2.等差数列与等差(算术)级数

a1, a1+d, a1+2d, a1+3d, L (d为常数)

称为公差为d的等差数列.与等差数列相应的级数称为等差级数,又称算术级数.

通项公式     

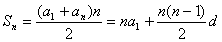
n项和     

等差中项