3.函数级数的运算及其条件

运 算

表 达 式

条 件

级数和的连续性

[a,b]上连续

(i)[a,b]上连续,

(ii)[a,b]上一致收敛

逐项相加减

=

(axb)

[a,b]上都收敛

相乘

=

其中

(axb)

,[a,b]上都收敛,并且至少有一个绝对收敛

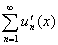
逐项取极限

=

(ab)

(i)(n=1,)

为有限值,

(ii) [a,b]上一致收敛

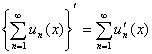
逐项微分

(axb)

(i)定义在[a,b]上,

而且有连续的导数

(ii) [a,b]上收敛,

(iii)[a,b]上一致收敛

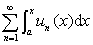
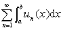
逐项积分

=

=

对于[a,b]上的一切点x一致成立

(i) [a,b]上连续(或可积)

(ii) [a,b]上一致收敛