1° 椭圆是到两定点(即焦点)的距离之和为常数(即长轴)的动点M的轨迹 (r1 + r2 = 2a).
2° 椭圆也是到一定点(即焦点之一)的距离与到一定直线(即一准线L)的距离之比为小于1的常数(即离心率)的动点M的轨迹(MF1/ME1 = MF2/ME2 = e).
3° 椭圆是将半径为a的圆沿y轴方向按比
(即压缩系数)压缩而得到.
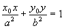
4° 椭圆上一点M(x0, y0)的切线(MT)方程为
![]()
切线把点M的两焦点半径间的外角(即∠F1MH)平分(即a
=b ,
),M点的法线MN把内角(即∠F1MF2)平分(图7.3)
如果椭圆的切线(MT)的斜率为k,则其方程为
![]()
式中正负号表示直径两端点的两切线.

5° 椭圆的任一直径把平行于其共轭直径的弦平分(图7.4)
如果两共轭直径的长分别为2a1和2b1, 两直径与长轴的夹角(锐角)分别为a 和b ,则a1b1sin(a + b )= ab
a12 + b12 = a2 + b2
6° 椭圆上任一点M的焦点半径之积等于它的对应半共轭直径的平方.
7° 设MM¢ , NN¢ 为椭圆的两共轭直径, 通过M, M¢ 分别作直线平行于NN¢ ; 又通过N, N¢ 分别作直线平行于MM¢ , 则这四条直线构成的平行四边形的面积为一常数4ab(图7.5).
(图7.5)