,如一氯硅烷(R3SiCl),其中R为烃基;有硅烃基化合物,由硅和烃基结合而成;硅醇、通式R3SiOH,能生成类似醚的化合物:R3Si—O—SiR3。还有硅酸酯。硅醇生成醚的反应中易生成缩聚度不同的多聚醚,如硅油是不挥发的液体,受温度影响小,抗水性强,无毒无泡沫,不氧化,用作优质泵油、优质润滑油、密封脂、防水剂等;缩聚度高的,可用作绝缘耐热的树脂。
和有机碳化合物不同的是有机硅分子中的硅—硅原子间只有单键,没有双键和三键。上述有机硅化合物,例如:

【有机硅聚合物】分子中含有硅原子的有机聚合物的总称。具有耐高温、耐低温、耐化学腐蚀和憎水等特性。根据其结构和性能,主要可分为三类:硅油、低分子量线型结构的聚合物;硅橡胶、高分子量线型结构的聚合物;硅树脂、体型结构的聚合物。
【有机磷聚合物】分子结构中含有磷原子的有机聚合物的总称。其突出的性能是具有不燃性。可以分为两大类:一类是磷原子在主链上的,通常由有机磷化合物与其它有机物经缩聚而成。如四羟甲基氯化磷P(CH2OH)4Cl与尿素或三聚氰胺反应所得到的聚合物,是目前最好的防火涂料。另一类是磷原子在侧链上的,通常由磷的不饱和化合物聚合而成。可用于制有机玻璃,还有的可用作特殊的离子交换树脂以提炼重金属,用于原子能工业。
【有机氟聚合物】分子中含有氟原子的有机聚合物的总称。具有优良的物理性能、机械性能。耐热性、电性能和耐化学性能都很突出。根据其化学结构和性能可分为三类:
⑴氟油。低分子量的线型结构的聚合物、如三氟氯乙烯的低聚物,可用作高级变压器油和润滑油等。
⑵氟橡胶。高分子量的线型结构的聚合物,例如氟橡胶-23,可用于制耐高温、耐油和耐化学腐蚀的特种橡胶制品。
⑶氟树脂。高分子量的线型结构的聚合物,如聚四氟乙烯,可用于制塑料制品和合成纤维等。
【有机硅绝缘漆】以有机硅树脂为主要成膜物质的绝缘漆,是H级的绝缘材料。具有优良的耐热性,长期耐
【环氧树脂涂料】亦称环氧树脂漆。以环氧树脂为重要成膜物质的涂料。有很好的附着力和耐腐蚀性。有溶剂型、无溶剂型和粉末型三种。如环氧酯树脂涂料,是一种溶剂型环氧树脂涂料。耐化学腐蚀性和烘干温度都比热固化品种低,可由环氧树脂和脂肪酸反应制得。
【涂料】应用于物体表面而能形成坚韧保护膜的物料总称。多数是含有颜料或不含颜料的粘稠液体,称作漆。有天然漆和人造漆。使用涂料后,具有防止物体表面受化学腐蚀、日光照射和气候影响所引起的变化,防止物体表面直接受到机械磨损,还能增加美观。可分为:
⑴油性涂料;⑵酚醛树脂涂料;⑶沥青涂料;⑷醇酸树脂涂料;⑸氨基树脂涂料;⑹纤维素涂料;⑺聚酯树脂涂料;⑻环氧树脂涂料;⑼有机硅涂料等。
使用涂料对应先将物体表面进行光洁处理,然后根据具体情况选择刷涂、喷涂、浸渍等方法形成涂层。再经自然干燥或烘烤。主要用于保护和装饰金属制品、木材制品、皮革、纸张绝缘材料等。
【有机硅树脂涂料】以有机硅树脂为主要成膜物质的涂料。根据实际需要,可加入其它改性树脂,如聚酯树脂、环氧树脂、醇酸树脂等,以提高柔韧性、附着力、耐化学腐蚀等性能。具有良好的耐热性、耐水性和电绝缘性,主要用作耐热漆和绝缘漆。
【油漆】属于人造漆。通常是指含有干性油、颜料或者兼含有树脂的粘稠液体涂料。涂于物体表面,经氧化、聚合或凝结等作用,通过烘干或自干形成坚韧的保护薄膜。能起到防水、防腐、防锈、增加美观等作用。具有漆膜不易剥落对溶剂稳定等优点。油漆品种有。调合漆、磁漆、防锈漆等。广泛应用于建筑物、交通工具、机器设备、日用品、绝缘材料。先用干性油和树脂等配成漆料,再加稀释剂并与颜料和填充料混和而成。
【油质清漆】含油、树脂和溶剂的一类清漆。将油和树脂熬成均匀的液体,再加溶剂和催干剂即得。油常用干性油或半干性油,树脂可用松香或达玛树脂,也可用酚醛树脂、醇酸树脂等。溶剂主要用挥发性的汽油、煤油、松节油等、涂于物体表面后,溶剂挥发,油和树脂形成薄膜。从树脂的来源可分为天然树脂清漆和合成树脂清漆等。根据含油量的多少可分为长油清漆、中油清漆和短油清漆。根据干燥的方法可分为自干和烘干两种。
【醇质清漆】含有树脂和醇类溶剂的一类清漆。将树脂溶于醇类溶剂而成。最普通的是虫胶清漆。涂于物体表面后,醇类溶剂挥发后,树脂形成薄膜。成膜过程中干燥较快,但漆膜较脆。若在漆中加入增韧剂,可增加漆膜的韧性。
【醇酸清漆】以干性醇酸树脂为主要成分的清漆。通常呈黄棕色液体。漆膜光洁明亮,透明性好,漆膜坚实,经久耐用。主要用于木器家具和车厢内部等。
【纤维素涂料】亦称纤维素漆。以纤维素酯或纤维素醚为成膜材料的涂料。而溶剂则大多采用挥发性溶剂配制而成,挥发快,干燥迅速,漆膜坚实,经久耐用,光洁明亮。并可以上蜡打光。适用于金属、木材、皮革等。有硝酸纤维素漆、醋酸纤维素漆等。
【氨基醇酸树脂涂料】用氨基树脂和醇酸树脂为成膜的涂料。涂膜光洁明亮,保光性强,膜质坚硬,经久耐用,耐候性和耐热性好。主要用于要求装饰性能好的工业制品,如汽车、自行车、缝纫机、电风扇、医疗器械等。
【氨基醇酸烘漆】以醇酸树脂、脲甲醛树脂或三聚氰胺甲醛树脂或它们的混和物为主要成分的烘漆,在烘烤干燥过程中,树脂分子交叉聚合形成漆膜。漆膜光洁明亮,坚硬耐磨,耐腐蚀性能好,经久耐用。广泛应用于汽车、自行车、冰箱、缝纫机、仪器及五金零件等。
【清绝缘漆】以合成树脂为主要成分的绝缘漆。所用的合成树脂一般是酚醛树脂和醇酸树脂。漆膜具有良好的耐磨、耐热、耐化学腐蚀、机械强度、介电强度等性能。有自干和烘干两种、适用于一切电器用具。除绝缘外,还有密封、粘合和装饰作用。
【喷漆】属人造漆的一类。因用喷枪喷涂而得名。又可分为清喷漆和有色喷漆。清喷漆系由纤维素酯(因需要可选择硝酸纤维素、醋酸纤维素、乙基纤维素等)。树脂、增韧剂和溶剂等配成。有色喷漆需再加入可溶性染料或颜料。可喷涂,也可刷涂。使用方便、干燥快。耐水、耐油性好。根据用途,可分为一般的工业喷漆、汽车喷漆、飞机喷漆、木器喷漆等。
【聚酯树脂涂料】以聚酯树脂为主要成膜物质的涂料。用于较高级的木器家具。形成的漆膜较厚,外表美观,光泽好,保光性能好,硬度高,耐磨、耐腐蚀,不易龟裂。
【激素】亦称荷尔蒙。系由生物体内内分泌腺分泌的微量有机物。人们将这种特殊物质叫做激素。生物的生长、发育和繁殖,除了遗传特性外,还有这种激素在起作用。在神经系统的控制和相互作用下,促进体质和智力的发展,维持体内各种生理机能和代谢过程的协调,维持正常的生命活动。激素可以分为动物激素、昆虫激素和植物激素。动物激素主要是人和动物体内一些器官或细胞能产生各种不同的激素。可分为三类:
⑴留醇激素,按其作用又可分为性激素、孕激素和肾上腺皮质激素。
⑵蛋白质类激素,如促性腺激素、丘脑下部释放激素、胰岛素等。
⑶不饱和脂肪酸类激素,如前列腺素。多种激素的化学结构已经测知,有的已经合成。
激素药剂在医药上用于治疗甲状腺机能亢进、糖尿病、风湿病和某些肿瘤等。
【妊娠素】分子式C21H28O2,分子量312.46,学名△4-雄甾烯-17α-乙炔基-17β-醇-3-酮。白色或乳白色粉末,无臭无味。熔点
【皮质醇】分子式C21H30O5。分子量362.47。又称氢化可的松。是肾上腺皮质激素中的一种。无色晶体或白色结晶性粉末。熔点
【可的松】分子式C21H28O5,分子量360.43。学名17-羟-11-脱氧皮质酮。熔点220~224℃。无色片状晶体。可的松是肾上腺皮质激素的一种。易溶于甲醇、乙醇、丙酮,稍溶于乙醚、苯、氯仿,微溶于水。溶于浓硫酸而成桔红色但有绿色荧光的溶液。对糖的代谢和Na+、K+的代谢有显著影响,有消炎作用,是治疗类风湿性关节炎的重要药物。可由肾上腺提取液分离,还可由胆汁酸、山药皂草甙为原料制得。
【抗炎松】分子式C30H40O5,分子量480.61。又称醋柳酸娠烯醇酮。白色结晶粉末。熔点173~178℃,有消炎作用。在医药上,主要用于风湿性关节炎的治疗,还可用于风湿性心脏病的治疗。
【乙酸泼尼松】分子式C23H28O6,分子量400.46。亦称醋酸泼尼松。醋酸强的松或醋酸去氢可的松。无色晶体,无臭味苦。熔点234~240℃。不溶于水,微溶于乙醇,易溶于氯仿和丙酮。其优点是副作用小,不易产生钠潴留和血压升高。
【黄体酮】分子式C21H30O2,分子量314.47。学名4-孕甾烯-3,20-二酮,又称黄体素、孕酮和助孕素。白色或微黄色结晶粉末。熔点127~131℃。无臭。在空气中稳定,有右旋光性。不溶于水,溶于乙醇、乙醚、氯仿、丙酮、二氧六环和浓硫酸。黄体酮是体内黄体细胞所分泌。有激动子宫准备受孕,促进乳腺发育,抑制排卵,停止月经,减少子宫收缩等功能。医疗上一般用于先兆性和习惯性流产、子宫出血、痛经和月经过多等症。可由卵巢中提取,但得量甚微又不易提纯。工业上,以豆甾醇或山药皂草甙为原料合成,也可由醋酸双烯醇酮制得。
【氯地孕酮】分子式C23H29ClO4,分子量404.94。学名6-氯-17α-羟基孕甾-4,6-双烯-3,20-双酮醋酸酯。淡黄色结晶性粉末。熔点212~214℃。易溶于氯仿和丙酮、与雌激素配合制成长效口服避孕药。由17α-羟基黄体酮为原料经一系列反应得到。
【德萨美松】分子式C22H29FO5,分子量392.5。熔点262~264℃,本品为白色细结晶粉末,不溶于水,溶于酮、乙醚、氯仿。有消炎功能,是治疗类风湿性关节炎的重要药物。其抗炎作用约为氢化可的松的20~35倍。
【己烯雌酚】分子式C18H22O2,分子量268.36,又称乙芪酚。为白色无味结晶性粉末。不溶于水,溶于醇、氯仿、醚、脂肪油和稀的苛性碱溶液。由于从生物材料提取大量的雌性激素很困难,因此曾企图用人工方法合成具有天然激素类似性质的较简单的化合物,己烯雌酚就是其中应用最广的人造雌性激素。它的作用与天然雌性激素极为相似。合成方法可由对甲氧基苯甲醛为原料经过甲氧基苯基乙基甲酮制成。
【己烷雌酚】分子式C18H22O2,分子量270.36。又称二酚己烷。白色结晶性粉末。熔点
【睾丸酮】分子式C19H28O2,分子量288.41。亦称睾丸素,学名17β-羟基-4-雄甾烯-3-酮。无色针状结晶。熔点
【胆甾醇】分子式C27H46O,分子量386.64。俗称胆固醇。是动物甾醇中最重要的一种。它是脊椎动物细胞的重要组分。在脑和神经组织中含量特别多。血液中胆固醇含量多被认为与血管硬化和高血压有关,人体内的胆结石几乎全是胆固醇所构成。无色或微黄色晶体。熔点
【去氢表雄酮】分子式C19H28O2,分子量288.41。学名△5-雄烯-3(β)-醇-17-酮。有两种晶型。针状晶体,熔点140~141℃。小叶状晶体,熔点152~153℃。有右旋光性。可被毛地黄皂碱沉淀。溶于苯、乙醇、乙醚,微溶于氯仿、石油醚。是制造甾体激素的中间体。可从雄性动物尿中提取,也可由山药皂草甙或胆甾醇经降解后制得。
【麦角甾醇】分子式C28H44O,分子量396.63。亦称麦角固醇。存在于酵母菌、麦角菌中。是最重要的甾醇。白色片状晶体或针状晶体。熔点168~169℃。密度
【肾上腺素】分子式C9H13O3N,分子量183.2。又称副肾素。肾上腺髓质的主要激素。无色或淡棕色结晶性粉末。无臭味苦。在空气中颜色逐渐变深。熔点205~212℃。微溶于水、乙醇,不溶于乙醚、氯仿、脂肪油和氨溶液。易溶于无机酸和碱溶液。在中性和碱性水溶液中不稳定,遇光即分解变成红色,其盐酸盐溶于水,应用较广泛。可兴奋交感神经,加快加强心脏跳动、血管收缩、血压增高、瞳孔散大等作用。一般用于治疗支气管哮喘、过敏性休克和其它过敏性反应。也可用于某些心动骤停的急救。可由牛、羊等动物的肾上腺中提取,或由儿茶酚和氯乙酰氯等合成。
【去甲肾上腺素】分子式C8H11O3N,分子量169.18。细小晶体。熔点216~218℃(分解),其盐酸盐为晶体,熔点145.2~146
【甲地孕酮】分子式C24H32O4,分子量384.50,又名去氢甲孕酮。白色结晶粉末。无臭。不溶于水,溶于乙醇,稍溶于脂肪油。是一种高效黄体激素,与炔雌醇配制避孕片二号,单独使用可治疗痛经、功能性子宫出血等症。可由16,17α-环氧黄体酮为原料合成。
【甲状腺素】分子式C15H11O4I4N,分子量776.93。是动物甲状腺体产生的一种调节体内物质代谢的激素。自然状态下是L-型,是甲状腺球蛋白组分之一。白色针状晶体。无臭无味,遇光变质。它在235~236℃分解。由于甲状腺瘤等引起甲状腺素分泌过多时造成代谢加快,多食消瘦,心率及呼吸频率加快,眼球突出等症状,称甲状腺机能亢进。某些地方性饮食缺碘,能引起甲状腺素分泌不足,造成发育不良,动作迟缓,颈部粗肿,称作地方性甲状腺肿。医疗上用以治疗甲状腺机能减退,粘液性水肿和克汀病等。可由牛、羊、猪等的甲状腺中提取,也可由人工合成。
【炔诺酮】分子式C20H26O2,分子量298.41白色结晶粉末。无臭微苦。熔点202~208℃。不溶于水,微溶于乙醇,略溶于丙酮,溶于氯仿,能抑制排卵,所以有避孕作用。它与炔雌醇一起配制成避孕片一号(复方炔诺酮片)。可由醋酸妊娠烯醇酮合成。
【炔雌醇】白色结晶粉末,分子式C19H22O2,分子量282.37。熔点180~186℃。不溶于水,溶于乙醇和吡啶。有抑制排卵作用可达到避孕目的。与炔诺酮配成口服避孕片1号。可由9-羟甲基二酮发酵成雌酚酮,再和乙炔作用制得。
【雌二醇】分子式C18H24O2,分子量272.37又称雌甾酚醇。白色或微黄色晶体或结晶粉末熔点173°~
【雌性激素】动物卵巢分泌的一类甾体激素。与肾上腺素、雄性激素结构相似,有相互转化的代谢关系。如卵泡分泌的雌二醇能刺激性器官发育成熟,引起和维持副性特征和生殖周期;黄体分泌的黄体酮能促进子宫壁发育,以接收受精卵,有安胎、抑制排卵并促进乳腺发育的作用。雌性激素已由人工合成。
【雌二醇二丙酸酯】分子式C24H31O4,分子量384.50又称雌甾酚醇二丙酸酮,白色晶体或结晶粉末。熔点104~105℃。不溶于水,溶于丙酮和乙醇,微溶于植物油。能促进女性生殖器的生长和发育。可由雌二醇与丙酰氯合成。
【苯乙酸睾丸素】又名长效睾丸素,分子式C27H34O3,分子量406.54。无色或微黄色结晶粉末。无毒。在空气中稳定。熔点126~130℃。有右旋光性。不溶于水,溶于乙醇、乙醚、苯,易溶于植物油。用途与睾丸素相同,疗效是丙酸睾丸素的三倍。可由睾丸素和苯乙酸酐在苯中回流缩合制成。
【己酸孕酮】又名长效黄体酮。分子式C26H38O4,分子量414.56,无色结晶粉末。熔点118~222℃。有右旋光性。不溶于水,溶于乙醇和氯仿。与戊酸雌二醇配制成避孕针一号,注射一次,可避孕一个月。由17α-羟基黄体酮用正已酸酐酯化制得。
【胰岛素】分子式C90H150N22O24S,分子量1988.10。是动物胰脏中称为兰氏岛组织的β-细胞分泌的一种蛋白质激素,由16种氨基酸组成。白色结晶性粉末。易溶于稀酸溶液,在
【干扰素】是一类大分子蛋白质,分子量约13000~25000不等,是1957年伊萨克斯和林登曼在研究病毒与宿主细胞的相互作用中发现的。当病毒侵入宿主细胞后,宿主细胞由于受到侵害而制造出来的抵抗病毒的一类蛋白质物质。它不同于一般产生的抗体蛋白:抗体蛋白是对侵入的病毒具有种属专一性的,对其它类病毒则无效,而宿主细胞产生的干扰素则不是专一对抗入侵病毒的,它一旦产生则除入侵病毒外对其他病毒的代谢也有干扰对抗作用,能起到保护宿主细胞防御其它多种病毒的侵染。由于干扰素的产生对宿主细胞是“内源性”的,因而对其自身是无毒性的,也是非抗原性的,为做为广谱抗病毒“药物”使用的可能性提供了安全保证。为抗病毒病提出了一个新途径,引起了广泛的重视。但干扰素具有宿主特异性,动物干扰素不能用于人体,使应用受到了限制,目前人体白细胞干扰素的结构已经弄清楚了,并已进行着人工合成的研究,同时用基因工程靠发酵法制造人白细胞干扰素已取得一定成果,不久的将来可望用于病毒病及肿瘤的治疗。
一、分析化学
【定性分析】分析化学的一个分支。它的任务是测定物质含有哪些成分,如含有哪些元素、离子、原子团或化合物。它是定量分析的基础,对待测试样,往往需要在先做定性分析的基础上,再选择和制定适当的分析方法做定量分析。
【定量分析】分析化学的一个分支。它的任务是测定物质中所含各种组分数量的多少,一般以百分率表示。根据分析原理的不同,可分为化学分析和仪器分析。根据取样及操作方法不同,又可分为常量分析、半微量分析、微量分析、超微量分析、痕量分析等。定量分析在生产及科研中有很重要的意义。
【常量分析】在此种分析中,所采用的试样为:固体物质的质量大于
【半微量分析】指介于常量和微量之间的化学分析方法。分析中采用试样为:固体物质的质量为10~100毫克,液体体积为0.1~5毫升。分为半微量定性分析和半微量定量分析。采用此法分析时,常用点滴反应和显微结晶反应,用离心机分离沉淀。该法操作方便、反应灵敏、节省试样。
【微量分析】一种用于测定微量物质的化学分析方法。分析中试样为:固体物质的质量为1~10毫克,液体体积为0.01~2毫升。分为微量定性分析和微量定量分析。通常采用高灵敏试剂以检出含量很少的成分,常采用点滴分析和显微结晶分析,操作技术要求较高,有较高的灵敏度。
【超微量分析】一种用于测定极微量物质的化学分析方法。被测物质的固体试样质量少于0.1毫克,液体体积在0.1毫升以下。多采用物理和物理化学方法,所用仪器设备也较特殊。
【痕量分析】一种用来测定物质中被测成分含量小于试样的0.01%的化学分析方法。多采用仪器分析(如极谱法、光谱法等)。常用于环境保护工作中有害物质和超纯物质中的杂质以及纯金属等物质的分析测定。
【重量分析】定量分析方法的一种。通常将被测组分通过化学处理与其他组分分离,然后用称量的方法测定被测组分的含量。根据分离方法的不同,在重量分析中,主要应用沉淀法、气化法、提取法和电解法。重量分析不适用于微量和痕量组分的测定。
【容量分析】又叫滴定分析法,定量分析方法的一种。常将一种已知准确浓度的试剂溶液(标准溶液)滴加到被测物溶液中,直到所加试剂与被测物恰好完全反应为止。然后由试剂的用量和它的浓度来计算被测物的含量。此法简便、快速,可用于测定多种元素含量,通常用于测定常量组分,有时也可测定微量组分。根据反应的不同又可分为酸碱滴定法、络合滴定法、沉淀滴定法、氧化—还原滴定法等。
【滴定分析法】见容量分析条。
【酸碱滴定法】即中和滴定法。容量分析中的一种重要方法。一般的酸和碱以及能与酸或碱起作用的物质,都可以用酸碱滴定法。在酸碱滴定中,所用的滴定剂一般为强酸或强碱,被滴定的物质为强酸、强碱、弱酸、弱碱以及能直接与酸或碱起反应的弱酸盐或弱碱盐等。这种方法最重要的步骤是等当点的确定,为此常选择适宜的指示剂,以提高滴定的精确度。
【等当点】在容量分析中,用标准溶液和被测溶液进行滴定时,当反应达到完全时,两者以等当量作用,这一点称为等当点。在实际操作过程中,常借指示剂的变色或被测溶液中电位的改变来确定滴定的终点,它与等当点不一定完全符合,由此产生的误差叫滴定误差。
【滴定终点】见等当点条。
【滴定曲线】在容量分析中,用滴定剂进行滴定时,把滴定剂的体积对溶液的某些特性如pH值、氧化—还原电位等的改变,作成曲线,称为滴定曲线。在酸碱滴定中,常将滴定剂的体积对溶液相应的pH值作成滴定曲线,可根据滴定曲线上显示的溶液pH值突变(突跃)范围选用适当的指示剂,指示剂的变色范围应在溶液的pH值突变(突跃)范围内。在电位滴定中,将滴定剂的体积对溶液相应的电位读数作成滴定曲线。
【络合滴定】一种以络合反应为基础的容量分析方法。将络合剂配成标准溶液直接或间接滴定被测物质。能够用于络合滴定的络合反应,必须具备下列条件:形成的络合物要很稳定;反应速度要快;只形成一种配位数的络合物;有适当的方法确定等当点等。常用的络合剂为有机络合剂(如氨羧络合剂——如EDTA)。滴定时,常借络合指示剂颜色的改变或电学、光学方法来测定滴定终点。
【氧化—还原滴定】以氧化—还原反应为基础的容量分析方法。用标准氧化剂(或还原剂)来测定被测物质成分的含量。适用于此法的氧化—还原反应一般要求:滴定剂和被滴定物质的电位要有足够大的差别,反应才可能完全;采用一定的方法使反应迅速完成;尽可能消除副反应;有适当的方法确定等当点等。氧化—还原滴定不仅可以测定具有氧化性或还原性的物质,还可测定能与氧化剂或还原剂发生定量反应的物质。常用的方法有高锰酸钾法、重铬酸钾法、碘量法等。
【碘量法】以碘I2的氧化性和碘离子I-的还原性为基础的氧化—还原滴定法。基本反应是:
I2+2e
2I- E0=0.545伏
I2是一种较弱的氧化剂,能与较强的还原剂作用,如二价硫离子S2-、亚硫酸根离子SO32-、硫代硫酸根离子S2O32-、亚锡离子Sn2+等,滴定时用淀粉作指示剂,到达滴定终点时,被滴定溶液由无色变蓝色。这种方法是直接碘量法。I-是中等强度的还原剂,能与许多氧化剂作用析出碘,然后用硫代硫酸钠来滴定析出的碘,用淀粉做指示剂,到达滴定终点时,被滴定溶液由蓝色变为无色。这种方法是间接碘量法。
【沉淀滴定】以沉淀反应为基础的滴定分析方法。适用于沉淀滴定的沉淀反应必须满足下列要求:
⑴沉淀物的溶解度要小;
⑵反应速度要快;
⑶用适当的方法确定滴定的等当点;
⑷沉淀的吸附作用不应妨碍等当点的确定。
目前应用较广的是生成难溶性银盐的反应。例如
Ag++X-=AgX(X-代表Cl-、Br-、I-、SCN-等)
沉淀滴定也分直接法和间接法两种。
【莫尔法】以铬酸钾为指示剂的沉淀滴定法。在含有氯离子Cl-的中性溶液中,以铬酸钾K2CrO4作指示剂,用硝酸银标准溶液滴定。因AgCl的溶解度比Ag2CrO4溶解度小,所以先生成AgCl沉淀,当接近等当点时,由于Ag+浓度迅速增加,一滴过量就可达到Ag2CrO4的溶度积,立刻生成砖红色的Ag2CrO4沉淀,指示出滴定终点。反应式如下:
Ag++Cl-=AgCl↓(白色)
2Ag++CrO42-=Ag2CrO4↓(砖红色)
【指示剂】一类化学试剂,能由于某种物质的存在,或由于介质特性(如酸碱性、氧化-还原电位等)的改变,而引起溶液颜色的改变。常用于滴定分析中指示滴定的终点,有时也可直接用以检验气体或溶液中某些物质的存在。一般常见的指示剂有:酸碱指示剂、氧化—还原指示剂、沉淀指示剂、络合滴定指示剂等。
【酸碱指示剂】酸碱滴定中所用的指示剂,通常是有机酸或有机碱,当溶液的pH值改变时,它们往往由于结构的改变而引起颜色的改变。由于人的视觉限制,只有在溶液的pH值改变到一定范围时,才能看出指示剂的颜色变化。这种使指示剂明显地由一种颜色变为另一种颜色的pH值范围称为指示剂的变色范围。如甲基橙的变色范围是pH值3.1~4.4由红色变为黄色,酚酞的变色范围是pH值8.0~10.0由无色变为红色。酸碱滴定时选择指示剂的原则是:指示剂的变色范围应处于或部分处于等当点附近的pH值突跃范围内。
【指示剂变色范围】见酸碱指示剂条。
【氧化—还原指示剂】在氧化—还原滴定中所用的指示剂。它们大都是有机化合物,其氧化态和还原态具有不同的颜色。如二苯胺磺酸钠,它的氧化态为紫红色,还原态为无色。当用重铬酸钾滴定亚铁离子到等当点时,稍过量的重铬酸钾立即将二苯胺磺酸钠由无色变为紫红色。各种氧化—还原指示剂均有一定的标准电极电位,一般称变色电位,在达到标准电极电位时,指示剂的颜色发生变化。进行氧化—还原滴定时,应选用变色电位在滴定电位突跃范围内的指示剂。
【电导滴定法】电化学分析法的一种。将标准溶液滴入被测溶液中,从溶液电导值的变化来确定滴定终点的方法。可用于酸碱滴定、络合滴定、氧化—还原滴定、沉淀滴定等。能准确地测定溶液中浓度很低的物质。
【电位滴定法】电化学分析法的一种。将标准溶液滴入被测物质的溶液中,被测物质在等当点附近,由于浓度的突然变化引起电位的突跃,据此,可以确定滴定的终点。测定时,在被测溶液中插入一适当的指示电极(如玻璃电极)和一电位不变的参比电极(如甘汞电极)组成电池,在滴定过程中,因被测离子浓度不断变化,指示电极电位也发生相应的变化,在达到等当点时发生电位的突跃。测量电池电动势的变化,就能确定滴定的终点。可用于酸碱滴定、络合滴定和氧化—还原滴定。其最突出的优点是可以在有色溶液、混浊液、或者没有适当指示剂的溶液中进行滴定。
【电流滴定法】又称极谱滴定法或安培滴定法,是一种仪器分析方法。根据极谱分析的原理,在一定的外加电压下滴加标准溶液,在滴定过程中扩散电流的突变即为滴定的终点。常用电流(安培数)和滴加标准溶液的体积(毫升数)作成的滴定曲线求得滴定的终点。
【极谱滴定法】见电流滴定法条。
【标准溶液】已知准确浓度,用来进行滴定的溶液。在容量分析中,无论采取何种滴定方法,都离不开标准溶液,否则就无法计算分析结果。
【基准物质】能用来直接配制标准溶液或标定标准溶液准确浓度的纯净物质。它必须具备以下条件:
⑴纯度较高,纯度一般要求达到99.9%以上;
⑵实际组成应与化学式符合,若含结晶水时,其结晶水含量也应与化学式符合;
⑶在空气中稳定。
【掩蔽剂】利用络合反应、氧化—还原反应或沉淀反应,消除干扰离子的试剂。例如,用硫氰化钾与Co2+离子生成蓝色的Co(SCN) 42-络离子,可以鉴定Co2+的存在,但溶液中若有Fe3+离子存在时,SCN-与Fe3+可生成血红色络离子而产生干扰,若加入NaF,使Fe3+与F-生成FeF63-无色络离子,就可消除Fe3+在分析中的干扰,NaF就是一种掩蔽剂。
【掩蔽】利用掩蔽剂来掩蔽干扰离子以消除其干扰的方法。常用的掩蔽方法有络合掩蔽法、沉淀掩蔽法和氧化—还原掩蔽法等。
【解蔽】被掩蔽了的干扰离子在滴定了被测离子后,用解蔽剂使之解除掩蔽的过程。例如,在锌离子(Zn2+)和镁离子(Mg2+)共存时,测定Mg2+,可在pH=10的缓冲溶液中加入氰化钾,使Zn2+形成Zn(CN) 42-络离子而被掩蔽,然后用EDTA滴定。若要进一步测定Zn2+,可加入甲醛,以破坏Zn(CN) 42-络离子,而达到解蔽的目的。
【空白试验】在化学分析中,为了正确判断分析结果,常在不加试样的情况下,用蒸馏水代替试样溶液,按照试样分析的步骤和条件进行的平行试验,以校正其他因素对分析结果的影响。
【光谱分析】光化学分析的一类。根据物质所发生的光谱来测定物质的结构和化学成分的分析方法。光谱可分为发射光谱和吸收光谱,因而光谱分析可分为发射光谱分析和吸收光谱分析。根据光源波长不同,吸收光谱分析又可分为可见光吸收光谱分析、紫外光吸收光谱分析、红外光吸收光谱分析。发射光谱分析通常简称光谱分析。
【发射光谱分析】根据物质受到外界能量的激发后所发射出的特征谱线来进行定性及定量分析的一种重要的仪器分析方法。
【吸收光谱分析】由光源通过含有被测物质的介质后产生的吸收光谱来确定物质的结构和化学成分的一种仪器分析方法。
【极谱分析法】是一种仪器分析方法,也是一种特殊的电解分析方法。将试液置于一个有滴汞电极的电解池中进行电解,根据电解过程中所得的电流—电压曲线进行定性和定量分析。
【比色分析】属于光学分析,也是仪器分析方法的一种。利用物质吸收光能的特性,使某种光线(波长及强度一定)分别透过有色的标准溶液和被测试样溶液,然后比较两者颜色的强度,从而测出被测物质的浓度或含量。此种方法分目视比色法和光电比色法。
【光电比色法】比色分析方法的一种。在比色分析中借助光电比色计,事先测定一系列标准溶液的吸光度,绘制出标准曲线,然后通过光电比色计测量被测试液的吸光度,在标准曲线上找出被测物的浓度或含量。与目视比色法相比,光电比色法的误差较小,准确度较高。
【比浊分析】光学分析法的一种。根据光线照射悬浮体后的透射光或散射光的强度,来测定物质含量的方法。当光线通过混浊液时,一部分光被悬浮体吸收,一部分光被悬浮体散射,同时还有一部分光透过混浊液。在混浊液中悬浮体越多,则透过的光线越弱,而散射光越强。测量和比较悬浮体浓度较大的透射光的强度,叫浊度测定法;测量和比较悬浮体浓度较小的散射光的强度,叫做散射测浑法。主要用于可以形成悬浮体的沉淀物质的测定,如测定微量的磷、硫、钙、氯、氨等的含量。
【质谱分析法】是一种物理分析方法,试样经离子化后形成质谱的分析方法。当气体(或能转化为气体的物质)分子在低压下受电子的轰击,产生各种带正电荷的离子,再通过稳定磁场使阳离子按照质量大小的顺序分离开来,形成有规则的质谱,然后用检测器进行检测,即可作定性分析和定量分析。
【色层分析】又称色谱分析,简称层析。根据层析发生的不同原因,可分为:
⑴吸附层析,当试液缓慢地流经装有吸附剂的层析柱体时,由于吸附剂对试液中各种组分吸附能力的强弱不同而得到分离。
⑵分配层析,通常利用溶液中各种组分分配系数的不同,各组分便在柱中不同部位发生层析现象。分配系数大的组分集中在柱的较上端,分配系数小的组分集中在柱的下端。
⑶离子交换层析,通常是利用试液中各组分的交换势不同而进行分离。当试液沿着层析柱向下流动时,交换势大的组分首先停留在柱的上端,交换势小的组分被截在柱的下端,从而得到分离。
⑷沉淀层析,利用沉淀物质溶解度的不同进行分离。
色层分析的应用非常广泛,无机化学、有机化学、生物化学、药物化学、生理学等实验中经常应用。也常用层析来分离蛋白质、维生素、脂类化合物等的各种组成部分。
【纸上色层法】又称纸色谱分析法。是用滤纸做载体的液相色谱法。在滤纸的一端,用毛细管或微量注射器滴上样品,置于密闭容器中,移动相(展开剂)借助毛细管作用在纸上移动,达到色谱分离的目的。纸上色层法设备简单,操作方便、灵敏,有较广泛的应用。
【气相色谱法】在色谱的两相中用气体作为流动相的一种色谱法。它的固定相是固体的称为气—固色谱,固定相是液体的称为气—液色谱。是一种新型的分离和分析方法。具有分离效率高、灵敏度高、选择性好、速度快、样品用量少等优点。
【点滴分析】一种微量定性分析方法。用一滴或几滴被测物质的溶液与试剂进行反应,从生成的斑点或有色物质,确定被测物质中含有的元素、离子或官能团。如果被测物质中含有两种离子,生成两种有色物质时,在滤纸上易被吸附的有色物质在中间形成斑点,难被吸附的有色物质在外边形成色环。这种方法的特点是取样量少,操作简单,分析迅速。常在冶金、化工、农业和野外矿物分析中应用。
【焰色反应】定性分析中干法分析的一种。某些金属或它们的化合物在高温无色火焰中灼烧时,价电子被激发,当电子从较高能级跃迁回较低能级时,便分别发射出一定波长的光来,使无色火焰呈现出特征的颜色。利用此法可以鉴定化合物中某些元素的存在,如钠的焰色为黄色,钾为淡紫色,钙为砖红色,钡为淡绿色等。试验时将玻璃棒一端上的铂丝圈用浓盐酸润湿在火焰上灼烧,使铂丝清洁,然后用铂丝沾取少量试样粉末或溶液,在火焰中灼烧,即可呈现特殊的焰色。
【熔珠试验】定性分析中干法分析的一种。用硼砂(四硼酸钠)或磷酸氢铵钠等熔剂与试样共热熔融,生成熔珠。因熔剂能溶解各种金属氧化物,显出不同的特征颜色,据此可以检验某些金属元素的存在。例如
CoO+Na2B4O7=2NaBO2·Co(BO2)2(蓝宝石色)
这种方法称熔珠试验。
【系统误差】分析化学中的一种误差。这种误差是在分析过程中由于某些固定因素所造成的,对分析结果的影响也是固定的,在同一条件下,重复测定时,它会重复出现。产生的原因有:
⑴方法误差,多由分析方法本身所造成。
⑵仪器误差,由于仪器不够准确或未经校准。
⑶试剂误差,因试剂不纯或蒸馏水中含有杂质。
⑷操作误差,一般在操作时,由于操作者各人掌握操作规程和控制反应条件有出入而引起的误差。
【过失误差】由于操作不正确,或粗枝大叶,从而引起与事实不符的误差。这类误差无规可循,只要高度重视,细心操作,就可避免。
【终点误差】又叫滴定误差。在滴定过程中,通常是进行到溶液变色时停止,这叫滴定终点。但并不一定正好在等当点时变色,即滴定终点和等当点不一定恰好一致,由此而造成的误差叫终点误差或滴定误差。例如在酸碱滴定中,用NaOH标准溶液滴定HCl溶液,等当点pH=7;若用甲基橙做指示剂,(甲基橙的变色范围在pH=3.1~4.4),滴定过程中溶液pH≈4时指示剂变色即达到滴定终点,NaOH的量不足,结果偏低。
【组试剂】定性分析中,采用H2S、(NH4)2S等试剂,在适当的反应条件下,将阳离子分成若干组,一组一组地沉淀下来,或溶解掉,这种试剂称为组试剂。
【灵敏度】通常表示仪器、设备、试剂或某种测试方法,对某些微小的外加作用所显示出的敏感程度。例如天平的灵敏度是指每一毫克物质能使其指针移动的格数。如阻尼天平的灵敏度一般要求2.5~3.0格/克,即感量为0.4~0.33毫克/格。化学分析方法和试剂的灵敏度,是指其所能检验出的最小物量或最低浓度和限量。
【有效数字】在实验或试验中实际能测量到的数字。在对任何物质的某一物理量的测定中,只要操作方法正确,其准确度除最后一位数不能精确确定外,其他各数都是精确的。例如在中和滴定时,读取滴定管中液面所在的刻度是:16.52毫升,在读取的四位数中前三位都很准确(因为滴定管的最小刻度为0.1毫升),第四位是估计读数,称为可疑值,但仍有参考价值,应保留,这四位数字都是有效数字。再如在分析天平上称量一坩埚,质量是
二、化学仪器
【试管】最常用的仪器,可用于盛放少量化学试剂,进行简单地、少量物质间的化学反应,可进行加热,可进行少量物质的溶解配制少量溶液。还可组装成某些气体的简易发生装置、便于振荡、不宜搅拌、常用规格有15×
【烧杯】是常用的仪器,用于盛放较大量的化学试剂进行化学反应;溶解物质,配制溶液或进行稀释;加热较大量的液体;还可用于某些反应的水浴(不超过

【烧瓶】对于液体或固体和液体混和物进行较长时间加热时使用的容器。可分为平底烧瓶和圆底烧瓶。平底烧瓶常用于组装成某些气体的发生装置,或与双孔胶塞组装成洗气瓶;在用圆底烧瓶加热液体时,当液体残留量很少时仍可加热而不致破裂。还有一种短颈圆底烧瓶,常用于蒸馏和分馏。使用时应固定在铁架台上,垫上石棉网,不宜直接用火加热,还可用水浴、油浴和砂浴等加热。在进行反应时,注入液体量一般不应超过容积的1/2。常用规格有100、250、500、1000毫升等。
【蒸馏烧瓶】亦称蒸瓶和支管烧瓶,主要用于分馏操作和提纯操作,使用方法与烧瓶基本相同。进行蒸馏操作时,需与冷凝管、接受器等组装成蒸馏装置,蒸馏烧瓶内应放入沸石或碎瓷片防止爆沸。常用规格有100、250、500毫升等。
【锥形瓶】是常用的仪器。可用来加热液体,也可用来组装成某些气体的发生器,组装成洗气瓶。放置时稳定,瓶底受热面积大。由于瓶底较大瓶口较小,摇动时,液体不易溅出,因此广泛地应用在定量分析中的滴定操作上。不宜直接用火加热,要垫石棉网。加热液体时液面不应超过瓶高的1/3。常用规格有50、100、250毫升。

【蒸发皿】用于蒸发、浓缩溶液。可用坩埚钳夹持,放在三脚架上直接加热,也可用石棉网、水浴、沙浴等加热。盛入的液体一般应在皿边缘

【坩埚】用于高温灼烧固体试剂并适于称量,如测定结晶水合物中结晶水含量的实验。根据不同的实验,可采用不同的坩埚,如瓷坩埚、白金坩埚、铅坩埚等。常用的是瓷坩埚,一般容积为15、 30毫升两种。能耐1200~
【曲颈甑】玻璃制的一种反应器。可用于实验室制取硝酸、溴等。可直接在火上加热,常与接受器一起使用。
【水浴锅】铜或铝制品。主要用于间接加热,控制一定温度(<
【离心试管】简称离心管。广泛应用在分析化学实验的沉淀分离操作中,一般安装在手摇离心机上,进行离心,使沉淀与液体分离。
【集气瓶】广泛应用的一种仪器,多用于收集各种气体或暂时储存气体。也可用来进行有关气体反应的实验,还可作为洗气瓶和缓冲瓶。瓶沿是磨平的,用毛玻璃片盖住时不致漏气。常用规格有125毫升和500毫升,有无色透明的,也有茶色的。

【试剂瓶】放置试剂用。可分广口瓶和细口瓶,广口瓶用于盛放固体药品(粉末或碎块状);细口瓶用于盛放液体药品。都是磨口并配有玻璃塞。有无色和棕色两种,见光分解需避光保存的一般使用棕色瓶。盛放强碱固体和溶液时,不能用玻璃塞,需用胶塞和软木塞。试剂瓶不能用于配制溶液,也不能用作反应器,不能加热。细口瓶的玻璃塞不可互换。广口瓶一般容积较大,细口瓶常用的有60、125、500毫升等。
【滴瓶】盛放少量液体试剂的容器。例如盛放常用的指示剂酚酞试液、石蕊试液、甲基橙试液、硫氰化钾溶液等。由滴管和滴瓶组成,滴管置于滴瓶内,滴瓶口为磨口,不能盛放碱液。有无色和棕色两种,见光分解需避光保存的(如硝酸银溶液)应盛放在棕色瓶内。酸和其它能腐蚀橡胶制品的液体(如液溴)不宜长期盛放在瓶内。常用规格有30、60、125毫升等。滴管用毕应及时放回原瓶,切记!不可“串瓶”。

【干燥器】用于存放需要保持干燥的物品的容器。干燥器隔板下面放置干燥剂(固体干燥剂或液体干燥剂),需要干燥的物品放在适合的容器(如烧杯、表面皿、蒸发皿、坩埚等)内,再将容器放于干燥器的隔板上。灼烧后的坩埚内药品需要干燥时,须待冷却后再将坩埚放入干燥器中。干燥器盖子与磨口边缘处涂一层凡士林,防止漏气。干燥剂要适时更换。开盖时,要一手扶住干燥器,一手握住盖柄,稳稳平推。
【水槽】在实验室制取某些气体,采用排水集气法收集气体时用作盛水仪器。大小规格不等。常见的有玻璃水槽、铁皮水槽、搪瓷水槽,现广泛应用塑料水槽,轻便耐用,不易碎裂。
【量筒】量度一定体积液体的量器之一。量筒一般准确度较低。不能用作反应器,绝对不能加热,也不能用于配制溶液或溶液的稀释。常用规格有10、25、50、100、250、1000毫升等。通常容积越大,准确度越小。量取液体时,量筒应放在平整的桌面上,视线与量筒内凹液面的最低处平齐。量筒的刻度(毫升数)自下而上增大。
【量杯】量度一定体积液体的量器之一,其准确度较相应的(相同容积)量筒更低,不能用来加热,但可以配制溶解热不太大的溶液,也可以用来进行溶液间反应的演示实验。
【容量瓶】用来配制一定体积的摩尔浓度和当量浓度溶液的量器。容量瓶有一定的使用温度。固体物质的溶解、浓硫酸的稀释等不能在容量瓶内进行。使用前,先用适量溶剂在烧杯中将溶质溶解,当有明显温度变化时,应将溶液放置,待恢复至室温后再注入容量瓶,再多次用少量溶剂冲洗烧杯及搅拌用的玻璃棒,将冲洗液也注入容量瓶,再将溶剂沿玻璃棒慢慢注入容量瓶,至刻度线2~3厘米处,再改用滴管将溶剂滴至刻度线。盖好盖,用右手拇指握瓶颈,食指压瓶盖,左手食指、中指、拇指共同抵住瓶底,将瓶上下转动、摇匀即可。常用规格有50、100、250、500、1000毫升等。

【滴定管】进行容量分析时,用于准确量取一定体积液体试剂的量具。分为酸式滴定管和碱式滴定管两种。有无色,棕色的。酸式滴定管下端配有磨口玻璃旋塞,主要用于盛放酸性溶液,具有氧化性的稀溶液(如KMnO4溶液)盐的稀溶液。碱式滴定管下端是用一小段乳胶管,内装一个玻璃珠,前端再接一个尖嘴。主要用于盛放碱性溶液。见光易分解的溶液一般使用棕色滴定管。
滴定管要注意保持清洁。酸管下端玻璃旋塞要洗净,吸干水分,活塞两端涂上一薄层凡士林,慢慢朝一个方向转动,使之均匀。并用橡皮筋勒住。
滴定操作中,正确的读数是影响分析误差的重要因素,目光要平视液体凹面最低点与刻度线重合。滴定前,滴定管尖嘴部分若有气泡必须赶跑,必须用标准液将滴定管润洗,以防标准液浓度发生变化。滴定中,液面的下降和读数必须在有刻度的范围内,在刻度范围以外不能使用。常用规格有25、50毫升。精确度为0.2~0.1毫升,估计数字可达0.02毫升。
【移液管】吸取准确体积液体的量具。又叫吸量管或吸液管。有带刻度的移液管和给定体积的移液管两种。刻度移液管的常用规格有0.1、1、2、10、25毫升;无刻度的给定体积的移液管的常用规格有2、5、10、25、50毫升等。使用前,洗净的移液管必须用少量要吸取的溶液将其润洗一遍,保证所量取的溶液浓度不变。量取时,无毒无腐蚀性和无刺激气味的液体可用口吸,有毒液体要用吸球吸取。吸取时,移液管应插入液面下足够深度,将溶液吸过刻度,速用右手食指堵住管口,小心地活动食指使与管口稍有缝隙,使多余溶液缓慢滴出至液面降到刻度线。排放溶液时应将移液管尖端紧贴容器内壁,使溶液缓慢流下,给定体积的移液管则一次放完,移液管尖端的少量残留液不能吹入容器,因为在标定移液管刻度时,未将这部分残留液计入容积刻度之中。刻有“吹”字的,移液管最后须将残留液吹入容器内。

【托盘天平和砝码】称量物质质量的量具。其精确度为
与托盘天平配用的砝码中有0.5、1.0、2.0、5、10、2050、100克等不同质量的砝码和专用镊子。

【分析天平】分析天平的主要部分是天平柱和天平梁。天平柱直立固定在天平匣的底板上,其顶端有一个玛瑙平面板,天平柱上面放置着天平梁,梁的中间装有细长而垂直的指针,下面备有刻度的标尺,便于观察在称量时天平梁摆动及倾斜程度。在天平梁上装有三个玛瑙三棱形刀口,中间的刀口架在天平柱上磨光的玛瑙平板上,它是天平的支点,其它两个刀口则在梁的两端,这两个刀口上悬有两个蹬,天平盘就挂在这两个蹬上。这三个玛瑙刀口的棱边必须完全平行且位于同一水平面上,如果同样改变一定的重量,天平梁倾斜大的,则表示天平的灵敏度大。天平的灵敏度主要决定于玛瑙刀口的尖锐程度和玛瑙平板的光滑程度,为了保护天平的灵敏度,首先要保护刀口的尖锐程度,尽量减少磨损。天平中还装有升降枢,它用天平前面下部的旋钮来开动,托起或放下天平梁和天平盘。使用天平时,放下升降枢,使它不再托住天平梁和天平盘,天平梁即可自由摆动,停止使用时,升上升降枢,托住天平梁,此时刀口被架空而不与平板接触,因而不会磨损。分析天平总是装在天平匣内,防止灰尘侵入,湿度、温度和空气的流动均可对天平及使用产生影响,匣内常放入吸湿剂,使匣内保持干燥。使用时,可打开匣的前玻璃或两旁的门。分析天平应放在专用的天平室中固定的天平台上,免受振动。天平柱的后面(或侧面)装有一根铅直线,用来校正天平的水平,有的不装铅直线,而在天平柱的前面装有水准器。通过调节天平匣前两个天平脚的螺旋,使水准器的水泡移至中心,这样,天平就处在水平位置上。分析天平的载重量是一定的(
砝码应与分析天平专门配套,不可混用。每副砝码配有:50、 20、20、 10、 5、 2、 2、 1、0.5、 0.2、 0.2、0.1、0.05、0.02、0.02、0.01(克)、用砝码可称准
【温度计】测定温度的量具,温度计有水银的和酒精的两种。常用的是水银温度计。根据量度的范围,常见的规格有-10~
使用温度计时,注意水银球不要碰着器壁,以防碎裂,水银球放置的位置要合适。如测液体温度时,水银球应置于液体中;做石油分馏实验时水银球应放在分馏烧瓶的支管处。不宜测骤冷骤热的体系,以防水银球爆裂。
【比重计】是测液体比重的一种量具。是一支标有刻度的封闭的薄玻璃管,管底有一泡状或球状部分,内装铅粒或其它重物。比重计插入液体中能直立漂浮,根据阿基米德原理,液体比重越大,比重计浮起越高,从比重计上的标度,可以直接读出液体的比重,比重计分为重标和轻标两类,重标用以测量相对密度(比重)大于1的液体,轻标用于测量相对密度(比重)小于1的液体。比重计有各种刻度规格,工业上常用波美比重计。

【称量瓶】用于准确称量少量固体样品的玻璃小瓶,有“扁形”的和“高形”的两种。称量瓶要洗净干燥。使用前要先称其质量,再盛放少量固体样品称量出瓶和样品的总质量,减去瓶重可得样品质量。称量瓶不能做反应器,不能加热,瓶盖不能互换。
【漏斗】用于过滤、分离和注入液体的器具。实验室常用的有过滤漏斗、安全漏斗,分液漏斗、布氏漏斗、滴液漏斗等。
【过滤漏斗】在进行固液分离的过滤操作中,常使用长颈漏斗,长颈漏斗放置在漏斗架上或铁架台的铁环上,下面用烧杯收集过滤后的液体。漏斗上端呈60°圆锥形,放入滤纸并润湿(滤纸边沿要低于漏斗边沿),过滤时,要过滤的液体沿玻棒顺流而下,玻棒要轻触于三层折叠的滤纸部分,注入的液体不得超过滤纸的边沿,漏斗的颈部尖端要贴在烧杯内壁上。
短颈漏斗可用于引导液体或固体粉末进入小口容器中。
漏斗不能加热。需要趁热过滤时,可用有水套的特制漏斗。
【安全漏斗】用于组装气体发生器。为了不使产生的气体从漏斗处逸出,安全漏斗的环颈部分的液体可形成水封,防止气体逸出。在组装发生器时,要握住环颈以下的直管部分,轻轻插入双孔胶塞中,以防扭断。
【分液漏斗】可以用来分离互不混溶的两种液体和某些反应随时
滴加液体的器具。有球形的,还有标有刻度用以测定液体体积的
筒形和梨形分液漏斗。有50、100、250、500毫升等规格,不能
用以加热。在洗涤液体、或进行萃取操作时,可以右手按住玻璃
塞,左手固定住玻璃活塞上下转动或振荡。
【布氏漏斗】与吸滤瓶配合使用,用于减压过滤。一般是瓷制,
漏斗内部是一个多孔的平板,平板上铺上滤纸或滤布,漏斗颈部
配以合适的胶塞,将胶塞固定在吸滤瓶瓶口,从吸滤瓶支管口往
外抽空气,使瓶内形成负压,大气压力使液体加速通过漏斗,过滤速度大大加快。适宜较大量的过滤。
根据实验的需要,有大小不同的规格,按漏斗直径可分为6、9、20厘米等。
【加热器】在实验中给物质加热的器具。常用的有酒精灯、酒精喷灯、煤气灯、电炉、烘箱等。
【酒精灯】是广泛应用的加热器具。使用前先要检查灯芯棉线的长度,若长度不够,应当另换;要检查灯芯顶端是否已经烧焦变黑,应适当剪去烧焦部分,还要用镊子调整灯芯的高度;要检查酒精的量是否合适,不能少于灯容积的1/4,不能超过3/4。点燃时要用火柴,绝不能以燃着的酒精灯去接火,否则酒精外溢引起失火。酒精灯点燃后,其火焰可分为外焰、内焰和焰心三部分。外焰燃烧最充分,
温度最高,呈淡蓝色;内焰燃烧不充分,温度较低,呈黄色且较明亮;焰心是未燃
烧的酒精蒸气,温度最低,加热时,应用外焰。实验结束熄灭酒精灯时,应用灯盖
盖灭,不可用嘴吹,以免引起灯内酒精燃烧。用盖将灯熄灭后应再将盖拿起一次再
盖上,免得冷却后灯帽内压强减小而打不开灯盖。
【酒精喷灯】实验中用于高温灼烧或玻璃加工的器具。其火焰温度可高达
【煤气灯】亦称“本生灯”。煤气灯燃烧的火焰温度可达
高温灼烧和玻璃加工。但其使用有一定的局限性,必须在有煤气发生器和有液化石油气
供应的地方,才能安装煤气管道使用,火焰的大小和燃烧的温度,可通过进气螺栓和空
气入口的调节加以控制。火焰呈淡蓝色,可用于“焰色反应”的实验。

【石棉网】正方形的铁丝网上涂覆一层石棉,用以垫在不能直接用火加热的容器下
面,使容器受热均匀。注意不要使铁丝网生锈,不要用力磕碰,以防石棉脱落。
【燃烧匙】专门用于盛放少量固体可燃物点燃后放入集气瓶中燃烧的实验。一般燃烧匙是铜制的。若燃烧物能与燃烧匙反应,则燃烧匙底部应放入少量砂子或石棉绒;若助燃物能与燃烧匙反应,则需另换代用品,如钠在氯气中的燃烧实验可用玻璃制的小匙。
【夹持器械】常用的有铁架台、三脚架、试管夹、滴定管夹、试管架、漏斗架等。
【铁架台】由质量较大的底座和固定于铁制底座并垂直于底座的一根铁棍组成。根据不同的实验内容,常配有能上下移动的铁环、烧瓶夹、滴定管夹、冷凝管夹等附加器械。若实验需要加热、则可配合酒精灯、石棉网一起使用;若实验需要冷凝,则可与自来水管,冷凝器配合使用。在铁架台夹持玻璃器具时,要在夹与玻璃器具间垫纸,以防夹碎。

【三脚架】亦称三足架。可用于简单的加热、蒸发等实验。常与石棉网或泥三角配合使用,酒精灯放在三足架的下面,而被加热的烧杯、锥形瓶、蒸发皿和坩埚等放置在石棉网或泥三角上。
【试管架】用于放置试管的架子。有木制、铝制和塑料制试管架。试管架在放置洗净的试管前应洗涤干净,试管倒插在管架的木棍上,使洗涤后的残留水流出,灰尘不致落入。盛放药品的试管可置于管架的圆孔中。加热后未冷却的试管不宜立即放入木制和塑料试管架上。
【漏斗架】用于安放漏斗,进行过滤操作。一般为木制架可以根据漏斗颈的长短,进行升降,以利实验的操作。没有漏斗架时,可以在铁架台上配上合适的圆铁环进行操作。
【试管夹】用于夹持试管进行简单加热的实验。一般为竹制品。夹持试管时,试管夹应从试管底部套入,夹于距试管口2~3厘米处。在夹持住试管后,右手要握住试管夹的长臂,右手拇指千万不要按住试管夹的短臂(即活动臂),以防拇指稍用力造成试管脱落打碎。
【滴定管夹】夹持滴定管用的夹子。滴定管夹固定在铁架台上。滴定管夹两边可各固定一支滴定管。进行中和滴定。滴定管夹与滴定管接触的部位,最好套上一段软橡皮管,防止滴定管被夹破和脱落。
【坩埚钳】夹持坩埚和坩埚盖的钳子。也可用来夹持蒸发皿。当夹持热坩埚时,先将钳头预热,避免瓷坩埚骤冷而炸裂;夹持瓷坩埚或石英坩埚等质脆易破裂的坩埚时,既要轻夹又要夹牢。

【弹簧夹】用以夹紧橡皮导管,使之不漏气体或液体。
【螺旋夹】靠旋进或旋出螺旋,以压紧或放松橡皮导管,来控制气体或液体的流量。如给患者输液时导管上就要安装螺旋夹,以控制输液速度。
【启普发生器】用于不溶于水的块状固体与液体反应(反应不需加热)制取气体的装置,其最大优点在于通过控制排气节门,根据需要可随时使反应发生,也可随时停止反应。使用前,应先检验各部分连接处是否漏气,玻璃磨口处和玻璃旋塞处应涂极薄一层凡士林。放置固体时先卸去上面的球形漏斗将发生器横置桌上,将块状固体放于中部球内,约占中部球容积的1/3,再插入球形漏斗,然后将发生器竖直。球形漏斗与发生器底部半球接合处可预垫橡皮圈,以避免小块固体落入半球内。加入液体试剂时,先打开排气节门,从球形漏斗口加入的液体先注入到半球内,液面不断上升,至浸没固体时即可。然后关闭排气节门,发生反应产生的气体不能排出,造成足够的压力,将液体自中间的球部和下面的半球部沿漏斗颈压回到球形漏斗内一部分,使固液分离,不再继续反应,需要制取气体时,只要打开排气节门,发生器内气体排出,压强减小,液体便沿漏斗颈流入半球,液面上升到中间球部与固体反应继续产生气体。若产生的气体是易燃易爆的,在收集或者在导管口点燃前,必须检验气体的纯度。
【冷凝器】通过热交换原理用冷水将热蒸气冷却冷凝成液体的一种玻璃仪器。在蒸馏和分馏的有关实验中,常与蒸馏烧瓶一起配合使用,如实验室进行石油分馏操作的实验,冷凝器一端与蒸馏烧瓶的支管相连接,另一端与接受器相连接。石油馏分进入冷凝器内管,而冷水自冷凝器下口进入,逆流而上,从上口处流出,冷水走向与石油馏分走向相反。在化工生产上称作逆流原理,冷却效果好。
冷凝管可分为三种。一种内管为直形的;一种内管是连续球形的;还有一种内管呈螺旋状的,也称蛇形的。球形的和蛇形的冷却效果好。

【干燥管】常与气体发生器一起配合使用。欲收集干燥的气体,使用时其大口一端与气体输送管相连。球部装粒状干燥剂,如无水氯化钙和碱石灰等。
【U形管】可用作干燥器,内装粒状干燥剂,两边管口连接导气管;也可用作电解的实验的容器,内装电解液,两边管口内插入电极;还可用作洗气或吸收气体的装置。
【滴管】吸取少量液体的工具。为了控制液滴的大小,常制成大小口径不等的尖嘴。使用时,尖嘴向下,不可平拿或尖嘴向上,以免液体流入橡皮帽内,造成液体的污染和橡皮帽的腐蚀,往容器内滴入液体时,滴管尖嘴不能接触容器。不同的液体要用各自的滴管,不能混用,以免互相污染。在半微量分析中,常用滴管分离溶液与沉淀,洗涤沉淀和滴加试剂,滴管尖端应该细而长,便于插入离心试管底部吸取溶液。

【表面皿】亦称表玻璃。某些反应可以在表面皿上进行,用来检验试样与试剂作用而生成的气体。两块表面皿扣在一起可组成“气室”,进行气体与某种试剂呈现一定颜色的反应,既简便又易于观察。还可作为蒸发皿和烧杯的盖子。不能直接用火加热。
【洗气瓶】常与气体发生器和气体收集装置一起配合使用。作为洗气瓶使用时,内装洗涤气体用的试剂,净化气体,除去杂质。
【洗瓶】有细口塑料瓶装置成的洗瓶和平底烧瓶装置成的洗瓶。内盛蒸馏水,一些实验器皿用洗液自来水等洗涤后,再用洗瓶以蒸馏水冲洗。洗瓶还可用来洗涤结晶或沉淀,以除去杂质。塑料制洗瓶不易破碎,制作简单。
【点滴板】点滴板多为白瓷上釉制品,其大小规格和凹槽的多少不等,可用于简单比色、比浊分析。反应在凹槽内进行。少数凹槽呈黑色或蓝色,适用于生成白色沉淀;若生成的沉淀是有色的,应使用白色凹槽。
【离心机】有手摇离心机和电动离心机两种。将离心试管放入金属套管中,在其相对的金属套管中放入同样的试管和等量的水,保持平衡。使用手摇离心机时,开始应缓慢摇转,逐渐加快。1~2分钟后,可放手停摇,使其自然停止转动。
【研钵】用于研磨固体物质,使之成为粉末状。有玻璃、白瓷、玛瑙或铁制研钵。与杵配合使用,口径有

【药匙】有牛角、瓷质和塑料质三种,两端各有一勺,一大一小。药勺用于取固体药品,根据药品的需要量,可选用一端。药匙用毕,需洗净,用滤纸吸干后,再取另一种药品。

【试管刷】可分为试管刷、滴定管刷和烧瓶刷等。可根据试管的大小选用合适的试管刷。在刷洗试管和烧瓶时,不应用力过猛,以免撞破管底和瓶底。试管刷的骨架是铁丝,使用时不能浸在酸液中。
【酸度计】又称“pH计”。利用直接电位法测定溶液pH值的一种较精密的电子仪器。它是以pH玻璃电极作氢离子的指示电极,甘汞电极作参比电极,浸入溶液中,组成电池,测量电池电动势。这一对电极在溶液中所产生的电位差值与溶液中的氢离子浓度有关。若保持参比电极的电位恒定,则指示电极的电位随溶液的氢离子浓度而改变。与该电位差值相应的pH值,直接在仪表上读出来。常用于溶液酸度的测定。
【量热计】又称“卡计”或“量热器”。系测量体系在变化过程中(包括物理的或化学的)释放或吸收的热量的仪器。在化学中主要用于测量化学反应的热效应。将反应器浸入充满某种介质的绝热容器中,若反应放热,则所释放的热量传于介质,当介质的量和热容为已知时,只需准确测量介质温度的变化,即可求算出反应所释放的热量。
【施光计】测量偏振光通过旋光性物质后其偏振面旋转一定角度(即旋光度)的仪器。主要构成部分为起偏镜和检偏镜。光线从光源经过起偏镜形成偏振光,再经过盛有旋光性物质的旋光管时,因物质的旋光性使偏振光不能通过检偏镜,必须将检偏镜转动一定角度,偏振光才能通过。检偏镜所转动的角度,即为该旋光性物质在此浓度下的旋光度。旋光度与物质的种类、溶液的浓度、液层的厚度以及偏振光的波长等因素有关。在大多数情况下,旋光度的大小与旋光性物质的含量成正比,利用这种性质,测定其旋光度,可以确定旋光性物质的纯度和含量。
【粘度计】用于测量流体(液体和气体)粘度的仪器。粘度是表示流体在流动时,流体内部发生内摩擦的物理量,是流体反抗形变的能力,是用来鉴定某些成品或半成品的一项重要指标。粘度随流体不同而不同,随温度变化而变化。主要有毛细管粘度计,旋转粘度计和落球粘度计三类。
【折光计】为测量液态化合物的折光率的仪器。光在两个不同介质中的传播速度是不相同的。光线从一个介质进入另一个介质,当它的传播方向与两个介质的界面不垂直时,则在界面处的传播方向发生改变。这种现象称为光的折射现象。一个介质的折光率,就是光线从真空进入这个介质时的入射角和折射角的正弦之比。也就是光线通过真空时与通过介质时的速度之比。实际测定时是以空气作为比较标准。折光率是液态有机物最主要的物理常数之一。可作为液态物质纯度的标准,还可用来鉴定未知物。物质的折光率不仅与它的结构和光线波长有关,而且也受温度、压力等因素的影响。通常使用的折光计为阿贝折光计。
【比色皿】在光电比色计中盛比色溶液的器皿。系用无色透明的光学玻璃制作的。通常是长方形。一般配有厚度为0.5、1、2、3和5厘米的一套比色皿。使用时,是将试样溶液和标准溶液置于两个厚度相等的比色皿中进行比色。
【比色管】系用无色优质玻璃制成的平底圆管,管壁有标线以指示其容量,有25、50和100毫升等数种。配有磨口塞或塑料塞,目视比色中的标准系列法是在一系列比色管中进行的。选择一套质量、大小和形状相同的比色管,放在特制的比色管架上进行比色。

【光电比色计】进行光电比色测定所用的仪器。用光电池或光电管代替人的眼睛,测量透过有色溶液后透过光的强度的仪器。一般是由光源、滤光片、比色皿、光电池和检流计等五个部件组成的。比色计都附有聚光透镜,其作用是使从光源发出的光变成平行光束通过滤光片和比色皿内的有色溶液,并使透过光投射到光电池上,产生光电流。在一定条件下,光电流的大小与透过光的强度成正比,其数值用灵敏检流计测量,在检流计的读数标尺上,根据光标的移动,可直接读出相应的百分透光度(T%)和吸光度(A)。由于在一定条件下,溶液的吸光度与其浓度成正比,故一般读取吸光度。此法只能对有色溶液进行定量测定。与目视比色法比较,主观误差较小,准确度较高。
【分光光度计】用于分光光度法分析中。与光电比色法相比,分光光度法是采用棱镜或光栅等分光器,获得纯度较高的单色光,因而其测定的灵敏度、选择性和准确度都比光电比色法高。所用的仪器是分光光度计。分光光度计的测量范围不再局限于可见光区,而是扩展到紫外区和红外光区。
【电烘箱】利用电热丝加热或烘干物料的器具。用于干燥玻璃仪器或烘干无腐蚀性、加热时不分解的药品和试样。由温度计及温度调节器测量与控制箱内温度。顶上有排气孔用以排出蒸发的气体。使用温度范围为100°~
【马弗炉】实验室常用的利用电热丝加热产生高温的器具。用于灼烧坩埚、沉淀以及使滤纸灰化等。炉膛是长方体。有一炉门,用以放入或取出坩埚等容器,由高温计及温度控制器测量并控制炉内温度。最高使用温度为
【高温计】测量马弗炉和管式电炉炉内温度的仪器。由一副热电偶和一只毫伏表组成。热电偶是两根不同的金属丝焊接一端制成的,如一根是镍铬丝,另一根是镍铝丝。把未焊接在一起的那一端连接到毫伏表的(+)、(-)极上。将热电偶的焊接端伸入炉膛中,炉子温度愈高,金属丝发出的热电势也愈大,反映在毫伏表上,指针偏离零点也愈远。从而指示出炉内的温度。
【温度控制器】控制马弗炉和管式电炉炉内温度的仪器。把高温计的热电偶和一只接入线路的温度控制器连接起来,待炉温升到所需温度时,控制器就把电源跳开,使炉子的电热丝断电停止工作,炉温就停止上升。由于炉子的散热,炉温稍低于所需温度时,控制器又把电源接通,使电热丝工作而炉温上升。不断交替,就可把炉温控制在某一温度范围内。
【微孔玻璃坩埚】重量分析中用以进行过滤、烘干、称量的一种玻璃坩埚。这种过滤器皿的滤板是用玻璃粉末在高温下熔结而成的。按照微孔的大小分为六级,1号的孔径最大,6号的孔径最小。根据沉淀颗粒的大小可适当选择。过滤时需用抽滤法。在分析操作中,用以处理不能高温灼烧或避免使用滤纸过滤的沉淀。如果沉淀不需称量,则可用微孔玻璃漏斗过滤。微孔玻璃滤器不能过滤强碱性溶液,因为强碱性溶液能损坏玻璃微孔。
【波美计】又称波美表。用以量度液体的相对密度。和比重计一样,有重表和轻表。两波美比重计刻度间隔较大,表示波美度的数值也较大,因此读数方便。在生产上常用波美度表示溶液的浓度。
【贝克曼温度计】系水银温度计的一种。与普通水银温度计的主要区别是:在与水银球连接的毛细管上端加装了一个水银贮管,内装一定量的水银,用来调节水银球中的水银量,可在不同的温度范围内应用。主要特点是:
⑴刻度精细,一般刻线间隔为
⑵量程短,一般只有5~6℃的刻度;
⑶水银球中的水银量可变,故水银柱的刻度值不是温度的绝对读数,只能在量程范围内测出温度差(△T);
⑷使用前须根据使用温度和量程调节水银球中的水银量,主要用于量热技术,如冰点降低,沸点升高,燃烧热等测量。
【电光天平】指双盘电光分析天平。它是在阻尼天平的基础上改进而制成的。比阻尼天平增加了两个装置。一个是机械加码装置,即砝码的加减由指数盘(加码字盘)操纵,将片码制成环形或马蹄形,挂在固定的钩子上,称为环码或骑码。旋动指数盘带动操纵杆自动将环码加上或取下。大小砝码全部由指数盘操纵的称为全自动电光分析天平;只有
【阻尼天平】即“空气阻尼天平”。主要部件是天平横梁,呈三角形,用质轻坚固、膨胀系数小的铝铜合金制成,起平衡和承载物体的作用。横梁上装有三个三棱形的玛瑙刀,其中一个装在正中的称为中刀或支点刀,刀口向下,另外两个与中刀等距离的分别安装在梁的两端,称为边刀或承重刀,刀口向上。三个刀口必须完全平行且位于同一水平面上。横梁两端的承重刀上各悬挂一个吊耳,吊耳上钩挂称盘;下钩挂空气阻尼器的内盒。阻尼器由两个铝制的圆筒形盒组成,外盒固定在天平柱上,内盒比外盒略小,两盒间隙均匀,没有摩擦。当梁摆动时,内盒在外盒内自由地上下移动,利用盒内空气阻力使之很快停止摆动而达到平衡,以加快称量速度。一般可准确称量至0.1~0.2毫克,最大载重为
三、化工常识
【硅酸盐工业】生产以硅酸盐为主要成分的玻璃、水泥、陶瓷、搪瓷等材料和各种成品的工业部门。现在还包括以难熔的氧化物、硅化物、碳化物和硼化物为原料的高温材料、无线电陶瓷、磨料等产品的生产。硅酸盐材料与金属、高分子材料并列为现代三大重要材料。
【硅酸盐水泥】又称普通水泥或波特兰水泥。由粘土质和石灰质原料混和研成粉末,经煅烧而成的一种水硬水泥。为降低凝固速度,常掺入少量石膏。这种水泥广泛用于建筑工程。
【水泥】粉状的矿物质胶凝材料,主要是硅酸盐水泥,组成硅酸盐水泥的主要化合物有:硅酸三钙(3CaO·SiO2)、硅酸二钙(2CaO·SiO2)、铝酸三钙(3CaO·Al2O3)、铁铝酸四钙(4CaO·Al2O3·Fe2O3)。此外,还有矿渣硅酸盐水泥、火山灰质硅酸盐水泥、高铝水泥、膨胀水泥、白水泥等。水泥广泛用于建筑、土木、水工、国防等工程。水泥的质量或强度指标,通常用水泥标号来表示。
【水泥标号】水泥的强度等级。是1∶3(一分重量水泥三分重量标准砂)硬炼砂浆在标准条件下经过28天后的极限抗压强度。我国有200、250、300、400、500、600等标号。标号的推算是以19136.3~29321.9千帕(即200~299千克力/厘米2)的抗压强度作200号级,余类推。
【陶瓷】由粘土、长石和石英等无机物质的混和物经成型、干燥、烧成而得的制品的总称。包括土器、陶器、炻器和瓷器等。有些能耐水,有些还能耐酸。广泛用于建筑、化工、电力、机械等工业以及日用和装饰等方面。现在还包括用其他原料按照陶瓷制造工艺制成的制品,如金属陶瓷、磁性陶瓷等。
【玻璃】由熔体过冷而成的具有固体状态的无定形体,一般脆而透明。最常见的是硅酸盐玻璃,其中最普通的是钠钙玻璃,它主要由二氧化硅、氧化钙和氧化钠组成。以石英砂、长石、纯碱和石灰石为主要原料,经熔融、澄清、匀化后,加工成型而得玻璃制品。若用纯石英作原料,制得的是石英玻璃,化学性质稳定、光学性质十分优越。此外,还有以硼酸盐、磷酸盐、氟化物为主的玻璃和含有钛、锆、锗、钒、锑等氧化物的特种玻璃等。玻璃广泛用于建筑材料、照明材料、生活用品、包装用品以及科学技术等方面。
【玻璃棉】呈絮状的短玻璃纤维。有优良的热绝缘性和吸音性,一般能耐
【玻璃纤维】由熔融玻璃吹成或拉成的纤维。直径由几微米到几十微米不等。可制成长纤维和短纤维,分别称玻璃丝和玻璃棉。玻璃纤维及其制品广泛用作绝缘材料、吸音材料和建筑材料等。
【水煤气】主要由氢气和一氧化碳组成,还有少量的二氧化碳等。热值大约是10450千焦/标准立方米。可用作燃料,或用作合成氨、合成石油、合成甲醇等的原料,也可用于羰基合成。水煤气一般由水蒸汽和赤热的无烟煤或焦炭在煤气发生炉中作用而产生;有用蒸汽和空气轮流吹入的间歇法,还可用蒸汽和氧气一起吹入的连续法。
【发生炉煤气】主要成分有氮气、一氧化碳、一定量的氢气和二氧化碳等,其中氮气占50%以上。主要用于炼钢炉、玻璃窑炉、炼焦炉等的加热,也可用作锅炉等的燃料,或与水煤气混和作为合成氨、甲醇的原料气。制取时用空气(或氧气)和少量的蒸汽将煤和焦炭等固体燃料,放入煤气发生炉中,使它们气化,即产生发生炉煤气。
【半水煤气】是水煤气和发生炉煤气的混和体。这种煤气与普通水煤气相比热值较低。一般用作合成氨的原料气(这种煤气在除去氧气、一氧化碳、二氧化碳、硫化氢等杂质后,氢气与氮气的组成约为3∶1)。也可用作燃料。
【高炉煤气】高炉炼铁时所产生的煤气。含有约25~28%的一氧化碳,大量的氮气和二氧化碳及少量的氢气等,热值很低,可用作锅炉燃料等。
【焦炉煤气】简称焦炉气。煤在炼焦炉中进行干馏所产生的煤气。主要成分是氢、甲烷和一氧化碳,也含少量的乙烷、乙烯、氮气和二氧化碳等。热值约为17150~20920千焦/标准立方米。是一种高热值燃料。可用于炼焦炉、炼钢炉等的加热,用作城市煤气,经加工后也可作合成氨和有机合成等工业的原料。
【液化石油气】主要是指在石油加工过程中产生的低分子量烃类气体经压缩而成的液态物质。主要成分是丙烷、丙烯、丁烷、丁烯。用作石油化工原料。也可用作燃料,有冬用和夏用两种。
【天然气】蕴藏在地层内的可燃性气体。除含少量的氮气、二氧化碳或硫化氢等杂质外,主要是低分子量烷烃的混和物。有干天然气和含油天然气两种。干天然气的主要成分是甲烷,可用作燃料或作制造炭黑、合成氨、合成石油、甲醇和其他有机化合物的原料。含油天然气含较大量的乙烷、丙烷、丁烷和戊烷等,可用于裂解制取乙烯或经压缩制成液化天然气,也可直接用作燃料。有的天然气含有氦气,含氦较多的天然气可用于提取氦气。
【沼气】由植物残体在与空气隔绝的情况下自然分解而产生的气体。因常从沼泽底部发生而得名。此外,粪便或垃圾等经发酵也能生成沼气。在农村,农户自办沼气池,用沼气作为燃料及照明,发酵过的树叶、草、秸杆等又是很好的肥料。沼气的主要成分是甲烷,含少量二氧化碳、氮气等。
【气体燃料】能产生热量或动力的用作燃料的气体。一般含有低分子量的碳氢化合物、氢气及一氧化碳等可燃性气体。气体燃料种类很多,天然的有天然气、沼气等,人造的有焦炉煤气、水煤气、发生炉煤气、高炉煤气、石油气等。在现代工业中,气体燃料还广泛地用作原料。
【高能燃料】一般指比推力大于2450秒·牛顿/千克的火箭燃料。例如液态氢(与氧化剂液态氟)和肼(与氧化剂液态氯)等。用于火箭和导弹的动力燃料。
【水的硬度】反映水含盐特征的一种质量指标。水中所溶解的盐类一般是钠盐、钙盐、镁盐较多,在使用上钠盐在许多情况下没有或极少有直接的影响。而钙盐、镁盐的影响则很显著。钙盐、镁盐含量多的水称为硬水,含量少的水称为软水,表示水的软硬程度的指标称为水的硬度。水的硬度表示方法有几种,一般以1百万份水中含有1分CaCO3(即1ppm)为1度;也有以
【水的软化】用人工的方法降低硬水的硬度的过程。软化硬水的主要方法有:
⑴加热法,以除去暂时硬度。
⑵石灰纯碱法,用石灰降低碳酸盐的硬度,用纯碱降低非碳酸盐的硬度。
⑶离子交换法,用离子交换剂除去钙、镁离子。
【离子交换剂】能与溶液中的阳离子或阴离子进行离子交换的物质。无机离子交换剂有沸石、磷酸锆等;有机离子交换剂有磺化煤和各种离子交换树脂。一般离子交换剂不溶于酸、碱和多种溶剂。使用后交换性能逐渐消失,可通过处理使其恢复交换性能。离子交换剂在工业上用于硬水的软化以及抗菌素、稀土元素、氨基酸等的分离和提纯。
【离子交换树脂】分子中含有活性基因而能与其他物质进行离子交换的树脂。通常分为阳离子交换树脂和阴离子交换树脂。阳离子交换树脂是含有磺酸基(-SO3H)或羧基(-COOH)等酸性基团的非水溶性的合成树脂,其酸性基团的氢离子能够跟其它阳离子进行交换。阴离子交换树脂是含有氨基(-NH2)或羟铵基(-NR3OH)等碱性基的非水溶性合成树脂,能够进行阴离子交换。离子交换树脂使用后逐渐失去效力,可经过处理使其恢复效力。离子交换树脂可用于硬水的软化、海水脱盐、金属离子的回收,以及其他各种用途。
【阳离子交换树脂】见离子交换树脂条。
【阴离子交换树脂】见离子交换树脂条。
【熔盐电解】以熔融态盐类为原料的电解方法。常用于制取不能由水溶液制备的金属,如碱金属、碱土金属以及钍、钽、混和稀土金属的生产。有时为降低熔体的熔点,节省电能,需加入一定量的助熔剂。例如电解熔盐氯化钠制备金属钠时,要加入氯化钙或氯化钾。
【氯碱工业】用电解食盐水的方法制造烧碱和氢气和氯气的工业。经精制的饱和食盐水,在电解槽中通以直流电,即发生电解反应,当用铁丝网做阴极时,电极反应的结果是:阳极上放出氯气,阴极放出氢气并在阴极区形成烧碱溶液。目前工业上普遍使用隔膜式电解槽,用汞阴极电解槽可获得高纯度的烧碱。
【电解食盐水】见氯碱工业条。
【苛化法制碱】制烧碱的方法之一。在纯碱(碳酸钠)溶液中加入石灰乳(主要成分是氢氧化钙),使之发生苛化反应,生成烧碱和碳酸钙。滤去不溶物和碳酸钙沉淀后,蒸发滤液就可得到液体或固体烧碱。所得烧碱纯度较高,但需消耗纯碱。
【接触法制硫酸】硫酸的主要工业制法。以硫黄或含硫矿石(硫铁矿等)为原料,经破碎、混和等预处理后,送至沸腾炉中进行焙烧而生成二氧化硫(浓度一般为7~13%)。然后经除尘、净化和用93%浓硫酸干燥后通入装有催化剂(常用钒催化剂)的转化器中,在常压和440~600℃下使二氧化硫氧化成三氧化硫。再经98.3%的浓硫酸吸收而得到成品硫酸。用此法可直接得到98%以上的浓硫酸和发烟硫酸。
【亚硝基法制硫酸】又称硝化法,是比较古老的硫酸生产方法。以硫黄或含硫矿石为原料,在焚烧炉中燃烧成二氧化硫,经除尘净化后与硝酸蒸气混和,使二氧化硫氧化成三氧化硫,然后用水或稀硫酸吸收而得成品硫酸。硝化法有铅室法和塔式法两种。早期采用铅室法,耗铅量大,成品酸浓度仅有65%,后为塔式法代替,成品酸浓度可达75%。现代硫酸的生产主要是采用接触法。
【氨氧化法制硝酸】硝酸的主要工业制法。使氨气和空气(或富氧空气)的混和气在1033~1113K时通过催化剂层(有含5~7%铑的网状铂催化剂,以氧化铁为主体的Fe2O3·Bi2O3和以氧化钴为主体的CoO·Al2O3的非铂催化剂),氨被氧化为一氧化氮,一氧化氮很容易继续氧化,生成二氧化氮,然后被水吸收可得浓度为45~60%的稀硝酸。生产工艺有常压法、加压法、联合法三种。浓硝酸可由稀硝酸加浓硫酸分馏浓缩而得,也可用硝酸镁代替浓硫酸作脱水剂在浓缩塔中将硝酸蒸出。还可用氮的氧化物、氧气和水直接合成浓硝酸。
【氨碱法制碱】又称索尔维法。是比利时工业化学家索尔维(Ernest Solvay)首先发明的纯碱工业制法。以食盐、石灰石(经煅烧生成生石灰和二氧化碳)和氨为原料。先使氨通入饱和食盐水中制成氨盐水,再通入二氧化碳以发生碳酸化反应,析出碳酸氢钠固体和含氯化铵的母液;经过滤、洗涤后,将碳酸氢钠煅烧得到产品纯碱。滤液中含大量的氯化铵,与石灰乳混和,加热产生的氨以及煅烧碳酸氢钠时产生的二氧化碳都可循环使用。此法氯化钠的利用率仅为72~74%左右,同时有大量的氯化钙作为废液排出,未加以利用。
【索尔维制碱法】见氨碱法制碱条。
【联合制碱法】又称侯氏制碱法。是我国化工专家侯德榜首先提出的。此法是将氨碱法与合成氨联合同时制造纯碱和氯化铵的生产方法。以食盐、氨和二氧化碳(合成氨生产的副产品)为原料,将氨和二氧化碳先后通入饱和食盐水中,生成碳酸氢钠沉淀,经过滤、煅烧而得纯碱。在滤液中,再通入氨并加食盐使所含的氯化铵析出,经过滤干燥而得氯化铵。所得滤液再通入氨和二氧化碳循环使用。与氨碱法相比此法的优点是:氯化钠的利用很高可达96%以上,同时避免产生大量含氯化钙的废液,并可省去一些设备。
【侯氏制碱法】见联合制碱法条。
【合成氨】工业上固定大气中游离态氮的主要方法。以空气、水、煤、石油或天然气等为原料,得到精制的体积比为1∶3的氮氢混和气,然后在一定的压力和温度下通过装有催化剂(多用铁催化剂)的合成塔,使部分氮气和氢气直接化合成氨,然后将氨分离,尚未化合的氮气和氢气再随新的氮氢混和气送回合成塔循环使用。合成氨时的温度一般在693~823K(420~550℃)由于合成时的压力不同分为:高压法,压力是70927.5~101325千帕(700~1000大气压);中压法,压力是20265~35463.75千帕(200~350大气压);低压法,压力是15198.75千帕(150大气压)左右。
【合成盐酸】用氯气和氢气直接合成氯化氢,再用水吸收而得到盐酸的工业生产。合成氯化氢在钢板制成的合成炉中进行。炉的下端接有由两根同心钢管组成的燃烧器,氯气走内管,氢气走外管,氢气在氯气中燃烧时即化合成氯化氢,由炉上部导出,冷却后送往吸收塔被水吸收成盐酸。
【石油工业】是以石油、油页岩、天然气等为对象,进行地质勘探、钻井、开采、炼制等作业,为发展国民经济的需要而提供动力燃料、润滑油类、化工原料等的重要工业部门。
【石油化学工业】一般是指以石油和天然气为原料的化学工业。原油中的馏分经过裂化、裂解、重整和分离等过程可提供重要的有机化工原料,如乙烯、丙烯、丁烯、丁二烯以及苯、甲苯、二甲苯等。从这些基本原料出发,经过各种化学反应又可得到乙醇、乙醛、醋酸、丙酮、苯酚等基本有机原料。这些原料经过合成和加工,又可得到各种材料和产品,如树脂、橡胶、塑料及粘合剂、医药、染料、涂料、溶剂等。天然气的主要成分甲烷可直接用于制造炭黑、甲醇、甲醛、乙炔,这些物质可用来生产颜料、橡胶补强剂、合成树脂、致冷剂、溶剂、火箭燃料、洗净液、醋酸、水溶性涂料等。
【炼铁】在高炉内从矿石中冶炼生铁的过程。将一定比例的矿石、焦炭和熔剂(石灰石)投入高炉,由风口鼓入热空气进行熔炼。炉内主要发生三个方面的变化:⑴除去铁矿石中的氧,使铁还原出来;⑵熔化的脉石与熔剂构成炉渣;⑶铁吸收碳,发生渗碳作用,形成生铁。
【炼钢】由生铁冶炼各种规格的钢的过程。生铁是铁和碳的合金。炼钢是根据所炼钢种的技术要求,将生铁中的碳降到规定的范围,并使其它元素的含量减少或增加到规定范围。炼钢的主要方法有平炉炼钢法、氧气顶吹转炉炼钢法和电炉炼钢法等。
【炼焦】将煤等干馏形成焦炭的过程。根据最终温度,有高温炼焦[1173~1373K(800~1100℃)]、中温炼焦[873~1023K(600~750℃)]和低温炼焦[773~853 K铝督梗*500~580℃)]。主要产品是焦炭,还有煤焦油和焦炉煤气等副产品。
【区域熔炼】是利用杂质在材料的固态和液态中溶解度的差别,使杂质析出或改变其分布的一种方法。一般采用加热的方法,先使较长的锭状材料一端熔化,形成一个狭窄的熔区,杂质一般使纯物质的熔点降低。随着熔区的移动,已熔部分重新凝固,由于杂质在处于平衡状态时的固态材料和液态材料中的溶解度有差别,因而能使杂质也发生移动而富集于锭的一端,纯物质则向相反方向移动而富集于另一端。这种方法用于材料提纯时也称区域提纯,主要用于制取半导体材料,也用于某些金属和化合物的提纯。
【区域提纯】见区域熔炼条。
【直馏法】用于石油原油的直接蒸馏。将原油先在管式炉中加热,再通入精馏塔内,使分离为直馏汽油、煤油、柴油和重油等产品。小规模的直馏也可在简单的蒸馏釜中进行。
【精馏】又称分馏。蒸馏方法的一种。用于分离几种沸点相差不大的液体混和物。在一个设备里同时进行多次部分气化和部分冷凝,以分离液体混和物中的组分。如用精馏法从石油原油中分离出汽油、煤油、润滑油及其它石油产品;从液态空气中分离出氧气、氮气、稀有气体。
【馏分】一般是指精馏或分馏操作中将塔顶或其他指定部位逸出的蒸气冷凝而得的馏出部分(主要是液体)。通常称沸点较高的馏出部分为重质馏分,沸点较低的称为轻质馏分。
【焙烧】在空气流中加热矿物或其他固体物料时有氧气参与反应的高温化学过程。通常是指高温处理金属硫化物矿使其转化为金属氧化物和含硫气体的操作。如焙烧黄铁矿得到氧化铁和二氧化硫。
【煅烧】一般是指在不熔化和氧不参与反应的条件下将物料加热到高温,使其中的水合物、碳酸盐或其他化合物发生分解并排出挥发物的过程。如煅烧石灰石时,CaCO3分解,放出二氧化碳,生成生石灰。
【沸腾焙烧炉】应用固体流态化技术以提高生产强度的一种焙烧炉。炉体可分为上下两部分,下部是空气室,中间隔着一个气体分布装置,上部是炉膛(包括沸腾层和上部焙烧空间)。矿粒在炉内被气流带动而呈“沸腾”状态,发生激烈的焙烧反应。它的最大优点是反应速度快、生产强度大。广泛应用于煤的气化和各种矿石的焙烧。如在硫酸生产中焙烧黄铁矿。
【高炉】通常指炼铁高炉,一种高大的立式熔炼炉。以焦炭作燃料和还原剂,石灰石作熔剂,与铁矿石一起投入炉内,在高温条件下铁矿石被还原为生铁,脉石则与熔剂反应形成炉渣。定时分别排出炉渣和铁水。焦炭燃烧所需空气由鼓风机通过热风炉预热后送入。
【转炉】利用鼓入的空气、纯氧等以氧化液态金属中的杂质,并产生所需热能的可转动的冶金炉。炉体分梨形、直桶形和鼓形等几种。按炉衬的化学性质分酸性转炉和碱性转炉。按风眼或供氧管的位置,分为底吹转炉、侧吹转炉和顶吹转炉等。在金属的熔炼炉中,炼钢的称为转炉、炼有色金属的称为吹炉。
【热交换器】又称换热器。借两种流体间的热量交换而实现加热或冷却等目的的设备。一般具有固体间壁隔开不同温度的流体。结构形式很多,有列管式、套管式、极式换热器等,此类换热器称为表面式换热器。也有使两种流体在器内直接接触而进行热交换的,称为直接式或混和式换热器。还有使热流体和冷流体交替通过热交换器的,称为蓄热器或蓄热式换热器。也可按使用目的将其分为加热器、冷却器和冷凝器等。
【吸收塔】用于进行吸收操作的设备。为气液两相提供大的接触面积,以使液相吸收剂吸收混和气中易溶的气相物质。塔内有多种结构型式,常用的有填料塔、泡罩塔、浮阀塔、泡沫塔、筛板塔等。一般混和气体由塔下部进入,液相吸收剂自塔顶部往下喷淋,气液两相有较大的接触面积,有利于被吸收的组分由气相进入液相,达到吸收分离的目的。
【精馏塔】又称分馏塔。是进行精馏操作的设备。所有的精馏塔顶都必须有回流装置,用来引回一部分冷凝液(回流液),以维持塔内气液传质过程的正常进行。塔的类型主要有填料塔和板式塔两类,后者有泡罩塔、浮阀塔、筛板塔、浮舌塔、浮动喷射塔等。
【莫氏硬度】德国矿物学家莫斯(Mohs)提出的一种表示矿物硬度的标准,也用于表示其他物体的硬度。莫氏硬度共分十级,用测定划痕深度的方法确定:滑石1(硬度最小),石膏2,方解石3,萤石4,磷灰石5,正长石6,石英7,黄玉8,刚玉9,金刚石10。
【波美度】表示溶液浓度的一种方式。用波美比重计浸入溶液中所测得的度数来表示溶液的浓度。用°Be'(Baume'的缩写)作符号。例如在

【烟】指一种分散相为固态的气溶胶。如铅烟、煤烟。
【雾】指一种分散相为液态的气溶胶。分散相是极微小的液滴,液滴表面又包着一层蒸气薄膜,悬浮于气相介质中。如硫酸雾。
【烟雾】指分散相是固液混和态的气溶胶,具有烟和雾的两重性。
四、环境
【环境】环境科学研究的环境是指围绕着人类的空间,及其中可以直接、间接影响人类生活和发展的各种自然因素的总体,还包括有关的社会因素。
【环境保护】采取行政的、法律的、经济的、科学技术的多方面措施,合理地利用自然资源,防止环境污染和破坏,以求保持和发展生态平衡,扩大有用自然资源的再生产,保障人类社会的发展,叫做环境保护。
【生态系统】由生物群落及其生存环境共同组成的动态平衡系统。
【生态平衡】生态系统发展到成熟阶段,它的结构和功能,包括生物种类的组成、各个种群的数量比例以及能量和物质的输入、输出等都处于相对稳定的状态,这种状态称作生态平衡,又称自然平衡。
【环境污染】主要是人类活动所引起的环境质量下降而有害于人类及其它生物的正常生存和发展的现象。自然过程引起的同类现象称为自然灾变或异常。
【大气污染】大气中污染物或由它转化成的二次污染物的浓度达到了有害程度的现象。
【水体污染】主要是由于人类活动排放的污染物进入河流、湖泊、海洋或地下水等水体,使水和水体泥的物理、化学性质或生物群落组成发生变化,从而降低了水体的使用价值,这种现象称为水体污染。
【土壤污染】人类活动产生的污染物进入土壤并积累到一定程度,引起土壤质量恶化的现象。
【污染物】进入环境后使环境的正常组成和性质发生直接或间接有害于人类的变化的物质。这类物质有的是自然界释放的,有的是人类活动产生的。
【一次污染物】由污染源直接排入环境的、其物理和化学性状未发生变化的污染物,或称原发性污染物。
【二次污染物】由一次污染物转化而成,排入环境的一次污染物在物理、化学因素或生物作用下发生变化,或与环境中的其它物质发生反应所形成的与一次污染物不同的新污染物,又称继发性污染物。二次污染物对环境和人体的危害通常比一次污染物严重,例如无机汞化合物通过微生物的作用转变成的甲基汞化合物,对人体健康的危害比汞和汞的无机化合物的危害要大得多。
【氟污染】指含氟化合物对环境的污染。氟污染物主要是氟化氢和四氟化硅,主要的污染源是炼铝、磷肥、钢铁、有机氟、铀分离等工业的排放物,此外煤的燃烧也会排放大量含氟废气。氟化物可经人畜口摄入,也可由呼吸道摄入。高浓度氟污染(如氟化氢)可刺激皮肤和粘膜,低浓度氟污染对人畜的危害主要为牙齿和骨骼的氟中毒,氟还具有破坏原生质及抑制内分泌的作用。氟污染也可使植物中毒。
【硫污染】指含硫化合物对环境的污染。硫污染物主要有二氧化硫(SO2)、三氧化硫(SO3)、硫化氢(H2S)、甲硫醇(CH3SH)、二甲硫醇(CH3SCH3)、二甲二硫醇(CH3SSCH3)及硫酸盐等。硫的氧化物能形成酸雾及酸雨,不仅危机人、畜、植物,还能腐蚀金属制品及其它建设材料。硫化氢能引起眼结膜炎,进入血液后生成硫化血红蛋白而使人体中毒。
【铬污染】指含铬化合物对环境的污染。铬污染物主要有六价铬,如CrO42-、Cr2O72-离子,三价铬Cr3+也对人体有害,一般认为六价铬毒性强,更易被人体吸收,并可在体内蓄积。铬是人和动物必需的一种微量元素,但如含铬过多,对人和动植物都是有害的。铬的污染源主要是铬铁冶炼、耐火材料、电镀、制革、颜料、化工等生产及燃料燃烧排放的含铬废气、废水、废渣。三价铬对胎儿有致畸作用、六价铬是强致突变物质,有致癌作用,含铬化合物对皮肤和粘膜有局部作用可引起皮炎、鼻中隔穿孔等。
【铁污染】指含铁物质对环境的污染。铁污染物主要有铁硅酸盐、三氧化二铁(Fe2O3)、硫酸铁[Fe2(SO4)3]及二价铁Fe2+等。铁元素是人和生物的必需营养元素,即使摄入过量,毒性也不大,因此铁不是重要的污染物。但水体中的铁化合物较多时会影响水的色、嗅、味等感官性状。在一些工业生产中,如印染、塑料、造纸、纺织、酿造、食品等对铁的含量有很严格的要求。
【砷污染】指砷和含砷化合物对环境的污染。砷的化合物都有毒性,其中三价砷的化合物毒性更强。砷的污染源主要是砷和含砷金属的开采、冶炼、以含砷物质为原料的玻璃、颜料、药物的生产以及煤的燃烧过程产生的三废物质。砷通过呼吸道、消化道和皮肤接触进入人体,砷能在人体中蓄积,引起慢性砷中毒,慢性砷中毒主要有消化系统症状、神经系统症状、皮肤病变等。急性砷中毒一般是由误食砷化物所致。砷还有致癌作用,能引起皮肤癌。对砷中毒者可用二巯基丙磺酸钠或二流基丁二酸钠等解毒药对症治疗。
【锡污染】指含锡化合物对环境的污染。锡和锡的无机化合物毒性较小,锡的有机化合物毒性很大。锡的污染源主要是岩石的风化和锡冶炼加工业。
【镉污染】指含镉物质对环境的污染。镉污染的来源主要是铅锌矿、有色金属冶炼(如炼铝)、和用镉化合物作原料或催化剂的工厂。镉是人体必需的微量元素,含量过多则危害人体健康,镉也会在体内蓄积,镉能引起严重肝肾损伤、肺炎、肺水肿等。镉一旦排入环境,对环境的污染就很难消除,因此预防镉中毒的关键在于控制排放和消除污染源。对慢性性镉中毒患者,可用维生素D和钙剂等进行治疗。
【铅污染】指含铅化合物对环境的污染。铅是大气的重金属污染物中较大的一种。铅污染来自许多方面:金属冶炼,特别是有色金属冶炼的三废排放物;金属制造及使用铅制品的工矿企业的排放物;汽车排出的含铅废气(因汽油中加入了四乙基铅作抗爆剂);燃烧煤,生产蓄电池和硅酸盐水泥的工厂等都是铅污染源。含铅化合物可由消化道、呼吸道进入体内,四乙基铅也可通过皮肤侵入体内,铅主要损害骨髓造血系统和神经系统,对男性生殖腺也有一定的损害。幼儿大脑对铅污染很敏感,大气中的铅对儿童的智力发育和行为会有不良影响,铅还能通过母体进入胎儿体内和脑组织。在城市中防止铅污染最重要的是控制汽车废气的排放,减少汽油中的含铅量。对铅中毒者可使用依地酸二钠钙进行治疗。
【汞污染】指汞和汞的化合物对环境的污染。汞污染的来源主要有以下几方面:煤和石油的燃烧、含汞金属矿物的冶炼和以汞为原料的工业所排放的废气是大气中汞的主要来源;施用含汞农药和含汞污泥肥料,是土壤中汞的主要来源;氯碱工业、塑料工业、电池工业和电子工业等排放的污水是水体中汞的主要来源。通过挥发、溶解、甲基化、沉降、降水等作用,汞在大气、土壤和水之间不断进行着交换和转移。汞不是人体必需的元素,环境被汞污染就会使人受到危害。汞对人体健康的危害与汞的化学形态、环境条件和侵入人体的途径、方式有关。金属汞在脑组织中被氧化成汞离子在脑组织中蓄积,损害脑组织。在其他组织中汞离子能转移到肾中蓄积起来。金属汞慢性中毒主要表现为神经性症状,有头痛:头晕、肢体麻木和疼痛、肌肉震颤、运动失调。大量吸入汞蒸气会出现急性汞中毒,其症候为肝炎、肾炎、蛋白尿、血尿和尿毒症等。汞的化合物中有机汞危害更大,如甲基汞进入人体内首先受到损害的是脑组织,主要部位为大脑皮层和小脑,因此有向心性视野缩小、运动失调、肢端感觉障碍等临床表现。汞离子与酶中的巯基结合,能使酶失去活性,危害人体健康。对慢性无机和有机汞中毒者可用巯基络合剂进行排汞治疗。
【有机污染物】进入环境并且污染环境的有机化合物。有机污染物按来源可分为天然有机污染物和人工合成有机污染物两类。天然有机污染物主要是由生物体的代谢活动及其它生物化学过程产生的,如萜烯类、黄曲霉毒素、氨基甲酸乙酯、麦角、细辛脑、草蒿脑、黄樟素等,有些天然有机污染物可以与其他污染物反应生成二次污染物。人工合成有机污染物是随着现代合成化学工业的兴起产生的。
【多环芳烃污染】指多环芳烃类化合物对环境的污染。多环芳烃的污染源很多,主要有:焦化厂、煤气厂、炼油厂、沥青加工厂等工厂排放的废气和废水;汽车、火车、飞机、轮船等交通工具的排放物;采暖锅炉和家庭炉灶产生的烟气;香烟的烟雾等。多环芳烃的危害性主要是致癌性,其中以苯并(α)芘的致癌性最强。苯并(α)芘的结构式如下:

多环芳烃污染来源广泛,致癌性强,影响面大,许多国家对其在环境中的含量做了严格的规定,在食品、药物、化妆品、农药制造等方面也规定了禁用或严格限制的条例。此外,为了防止多环芳烃的污染还应大量提倡不吸烟,吸烟者应戒烟,并规定在公共场所禁止吸烟。
【多氯联苯污染】指多氯联苯类物质对环境的污染。多氯联苯(PCB)是一类人工合成的有机物,多氯联苯在工业上的广泛使用,已造成全球性环境污染问题。多氯联苯的污染主要来源于大量使用它的工厂,如用PCB做绝缘油的电机工厂,大量使用PCB作热载体和润滑油的工厂,造纸厂特别是再生纸厂,总之使用PCB的工厂排出的废弃物都是PCB的污染源。多氯联苯易溶于脂肪和有机溶剂,PCB污染大气、水、土壤后,通过食物链的传递富集于生物体内。多氯联苯能通过皮肤、呼吸道和消化道进入人体,以消化道吸收率为最高,多氯联苯中毒能使肝脏、皮肤等受到损害,也能引起胃肠道功能紊乱。目前,许多国家除了禁止生产和使用PCB外,正在研究对含有PCB的废弃物的有效处理方法和寻找PCB的无害代用品。
【增塑剂污染】增塑剂是用来提高塑料可塑性的添加剂。目前使用的增塑剂主要是酞酯类化合物,引起环境污染的主要是邻苯二甲酸酯:

喷涂涂料、焚烧塑料垃圾、农用薄膜中增塑剂的挥发、生产塑料的工厂等都是增塑剂污染的来源。酞酸酯易溶于脂肪和有机溶剂,能在生物体内富集,有致畸作用和致突变作用。酞酸酯类对人体可引起中毒性肾炎、多发性神经炎、感觉迟钝、麻木等症状,对中枢神经系统也有抑止和麻醉作用。因此,有毒或难以生物降解的增塑剂品种应停止使用,更不能用作医疗器械;在食品包装容器、自来水管道及化妆品等生产中,也应避免使用酞酸酯。
【洗涤剂污染】指洗涤剂制品进入环境使环境造成的污染。洗涤剂一般含有一种或几种表面活性剂、若干增净剂及一些辅助成分。洗涤剂的污染来源主要有:洗涤剂生产废水、工业用洗涤剂清洗水、洗衣店(场)废水和生活用水。洗涤剂中的表面活性剂,如烷基苯磺酸钠和直链烷基苯磺酸钠,因含有苯环不能完全分解,增净剂主要是磷酸盐,磷酸盐排入水体是造成富营养化的一个重要原因。此外洗涤剂能使进入水体的石油产品、多氯联苯等疏水有机污染物乳化而分散,给废水处理带来困难。洗涤剂对人体粘膜和皮肤有刺激作用,可引起接触性皮炎;对水生生物有轻微毒性,能造成鱼类畸形。从废水中除去表面活性剂的方法很多,但由于含洗涤剂废水量大,浓度低、因而处理费用较高。
【氰化物污染】指含氰(-CN)化合物对环境的污染。氰化物分两类:一类是无机氰化物,如氰氢酸及其盐类;一类是有机氰化物,如丙烯腈、乙腈等。氰化物有剧毒,并在工业上有广泛的应用,因此污染问题引起人们的重视。氰化物污染来源主要是电镀、炼焦、贵金属精炼、染料:药品、合成纤维等工业生产的三废排放物。也有少量氰化物存在于天然物质中,如苦杏仁、枇杷仁、桃仁、木薯和白果内。氰化物污染多见于水体污染,也可形成氢氰酸挥发进入大气。简单的氰化物经口、呼吸道或皮肤进入人体,极易被人体吸收。急性氰化物中毒主要症状是呼吸衰竭而致死。慢性氰化物中毒会出现头痛、头晕、心悸、甲状腺肿等症状。为防止氰化物污染,含氰量高的废水必须回收,含氰量低的废水应净化处理后排放。对急性中毒者应尽快就地抢救,方法是注射硫代硫酸钠使氰基转化为低毒的硫氰酸盐。
【化肥污染】指农田施用大量化学肥料而引起的水体、土壤和大气的污染。化肥污染引起的主要问题有:
①河川、湖泊、内海的富营养化。
②土壤受到污染、土壤物理性质恶化。
③食品、饲料和饮水中有毒成分增加。
④大气中氦的氧化物含量增加。
为了防止化肥污染、应对施用化学肥料进行控制和管理。
【农药污染】农药是一种化学性环境污染物,它的使用对大气、土壤和水体造成的污染。主要有:
①对大气的污染,主要来自农药的喷撒。
②对水体的污染,主要来自向水体直接施用农药,含农药的雨水落入水体,植物或土壤粘附的农药,经水冲刷或溶解进入水体,生产农药的工业废水污染水体等。
③对土壤的污染,主要来自农药的喷撒。
④对农作物的污染,农药被农作物吸收,进入植物体内。
⑤生物富集作用,农药通过食物链可在生物体内富集。
【石棉污染】石棉属硅酸盐类矿物纤维。环境中石棉纤维的数量(浓度)和存留时间达到危害人体健康的程度,这种现象称为石棉污染。石棉污染主要来自土壤和岩石的侵蚀风化和火山爆发等自然过程,以及石棉矿的开采、加工、运输和石棉制品的生产、使用等人为过程。细小的石棉纤维会污染大气、水或食物。通过呼吸道和消化道侵入人体的石棉纤维有致癌作用,以肺癌、胸膜和腹膜间的皮瘤最为常见。对石棉致癌,早期预防极为重要。在城市中应禁止兴建石棉及石棉加工厂、禁止喷涂含有石棉纤维的耐火材料、严禁将石棉垃圾倾入江河湖海等水域。
【放射性污染】指人类活动排放出的放射性物质对环境造成的污染。带有放射性核素的物质排入环境后,可造成对大气、水体和土壤的污染。放射性核素可被生物富集。放射性污染的来源主要有:核工业的废气、废水、废渣的排放;核电站的排放物;核燃料后处理厂的排放物以及核试验等。放射性污染对人体健康的危害主要有:放射性损伤、皮炎、皮癌、白血病、再生障碍性贫血、遗传障碍,其它肿瘤等。
【石油污染】在石油的开采、炼制、贮运、使用的过程中,原油和各种石油制品进入环境而造成的污染。石油污染可带来严重的后果。这不仅是因为石油的各种成分都有一定的毒性,还因为它具有破坏生物的正常生活环境,造成生物机能障碍的作用。当前主要是石油对海洋的污染,这已成为世界性的严重问题。石油污染威胁着海洋中的一切生物、破坏生态平衡,石油污染还会破坏海滨风景区和海滨浴场。海洋如果受到石油严重污染,要经过五至七年,海区生物才能重新繁殖起来。
【固体废物污染】被丢弃的固体和泥状物质,包括从废水、废气中分离出来的固体颗粒,简称固体废物。固体废物主要来源于人类的生产和消费活动,固体废物通常按来源分为矿业固体废物、工业固体废物、城市垃圾、农业废弃物和放射性固体废物五类。固体废物对环境的污染是多方面的,对水、大气、土壤都会造成污染。本世纪70年代以来,一些国家开始把固体废物作为资源和能源加以回收和利用,已取得了一定的成效。
【氮氧化物污染】氮氧化物通常用NOx表示,主要是一氧化氮NO和二氧化氮NO2,它们在大气中的含量达到对人、动物、植物以及其它物质产生有害影响的程度,就形成污染。大气中还有其它形态的氮氧化物,如氧化亚氮N2O、三氧化二氮N2O3等。氮氧化物的来源主要有:土壤中微生物分解含氮化合物产生NO2;大气中的氮气在高温、闪电条件下生成NO,再转化为NO2;火山爆发、森林火灾都会产生氮的氧化物;各种燃料在高温下燃烧及硝酸、氮肥、炸药、染料等含氮物质在生产过程中产生的废气也是氮氧化物的污染来源,其中以燃料燃烧产生废气造成的污染最为严重。一氧化氮、二氧化氮等氮的氧化物是常见的大气污染物,能刺激呼吸器官,影响和危害人体健康。在一般情况下、污染物以二氧化氮为主时,对肺的损害比较明显;污染物以一氧化氮为主时,高铁血红蛋白症和对中枢神经损害比较明显。
【碳氧化物污染】指包括一氧化碳(CO)和二氧化碳(CO2)对大气的污染。一氧化碳的污染来源主要有:矿物燃料燃烧、石油炼制、钢铁冶炼、固体废物焚烧以及森林火灾、海洋和陆地生物腐烂过程等产生。一氧化碳能与血红蛋白结合,降低后者的输氧能力,严重时可使人窒息死亡,CO还可参与光化学烟雾的形成而造成危害。二氧化碳是无毒气体,对人体无害,但大气中二氧化碳的浓度的上升,可能引起地球气候的变化,这是正在研究的课题。
【N-亚硝基化合物与癌】N-亚硝基化合物能诱发肿瘤。N-亚硝基化合物种类很多,可分为N-亚硝胺、N-亚硝酰胺和N-亚硝胍等三类。N-亚硝基化合物在自然界中的本底浓度很小,但其前身(如亚硝酸盐、硝酸盐、仲胺等)普遍存在于土壤、水及鱼类、谷类、绿色疏菜等食物中,食物霉变后仲胺可增高数十到数百倍。防止食品在加工和贮存过程中的亚硝基化是降低人体对N-亚硝基化合物摄入量的重要措施。
【亚硝酸盐中毒】亚硝酸盐的生物毒性比硝酸盐大得多,人体摄入的硝酸盐在肠道可被还原为亚硝酸盐。误食亚硝酸盐或食入变质、腌渍不好的青菜等可引起急性中毒,其原因主要是:亚硝酸盐将低铁(Fe2+)血红蛋白氧化成高轶(Fe3+)血红蛋白而失去输氧能力引起组织缺氧,严重者会危及生命。亚硝酸盐的慢性毒性主要表现为能转化成强致癌物质N-亚硝基化合物(污染食物的霉菌可使亚硝酸盐转化为亚硝胺类物质;亚硝酸盐和胺类结合也能形成亚硝胺类物质)。
【光化学烟雾】汽车、工厂等污染源排入大气的碳氢化合物和氮氧化物等一次污染物在阳光(紫外光)作用下会发生光化学反应生成二次污染物。参与光化学反应过程的一次污染物和二次污染物的混和物(其中有气体污染物,也有气溶胶)所形成的烟雾污染现象,称为光化学烟雾。光化学烟雾成分复杂,对动物、植物和材料有害的主要是O3、PAN(过氧乙酰硝酸酯),丙烯醛和甲醛等二次污染物。控制光化学烟雾首先要控制污染源,主要有减少汽车排放的碳氢化合物、氮氧化物及一氧化碳等;此外,炼油工业、加油站、焚烧炉等也是重要的排放源,应该加以控制。
【富营养化】在人类活动的影响下,生物所需的氮、磷等营养物质大量进入湖泊、河口、海湾等缓流水体,引起藻类及其它浮游生物迅速繁殖,水体溶解氧量下降,水质恶化,鱼类及其它生物大量死亡的现象。在自然条件下,富营养化的过程非常缓慢。人为排放含营养物质的工业废水和生活污水所引起的水体富营养化现象,可在短期内出现。富营养化造成水的透明度降低,影响水中植物的光合作用和氧气的释放,而表层水面植物的光合作用,能造成溶解氧的过饱和状态。溶解氧过饱和及溶解氧少,都对水生动物(主要是鱼类)有害。富营养化水体中底层堆积的有机物质在厌氧条件下分解产生的有害气体,以及一些浮游生物产生的生物毒素也会伤害鱼类。富营养化水中含有亚硝酸盐和硝酸盐,人畜长期饮用这些物质含量超过一定标准的水,会中毒致病。防止富营养化的首要措施是控制营养物质进入水体。
【酸雨】pH值小于5.6的雨雪或其他形式的大气降水,是大气受污染的一种表现。最早引起注意的是酸性的降雨,因此习惯上统称酸雨。酸雨的形成是一种复杂的大气化学和大气物理现象。酸雨中含有多种无机酸和有机酸,绝大部分是硫酸和硝酸,多数情况下以硫酸为主。硫酸和硝酸是由人为排放的二氧化硫和氮氧化物转化而成的。硫和氮是营养元素。弱酸性降水可溶解地壳中的矿物质,供动、植物吸收。如果酸度过高,如pH值降到5以下,就可能使生态系统受害。控制酸雨的根本措施是减少二氧化硫和氮氧化物的排放。
【地下水污染】主要指人类活动引起地下水化学成分、物理性质和生物学特性发生改变而使质量下降的现象。地下水污染具有过程缓慢、不易发现和难以治理的特点。地下水污染方式可分为直接污染和间接污染两种。直接污染是污染物直接进入含水层,在污染过程中,污染物的性质不变,这是地下水污染的主要方式。间接污染的特点是:地下水污染并非由污染物直接进入含水层引起,而是由于污染物作用于其它物质,使这些物质中的某些成分进入地下水造成的。防止地下水污染应以预防为主,尽量减少污染物进入地下含水层的机会。
【食品污染】指对人体健康有害的化学物质或病原体附着或混入食品的现象。食品污染主要来自两个方面:一是作为食品的动物、植物在生长过程中,由于呼吸或摄食、饮水而使环境污染物进入人体并积累起来。二是食品在加工、包装、贮运、销售和烹调过程中,受到污染物或其它有害物(病原体、食品添加剂)的污染。食品污染按性质不同可分为三大类:生物性污染、化学性污染和放射性污染。
【环境监测】指间断或连续地测定环境中污染物的浓度,观察、分析其变化和对环境影响的过程。环境监测一般采用人工或半自动采样,用实验室物理、化学分析的方法进行定期、定点测定。环境监测按监测目的可分为三种:研究性监测、监视性监测和事故性监测。
【致癌物】能在人类或哺乳动物的机体诱发癌症的物质。确定一种物质是否具有致癌作用,主要通过动物实验和人群流行病学调查。致癌物根据性质可分为化学性致癌物,如苯并(α)茈、2-萘胺等;物理性致癌物,如X射线、放射性核素氡等;生物性致癌物,如某些致癌病毒。据估计,人类的肿瘤80~85%与化学致癌物有关。致癌物按照对人类和哺乳动物的致癌作用的不同,可分为确证致癌物、怀疑致癌物和潜在致癌物。
【无污染能源】主要有太阳幅射能、风力、水力、地热、氢燃料、生物能以及海洋波浪、海流、海水温差、潮汐等能源。
【无污染燃料】燃烧时能产生高热值而不污染环境的燃料,又称清洁燃料。天然燃料中只有少数地区的天然气属于这种燃料。获得大量无污染燃料的方法是对天然燃料进行无害化处理,或研制新型的无污染燃料。对天然燃料的处理方法有,以煤为原料制成脱硫煤、水煤气、半水煤气等;以石油为原料制成脱硫重油、液化石油气等;以杂草、桔杆堆肥制造沼气等。研究中的无污染燃料有氢、甲醇、乙醇等。