九、下降法
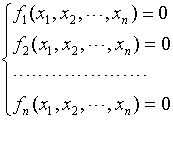
对任意实系数超越方程组
(1)
定义目标函数
F(x1,x2,L ,xn)=![]()
如果F(x1,x2,L,xn)<e (e为在一定精确度下给定的适当小的正数),则认为x1,x2,L ,xn为方程组(1)的解.
具体计算步骤如下:
(1)任取一组初始值x1(0),x2(0),L,xn(0)(全不为零),设已按照下述过程计算到第m步得到一组值:x1(m),x2(m),L ,xn(m)
(2)计算
Fm=F(x1(m),x2(m),L ,xn(m))
(3)若Fm<e ,则x1(m),x2(m),L ,xn(m)是所求的解,否则计算n个偏导数:
[F(x1(m),x2(m),L,xi(m)+Hi,L,xn(m))-F(x1(m),x2(m),L ,xn(m))]
Hi=wxi(m) i=1,2,L ,n
(4)计算
xi(m+1)= xi(m)
, i=1,2,L,n
式中

得到一组{xi(m+1)},再重复(2),(3),(4)的计算.