§ 5 二次曲线

一、圆

[圆的方程、圆心与半径]

x2 + y2 = R2

(参数方程,t为动径OMx轴正方向的夹角)

 

圆心      G(0,0)

半径   r = R

 

(x - a)2+(y - b)2 = R2        

(参数方程,t为动径OMx轴正方向的夹角)

 

圆心   G(a, b)  

半径   r = R

 

x2 +y2 +2mx + 2ny + q = 0             

m2 + n2 > q

r2+2r(mcost + nsint) + q = 0    (极坐标方程)

圆心      G(-m,- n)

半径  

 

 

 

 

r2-2rr0cos(j- j0)+r02 = R2           (极坐标方程)

 

圆心   G(r0,j0)

半径   r = R

 

 

x2 + y2 = 2Rx

r = 2Rcosj

(极坐标方程)

 

圆心   G(R, 0)

半径   r = R

x2 + y2 = 2Ry

r = 2Rsinj

(极坐标方程)

圆心     G(0,R)

半径     r = R

[圆的切线]

     x2 + y2 = R2 上一点M(x0, y0)的切线方程为

              x0x + y0y = R2

          x2 + y2 + 2mx + 2ny + q = 0            上一点M(x0, y0)的切线方程为

x0x + y0y + m(x + x0) + n(y + y0) + q = 0

[两个圆的交角、圆束与根轴]

两个圆的交角

C1          x2 +y2 +2m1x +2n1y +q1 = 0

C2          x2 +y2 +2m2x +2n2y +q2 = 0

       两个圆的交角是指它们在交点的两条切线的夹角

 

 

      

式中q 表示两个圆C1C2的交角,因为公式中不包含交点的坐标,所以在两交点的两交角必相等.

       两个圆C1C2正交条件为

              2m1m2 + 2n1n2 - q1 - q2 = 0

圆束× 两个圆的根轴

C1 + l C2 = 0       (l 为参数)

(l+1)(x2+y2) +2(m1+l m2)x

+(n1+ln2)y + (q1 +lq2) = 0

根轴方程为 2(m1 - m2)x + 2(n1 - n2)y + (q1 - q2) = 0

       l (l ¹ -1)的一个确定值,表示一个圆.l 取一切值(l ¹ -1)时,所表示的圆的全体,称为圆束.l = -1时,为一直线,称为两个圆C1C2的根轴.根轴与C1C2的连心线垂直,束中任一圆的圆心在C1C2的连心线上,且分连心线的比等于l .

(a)如果C1C2 相交于两点M1M2,则束中一切圆都通过两交点M1M2,它们的根轴就是它们的公共弦.这时圆束称为共轴圆系((a)).

(b)如果C1C2切于一点M,则束中一切圆都在一点M相切,根轴就是在点M的公切线((b)).

(c)如果C1C2不相交,则束中一切圆都不相交,根轴也与圆束中一切圆都不相交((c)).

从点P作两个圆C1C2的切线,具有相等切线长的点P的轨迹就是根轴.两个同心圆的根轴是从公共圆心到无穷远处的直线.三个圆中每对圆的根轴(共三个)交于一点,它称为根心.若三个圆心共线,则其根心在无穷远处.

 

[反演] C为一定圆,O为圆心,r为半径(7.1),对平面上任一点M,有一点M¢ 与它对应.使得满足下列两个条件:

iO, M, M¢ 共线,

       iiOM× OM¢ = r2

这种点M¢ 称为点M关于定圆C的反演点,C称为反演圆,O称为反演中心,r称为反演半径.

由于MM¢ 的关系是对称的,所以M也是M¢ 的反演点.r2 > 0,所以MM¢ 都在O的同侧.MM¢ 之间的对应称为关于定圆C的反演.

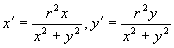
O为原点,则一切反演点M(x, y)M¢ (x¢ ,y¢ )的对应方程为

反演具有性质:

 

 

 

 

 

1°     不通过反演中心的一条直线变为通过反演中心的一个圆.

2°     通过反演中心的圆变为不通过反演中心的直线.

3°     通过反演中心的一条直线变为它自己.

4°     不通过反演中心的圆变为不通过反演中心的圆.

5°     反演圆变为它自己.

6°     与反演圆正交的圆变为它自己,其逆也真.

7°     如果两条曲线C1C2交于一点M,则经过反演后的曲线C1¢ , C2¢ 必交于M的反演点M¢ .

8°     如果两条曲线C1, C2在一点M相切,则经过反演后的曲线C1¢ , C2¢ 必在M的反演点M¢ 相切.

9°     两条曲线的交角在反演下是不变的.由此可见,反演是一个保角变换.