2. 排列

[选排列] n个不同的元素中,每次取出k(kn)不同的元素,按一定的顺序排成一列,称为选排列.其排列种数为

[全排列] n个不同的元素中,每次取出n个不同的元素,按一定的顺序排成一列,称为全排列.其排列种数为

[有重复的排列] n个不同的元素中,每次取出k个元素(kn)允许重复,这种排列称为有重复的排列.其排列种数为

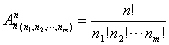
[不尽相异元素的全排列] 如果在n个元素中,有n1个元素彼此相同,又有n2个元素彼此相同L 又有nm个元素彼此相同(n1+n2+L +nm=n)那末这n个元素的全排列称为不尽相异元素的全排列.其排列种数为

[环状排列] n个不同元素中,每次取出k个元素,仅按元素之间的相对位置而不分首尾地围成一圈,这种排列法称为环状排列.其排列种数为